Evaluation of Moisture Damage Potential in Hot Mix Asphalt Using Polymeric Aggregate Treatment
Abstract
:1. Introduction
2. Methodology
2.1. Materials
2.2. Testing Procedures
3. Results and Discussion
3.1. Indirect Tensile Strength
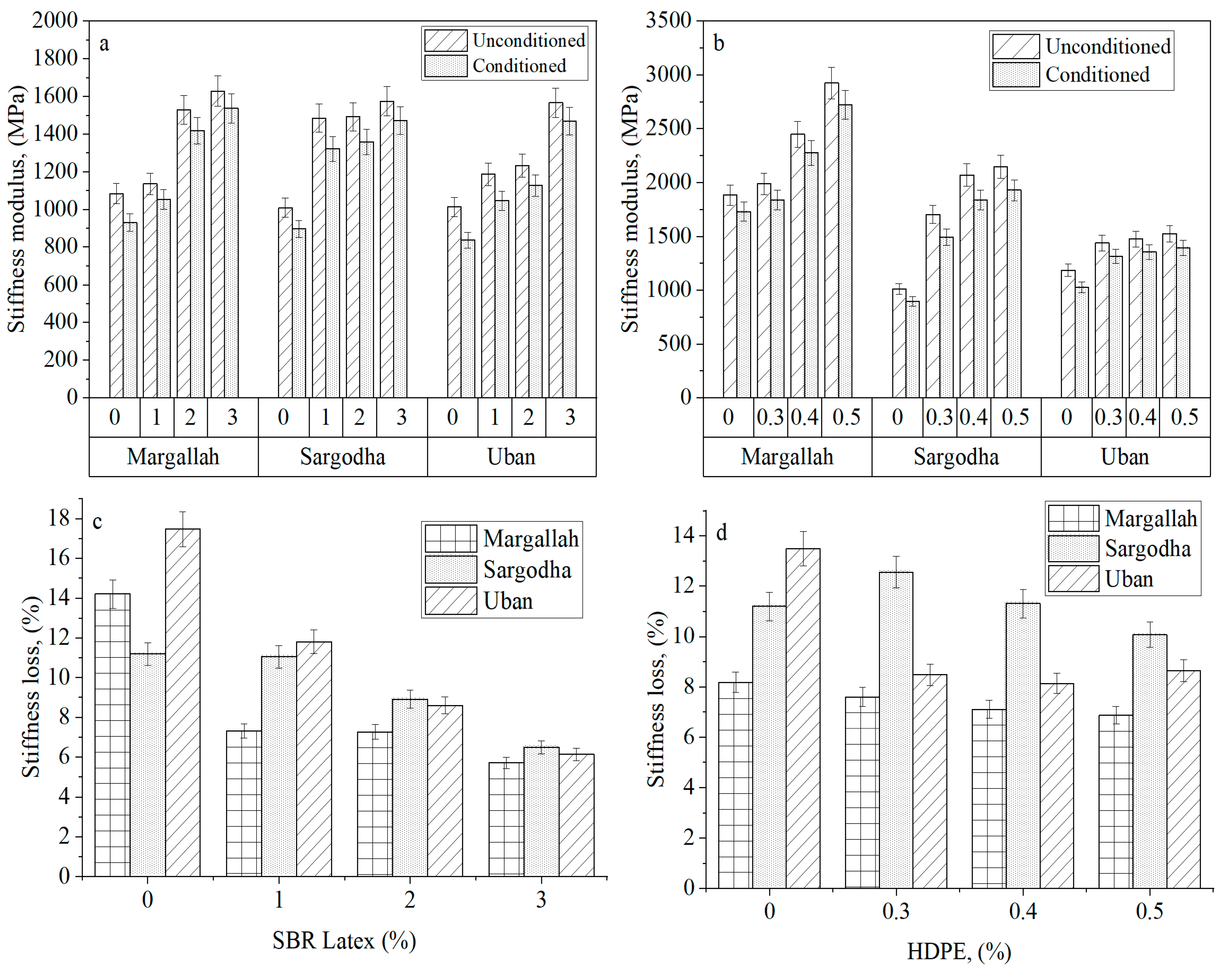
3.2. Indirect Tensile Modulus Test
3.3. Correlation between ITS and ITMT
4. Conclusions
- All conditioned samples have lower tensile strength values as compared to unconditioned samples. An increase in the percentage of HDPE and SBR latex also increased the strength of treated aggregate samples compared to their control-mix samples. Increasing the percentage of both additives caused the TSR values to improve significantly for all three aggregate sources, especially in the case of AU, showing improved moisture sensitivity.
