Experimental Study on the Time-Dependent Characteristics of MLPS Transparent Soil Strength
Abstract
:1. Introduction
2. Experimental Material and Conditions
2.1. Material and Apparatus
2.2. Testing Conditions and Procedure
- (1)
- Rest tests: MLPS samples were respectively rested for 0, 1, 2, 3, 5, 7, and 9 days before getting ready for gas injection tests.
- (2)
- Disturbance tests: at 3 days of rest, every fresh MLPS sample imposed a disturbance of 5, 15, 30, and 60 min separately. The appropriate rotational speed was set at 2000 rpm. After disturbance, the gas injection test was carried out.
- (3)
- Recovery tests: at 3 days of rest, fresh MLPS samples were disturbed for 60 min to be entirely destroyed. The appropriate rotational speed was set at 2000 rpm. When the 60-minute disturbance stopped, it was taken as the beginning of the recovery time in the 0–8 days range. After recovery time, the gas injection test was carried out.
2.3. Cracking Pressure Mechanics
3. Testing Result Analysis
3.1. Pressure and Morphology
3.2. Influence of Rest Time
3.3. Influence of Disturbance Time
3.4. Influence of Recovery Time
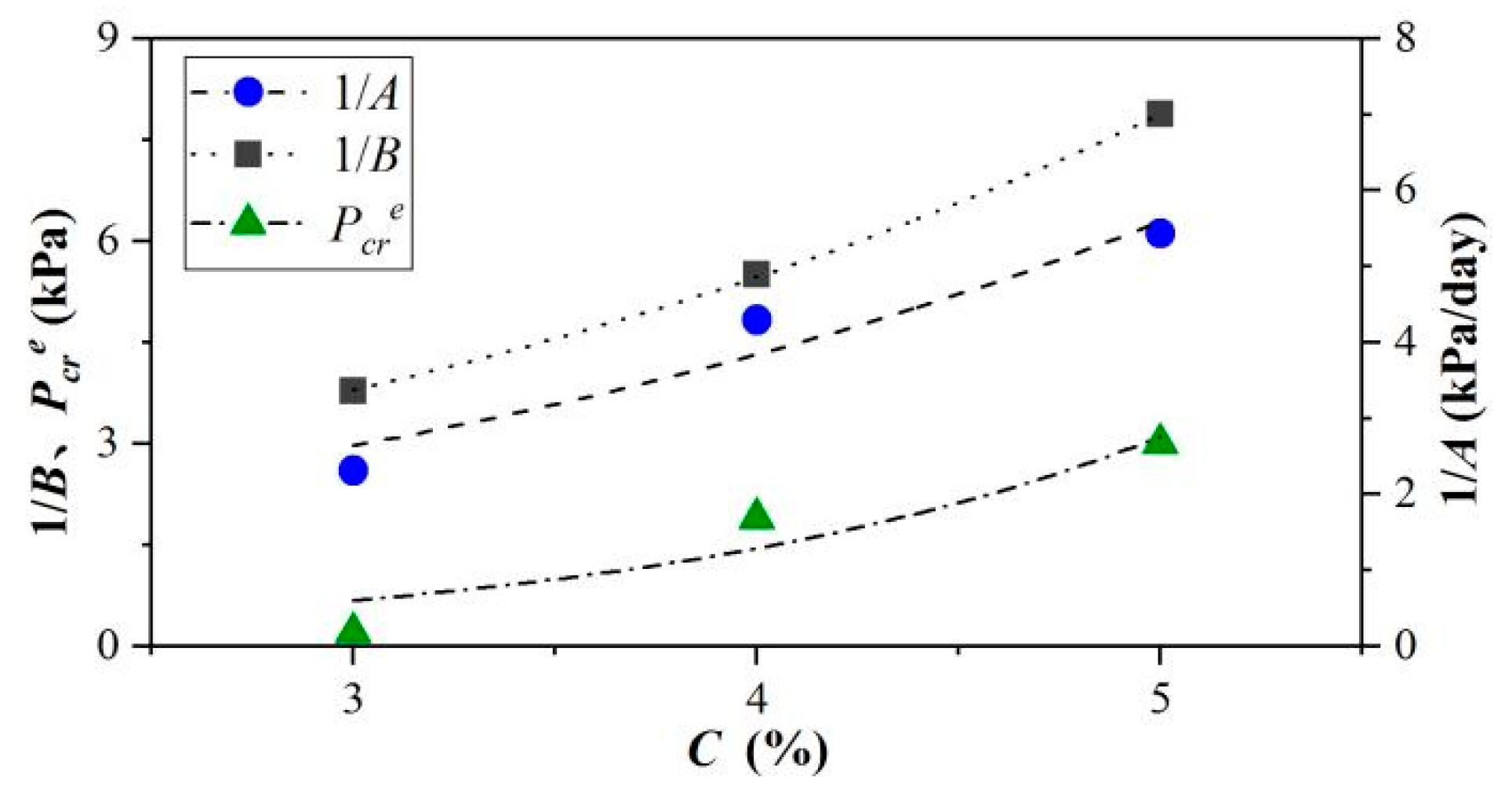
3.5. Cracking Pressure Variation
4. Conclusions
- (1)
- The MLPS strength experiences rapid change and then stabilizes, which is consistent with aging behavior. The strength is proportional to concentration, i.e., MLPS with higher concentrations possess larger strength with equivalent rest time. Moreover, the calculated limit strengths of MLPS transparent soils with 3%, 4%, and 5% were 3.831 kPa, 8.849 kPa, and 12.048 kPa, respectively.
- (2)
- Disturbance contributes greatly to MLPS strength descent. The residual strength for high concentrations was much more significant than for low ones, indicating the different thixotropic reactions caused by structure deconstruction.
- (3)
- The strength recovery for disturbed MLPS with high concentration consists of both elastic and viscous recovery. The former response is probably caused by crosslink re-organization, and the latter accounts for entanglement re-connection. Under enough recovery time, the strengths of 3%, 4%, and 5% MLPS were restored to 4.303 kPa, 8.255 kPa, and 14.884 kPa, respectively, showing the structure recoverability.
Author Contributions
Funding
Institutional Review Board Statement
Informed Consent Statement