- Moisture conditioning of samples reduced their stiffness value considerably compared to their respective unconditioned samples. Stiffness moduli increased for all three aggregate sources after aggregate coating. An increase in stiffness indicated that additives changed aggregate behavior from hydrophilic to hydrophobic.
- The comparison revealed a strong correlation (R2 = 0.7219) between TSR and strength loss and a weak correlation between ITS and stiffness loss (R2 = 0.2957). However, a logical trend was observed, indicating increased strength and stiffness loss as the TSR decreased.
Author Contributions
Funding
Data Availability Statement
Conflicts of Interest
References
- Jameel, M.S.; Abubakar, H.M.; Raza, A.; Iqbal, S.; Khalid, R.A. Effect of Aging on Adhesion and Moisture Damage of Asphalt: A Perspective of Rolling Bottle and Bitumen Bond Strength Test. Int. J. Pavement Res. Technol. 2021, 15, 233–242. [Google Scholar] [CrossRef]
- Omar, H.A.; Yusoff, N.I.M.; Mubaraki, M.; Ceylan, H. Effects of Moisture Damage on Asphalt Mixtures. J. Traffic Transp. Eng. (Engl. Ed.) 2020, 7, 600–628. [Google Scholar] [CrossRef]
- Li, R.; Leng, Z.; Yang, J.; Lu, G.; Huang, M.; Lan, J.; Zhang, H.; Bai, Y.; Dong, Z.; Yusoff, N.I.M.; et al. Innovative Application of Waste Polyethylene Terephthalate (PET) Derived Additive as an Antistripping Agent for Asphalt Mixture: Experimental Investigation and Molecular Dynamics Simulation. Fuel 2021, 300, 121015. [Google Scholar] [CrossRef]
- Liu, S.; Zhou, S.; Peng, A. Analysis of Moisture Susceptibility of Foamed Warm Mix Asphalt Based on Cohesion, Adhesion, Bond Strength, and Morphology. J. Clean. Prod. 2020, 277, 123334. [Google Scholar] [CrossRef]
- Zhu, J.; Zhang, K.; Liu, K.; Shi, X. Adhesion Characteristics of Graphene Oxide Modified Asphalt Unveiled by Surface Free Energy and AFM-Scanned Micro-Morphology. Constr. Build. Mater. 2020, 244, 118404. [Google Scholar] [CrossRef]
- Liu, X.; Sha, A.; Li, C.; Zhang, Z.; Li, H. Influence of Water on Warm-Modified Asphalt: Views from Adhesion, Morphology and Chemical Characteristics. Constr. Build. Mater. 2020, 264, 120159. [Google Scholar] [CrossRef]
- Notani, M.A.; Hajikarimi, P.; Moghadas Nejad, F.; Khodaii, A. Performance Evaluation of Using Waste Toner in Bituminous Material by Focusing on Aging and Moisture Susceptibility. J. Mater. Civ. Eng. 2021, 33, 4020405. [Google Scholar] [CrossRef]
- Zhou, L.; Huang, W.; Zhang, Y.; Lv, Q.; Yan, C.; Jiao, Y. Evaluation of the Adhesion and Healing Properties of Modified Asphalt Binders. Constr. Build. Mater. 2020, 251, 119026. [Google Scholar] [CrossRef]
- Ingrassia, L.P.; Cardone, F.; Canestrari, F.; Lu, X. Experimental Investigation on the Bond Strength between Sustainable Road Bio-Binders and Aggregate Substrates. Mater. Struct. 2019, 52, 80. [Google Scholar] [CrossRef]
- Shah, B.D. Evaluation of Moisture Damage within Asphalt Concrete Mixes. Doctoral Dissertation, Texas A&M University, College Station, TX, USA, 2003. [Google Scholar]
- Singh, T.; Swami, B.L.; Kalla, P.; Chouhan, H.S.; Gautam, P.K. Effect of Nano Particle Based Anti-Stripping Agent on Moisture-Induced Damage for Bituminous Concrete Mixes. In IOP Conference Series: Earth and Environmental Science; IOP Publishing: Jaipur, India, 2021; Volume 795, p. 12037. [Google Scholar]
- Kandhal, P.S. Moisture Susceptibility of HMA Mixes: Identification of Problem and Recommended Solutions; National Asphalt Pavement Association: Washington, DC, USA, 1992. [Google Scholar]
- Rafiq, W.; Bin Napiah, M.; Hartadi Sutanto, M.; Salah Alaloul, W.; Nadia Binti Zabri, Z.; Imran Khan, M.; Ali Musarat, M. Investigation on Hamburg Wheel-Tracking Device Stripping Performance Properties of Recycled Hot-Mix Asphalt Mixtures. Materials 2020, 13, 4704. [Google Scholar] [CrossRef]
- Haghshenas, H.F.; Rea, R.; Reinke, G.; Yousefi, A.; Haghshenas, D.F.; Ayar, P. Effect of Recycling Agents on the Resistance of Asphalt Binders to Cracking and Moisture Damage. J. Mater. Civ. Eng. 2021, 33, 4021292. [Google Scholar] [CrossRef]
- Canestrari, F.; Cardone, F.; Graziani, A.; Santagata, F.A.; Bahia, H.U. Adhesive and Cohesive Properties of Asphalt-Aggregate Systems Subjected to Moisture Damage. Road Mater. Pavement Des. 2010, 11, 11–32. [Google Scholar] [CrossRef]
- Bhargava, N.; Undela, N.R.; Nanda, H.; Siddagangaiah, A.K.; Ryntathiang, T.L. Utilizing Photodetection Technique to Assess Moisture Damage of Asphalt Mixtures. J. Mater. Civ. Eng. 2021, 33, 4021311. [Google Scholar] [CrossRef]
- Lucas Junior, J.L.O.; Bahia, H.U.; Soares, J.B.; Souza, L.T. Evaluating the Effect of Amine-Based Anti-Stripping Agent on the Fatigue Life of Asphalt Pavements. Int. J. Pavement Eng. 2021, 23, 1–11. [Google Scholar] [CrossRef]
- Ma, Y.; Elseifi, M.A.; Dhakal, N.; Bashar, M.Z.; Zhang, Z. Non-Destructive Detection of Asphalt Concrete Stripping Damage Using Ground Penetrating Radar. Transp. Res. Rec. 2021, 2675, 938–947. [Google Scholar] [CrossRef]
- Yusoff, N.I.M.; Muhammad, Y.; Liu, Y.; Han, M.; Yin, Y.; Hou, D.; Li, J. Measurement of Water Resistance of Asphalt Based on Surface Free Energy Analysis Using Stripping Work between Asphalt-Aggregate System. Constr. Build. Mater. 2018, 176, 422–431. [Google Scholar]
- Peng, C.; Huang, S.; You, Z.; Xu, F.; You, L.; Ouyang, H.; Li, T.; Guo, C.; Ma, H.; Chen, P. Effect of a Lignin-Based Polyurethane on Adhesion Properties of Asphalt Binder during UV Aging Process. Constr. Build. Mater. 2020, 247, 118547. [Google Scholar] [CrossRef]
- Yang, S.-H.; Rachman, F.; Susanto, H.A. Effect of Moisture in Aggregate on Adhesive Properties of Warm-Mix Asphalt. Constr. Build. Mater. 2018, 190, 1295–1307. [Google Scholar] [CrossRef]
- Najafi Moghaddam Gilani, V.; Hamedi, G.H.; Esmaeeli, M.R.; Habibzadeh, M.; Hosseinpour Eshkiknezhad, M. Presentation of Thermodynamic and Dynamic Modules Methods to Investigate the Effect of Nano Hydrated Lime on Moisture Damage of Stone Matrix Asphalt. Aust. J. Civ. Eng. 2022, 1–10. [Google Scholar] [CrossRef]
- Son, S.; Said, I.M.; Al-Qadi, I.L. Fracture Degradation of Asphalt Concrete under Repeated Loading. J. Transp. Eng. Part B Pavements 2021, 147, 4021032. [Google Scholar] [CrossRef]
- Wang, F.; Li, Y.; Yu, L.; Pang, W. Study on Influencing Factors of Asphalt-Aggregate Stripping Mechanism. Adv. Mater. Sci. Eng. 2021, 2021, 6619118. [Google Scholar] [CrossRef]
- Arabani, M.; Ranjbar Pirbasti, Z.; Hamedi, G.H. Evaluation of the Effect of Dust and Soot on Runoff Acidity and Moisture Sensitivity of Asphalt Mixtures Using Thermodynamic and Mechanical Methods. J. Mater. Civ. Eng. 2020, 32, 4020313. [Google Scholar] [CrossRef]