Data Availability Statement
Conflicts of Interest
References
- Chen, Y.; Jaksa, M.B.; Kuo, Y.; Airey, D.W. Experimental Analysis of Rolling Dynamic Compaction Using Transparent Soils and Particle Image Velocimetry. Can. Geotech. J. 2022, 59, 254–271. [Google Scholar] [CrossRef]
- Zhong, W.; Liu, H.; Gu, D.; Zhang, W.; Yang, C.; Gao, X. Development of a Preparation Method of Transparent Soil-Rock Mixture for Geotechnical Laboratory Modeling. Eng. Geol. 2022, 301, 106622. [Google Scholar] [CrossRef]
- Gao, B.; Sui, W. Experimental Modeling of Quicksand with Transparent Soil through an Orifice. Geotech. Test. J. 2017, 40, 798–809. [Google Scholar] [CrossRef]
- Ads, A.; Iskander, M.; Bless, S. Shear Strength of a Synthetic Transparent Soft Clay Using a Miniature Ball Penetrometer Test. Geotech. Test. J. 2020, 43, 1248–1268. [Google Scholar] [CrossRef]
- Leng, X.; Wang, C.; Pang, R.; Sheng, Q.; Chen, J. Material Preparation and Geotechnical Properties of Transparent Cemented Soil for Physical Modeling. Front. Mater. 2021, 8, 740388. [Google Scholar] [CrossRef]
- Mourchid, A.; Levitz, P. Long-Term Gelation of Laponite Aqueous Dispersions. Phys. Rev. E 1998, 57, R4887–R4890. [Google Scholar] [CrossRef]
- Pierozan, R.; Almikati, A.; Silva Araujo, G.; Zornberg, J. Optical and Physical Properties of Laponite for Use as Clay Surrogate in Geotechnical Models. Geotech. Test. J. 2022, 45, 79–100. [Google Scholar] [CrossRef]
- Ads, A.; Iskander, M.; Nazir, A.K. 3D Ground Movements Due to Tunnel Face Collapse. In Proceedings of the 2nd Session on Engineering, Monitoring, and Management of Geotechnical Infrastructure at Geo-Congress on Vision, Insight, Outlook, Minneapolis, MN, USA, 25–28 February 2020; pp. 309–319. [Google Scholar] [CrossRef]
- Ghosh, A.; Sircar, S.; Khatu, T.; Dutta, T.; Tarafdar, S. Tree-Like Crack Patterns in Clay Dried in a Uniform DC Electric Field. Mater. Res. Express 2019, 6, 026305. [Google Scholar] [CrossRef]
- Chini, C.M.; Wallace, J.F.; Rutherford, C.J.; Peschel, J.M. Shearing Failure Visualization via Particle Tracking in Soft Clay Using a Transparent Soil. Geotech. Test. J. 2015, 38, 708–724. [Google Scholar] [CrossRef]
- Ads, A.; Iskander, M.; Bless, S. Soil-Projectile Interaction During Penetration of a Transparent Clay Simulant. Acta Geotech. 2020, 15, 815–826. [Google Scholar] [CrossRef]