- Esmaeili, N.; Hamedi, G.H.; Khodadadi, M. Determination of the Stripping Process of Asphalt Mixtures and the Effective Mix Design and SFE Parameters on Its Different Phases. Constr. Build. Mater. 2019, 213, 167–181. [Google Scholar] [CrossRef]
- Khurshid, M.B.; Ahmed, S.; Irfan, M.; Mehmood, S. Comparative Analysis of Conventional and Waste Polyethylene Modified Bituminous Mixes. In Proceedings of the International Conference on Remote Sensing, Environment and Transportation en (RSETE-2013), Nanjing, China, 26–28 July 2013; pp. 346–349. [Google Scholar]
- Zhang, Y.; Song, Q.; Lv, Q.; Wang, H. Influence of Different Polyethylene Wax Additives on the Performance of Modified Asphalt Binders and Mixtures. Constr. Build. Mater. 2021, 302, 124115. [Google Scholar] [CrossRef]
- Gibreil, H.A.A.; Feng, C.P. Effects of High-Density Polyethylene and Crumb Rubber Powder as Modifiers on Properties of Hot Mix Asphalt. Constr. Build. Mater. 2017, 142, 101–108. [Google Scholar] [CrossRef]
- Al-Hadidy, A.I.; Yi-qiu, T. Effect of Polyethylene on Life of Flexible Pavements. Constr. Build. Mater. 2009, 23, 1456–1464. [Google Scholar] [CrossRef]
- Mishra, V.; Singh, D. Evaluating Factors Affecting Aggregate-Bitumen Interfacial Strength Using Binder Bond-Strength Test. J. Mater. Civ. Eng. 2021, 33, 4021089. [Google Scholar] [CrossRef]
- Wasiuddin, N.M.; Yusoff, N.I.M.; O’Rear, E.A. Polymeric Aggregate Treatment Using Styrene-Butadiene Rubber (SBR) for Moisture-Induced Damage Potential. Int. J. Pavement Res. Technol. 2010, 3, 1–9. [Google Scholar]
- Kim, Y.-R.; Lutif, J.S.; Bhasin, A.; Little, D.N. Evaluation of Moisture Damage Mechanisms and Effects of Hydrated Lime in Asphalt Mixtures through Measurements of Mixture Component Properties and Performance Testing. J. Mater. Civ. Eng. 2008, 20, 659–667. [Google Scholar] [CrossRef]
- Xiao, R.; Ding, Y.; Polaczyk, P.; Ma, Y.; Jiang, X.; Huang, B. Moisture Damage Mechanism and Material Selection of HMA with Amine Antistripping Agent. Mater. Des. 2022, 220, 110797. [Google Scholar] [CrossRef]
- Nejad, F.M.; Bahia, H.U.; Hamedi, G.H.; Azarhoosh, A.R.; Hamedi, G.H.; Azarhoosh, M.J. Influence of Using Nonmaterial to Reduce the Moisture Susceptibility of Hot Mix Asphalt. Constr. Build. Mater. 2012, 31, 384–388. [Google Scholar] [CrossRef]
- Moghadas Nejad, F.; Hamedi, G.H.; Bahia, H.U.; Azarhoosh, A.R. Use of Surface Free Energy Method to Evaluate Effect of Hydrate Lime on Moisture Damage in Hot-Mix Asphalt. J. Mater. Civ. Eng. 2013, 25, 1119–1126. [Google Scholar] [CrossRef]
- Kanitpong, K.; Bahia, H.U. Role of Adhesion and Thin Film Tackiness of Asphalt Binders in Moisture Damage of HMA (with Discussion). J. Assoc. Asph. Paving Technol. 2003, 72, 502–528. [Google Scholar]
- Chen, X.; Huang, B. Evaluation of Moisture Damage in Hot Mix Asphalt Using Simple Performance and Superpave Indirect Tensile Tests. Constr. Build. Mater. 2008, 22, 1950–1962. [Google Scholar] [CrossRef]
- Albayati, A.H.; Mohammed, H.K. Influence of Styrene Butadiene Rubber on the Mechanical Properties of Asphalt Concrete Mixtures. Al-Qadisiyah J. Eng. Sci. 2011, 4, 258–274. [Google Scholar]
- AASHTO-T283; Resistance of Compacted Asphalt Mixtures to Moisture-Induced Damage. American Association of State Highway and Transportation Officials (AASHTO): Washington, DC, USA, 2003.
- Cheng, Y.; Li, H.; Wang, W.; Li, L.; Wang, H. Laboratory Evaluation on the Performance Degradation of Styrene-Butadiene-Styrene-Modified Asphalt Mixture Reinforced with Basalt Fiber under Freeze-Thaw Cycles. Polymers 2020, 12, 1092. [Google Scholar] [CrossRef]
- Cheng, Y.; Wang, W.; Gong, Y.; Wang, S.; Yang, S.; Sun, X. Comparative Study on the Damage Characteristics of Asphalt Mixtures Reinforced with an Eco-Friendly Basalt Fiber under Freeze-Thaw Cycles. Materials 2018, 11, 2488. [Google Scholar] [CrossRef] [Green Version]
- Wang, X.; Zhou, H.; Hu, X.; Shen, S.; Dong, B. Investigation of the Performance of Ceramic Fiber Modified Asphalt Mixture. Adv. Civ. Eng. 2021, 2021, 8833468. [Google Scholar] [CrossRef]
- Yalghouzaghaj, M.N.; Sarkar, A.; Hamedi, G.H.; Hayati, P. Application of the Surface Free Energy Method on the Mechanism of Low-Temperature Cracking of Asphalt Mixtures. Constr. Build. Mater. 2021, 268, 121194. [Google Scholar] [CrossRef]
- Hamedi, G.H.; Esmaeeli, M.R.; Najafi Moghaddam Gilani, V.; Hosseinian, S.M. The Effect of Aggregate-Forming Minerals on Thermodynamic Parameters Using Surface Free Energy Concept and Its Relationship with the Moisture Susceptibility of Asphalt Mixtures. Adv. Civ. Eng. 2021, 2021, 8818681. [Google Scholar] [CrossRef]
- Li, P.; Yi, K.; Yu, H.; Xiong, J.; Xu, R. Effect of Aggregate Properties on Long-Term Skid Resistance of Asphalt Mixture. J. Mater. Civ. Eng. 2021, 33, 4020413. [Google Scholar] [CrossRef]
- Haider, S.; Hafeez, I. A Step toward Smart City and Green Transportation: Eco-Friendly Waste PET Management to Enhance Adhesion Properties of Asphalt Mixture. Constr. Build. Mater. 2021, 304, 124702. [Google Scholar] [CrossRef]
- Cala, A.; Caro, S. Predictive Quantitative Model for Assessing the Asphalt-Aggregate Adhesion Quality Based on Aggregate Chemistry. Road Mater. Pavement Des. 2021, 23, 1–21. [Google Scholar] [CrossRef]
- Hamedi, G.H.; Sahraei, A.; Esmaeeli, M.R. Investigate the Effect of Using Polymeric Anti-Stripping Additives on Moisture Damage of Hot Mix Asphalt. Eur. J. Environ. Civ. Eng. 2021, 25, 90–103. [Google Scholar] [CrossRef]
- Bargegol, I.; Sakanlou, F.; Sohrabi, M.; Hamedi, G.H. Investigating the Effect of Metal Nanomaterials on the Moisture Sensitivity Process of Asphalt Mixes. Period. Polytech. Civ. Eng. 2021, 65, 15–25. [Google Scholar] [CrossRef]
- Habal, A.; Singh, D. Establishing Threshold Value of Surface Free Energy and Binder Bond Strength Parameters for Basaltic Asphalt Mixes. Road Mater. Pavement Des. 2021, 1–23. [Google Scholar] [CrossRef]






| Source | ID | Sp. Gravity (Gsb) | Water Absorption (%) | Elongation (%) | Flakiness (%) | Los-Angeles Abrasion Value | Aggregate Crushing Value | Aggregate Impact Value | 
|---|---|---|---|---|---|---|---|---|
| Margallah | AM | 2.637 | 0.78 | 3.3 | 6 | 21 | 27 | 32 | 
| Sargodha | AS | 2.642 | 0.50 | 7 | 5.5 | 22.5 | 25 | 30 | 
| Uban Shah | AU | 2.640 | 0.59 | 15 | 12 | 22 | 29 | 33 | 
| Component | Chemical Formula | Aggregate Source (%) | ||
|---|---|---|---|---|
| AM | AS | AU | ||
| Carbonate & Calcite | CaCO3 and CaO | 96 | 94 | 98 | 
| Hematite | Fe2O3 | 0.5 | - | 2 | 
| Quartz | SiO2 | 1.5 | 3.9 | - | 
| Clay | - | 2 | - | - | 
| Source of Variation | SS | df | MS | F | p-Value | Fcrit | 
|---|---|---|---|---|---|---|
| 
 | ||||||
| Between Mixes | 23,282.44 | 3 | 7760.812 | 12.69663 | 4.13 × 10−6 | 2.81647 | 
| Within Mixes | 26,894.98 | 44 | 611.2496 | |||
| Total | 50,177.42 | 47 | ||||
| 
 | ||||||
| Between Mixes | 2,872,054 | 3 | 957,351.2 | 5.61978 | 0.002376 | 2.81647 | 
| Within Mixes | 7,495,565 | 44 | 170,353.7 | |||
| Total | 10,367,618 | 47 | 
| Publisher’s Note: MDPI stays neutral with regard to jurisdictional claims in published maps and institutional affiliations. | 
© 2022 by the authors. Licensee MDPI, Basel, Switzerland. This article is an open access article distributed under the terms and conditions of the Creative Commons Attribution (CC BY) license (https://creativecommons.org/licenses/by/4.0/).
Share and Cite
Raza, A.; Khan, I.; Tufail, R.F.; Frankovska, J.; Mushtaq, M.U.; Salmi, A.; Awad, Y.A.; Javed, M.F. Evaluation of Moisture Damage Potential in Hot Mix Asphalt Using Polymeric Aggregate Treatment. Materials 2022, 15, 5437. https://doi.org/10.3390/ma15155437
Raza A, Khan I, Tufail RF, Frankovska J, Mushtaq MU, Salmi A, Awad YA, Javed MF. Evaluation of Moisture Damage Potential in Hot Mix Asphalt Using Polymeric Aggregate Treatment. Materials. 2022; 15(15):5437. https://doi.org/10.3390/ma15155437
Chicago/Turabian StyleRaza, Arsalan, Imran Khan, Rana Faisal Tufail, Jana Frankovska, Muhammad Umar Mushtaq, Abdellatif Salmi, Youssef Ahmed Awad, and Muhammad Faisal Javed. 2022. "Evaluation of Moisture Damage Potential in Hot Mix Asphalt Using Polymeric Aggregate Treatment" Materials 15, no. 15: 5437. https://doi.org/10.3390/ma15155437
APA StyleRaza, A., Khan, I., Tufail, R. F., Frankovska, J., Mushtaq, M. U., Salmi, A., Awad, Y. A., & Javed, M. F. (2022). Evaluation of Moisture Damage Potential in Hot Mix Asphalt Using Polymeric Aggregate Treatment. Materials, 15(15), 5437. https://doi.org/10.3390/ma15155437
 
        




 
       