- Ads, A.; Shariful Islam, M.; Iskander, M. Effect of Face Losses and Cover-to-Diameter Ratio on Tunneling Induced Settlements in Soft Clay, Using Transparent Soil Models. Geotech. Geol. Eng. 2021, 39, 5529–5547. [Google Scholar] [CrossRef]
- Christidis, G.E.; Aldana, C.; Chryssikos, G.D.; Gionis, V.; Kalo, H.; Stoeter, M.; Breu, J.; Robert, J. The Nature of Laponite: Pure Hectorite or a Mixture of Different Trioctahedral Phases? Minerals 2018, 8, 314. [Google Scholar] [CrossRef] [Green Version]
- Kroon, M.; Vos, W.L.; Wegdam, G.H. Structure and Formation of a Gel of Colloidal Disks. Phys. Rev. E 1998, 57, 1962–1970. [Google Scholar] [CrossRef] [Green Version]
- Yi, L.D.; Lv, H.B.; Ye, T.; Zhang, Y.P. Quantification of the Transparency of the Transparent Soil in Geotechnical Modeling. Adv. Civ. Eng. 2018, 2018, 2915924. [Google Scholar] [CrossRef] [Green Version]
- Kumar, N.V.N.R.; Muralidhar, K.; Joshi, Y.M. On the Refractive Index of Ageing Dispersions of Laponite. Appl. Clay Sci. 2008, 42, 326–330. [Google Scholar] [CrossRef] [Green Version]
- Iskander, M.; Bathurst, R.J.; Omidvar, M. Past, Present, and Future of Transparent Soils. Geotech. Test. J. 2015, 38, 557–573. [Google Scholar] [CrossRef]
- Khushboo, S.; Joshi, Y.M. Microstructure and Soft Glassy Dynamics of Aqueous Laponite Dispersion. Langmuir 2018, 34, 13079–13103. [Google Scholar] [CrossRef] [Green Version]
- Takeno, H.; Sato, C. Effects of Molecular Mass of Polymer and Composition on the Compressive Properties of Hydrogels Composed of Laponite and Sodium Polyacrylate. Appl. Clay Sci. 2016, 123, 141–147. [Google Scholar] [CrossRef]
- Wallace, J.F.; Rutherford, C.J. Geotechnical Properties of LAPONITE RD (R). Geotech. Test. J. 2015, 38, 574–587. [Google Scholar] [CrossRef]
- Zhang, Y.; Hu, M.; Ye, T.; Chen, Y.; Zhou, Y. An Experimental Study on the Rheological Properties of Laponite RD as a Transparent Soil. Geotech. Test. J. 2020, 43, 607–621. [Google Scholar] [CrossRef]
- Bonn, D.; Kellay, H.; Tanaka, H.; Wegdam, G.; Meunier, J. Laponite: What is the Difference between a Gel and a Glass? Langmuir 1999, 15, 7534–7536. [Google Scholar] [CrossRef]
- Bonn, D.; Tanase, S.; Abou, B.; Tanaka, H.; Meunier, J. Laponite: Aging and Shear Rejuvenation of a Colloidal Glass. Phys. Rev. Lett. 2002, 89, 015701. [Google Scholar] [CrossRef] [PubMed]
- Poole, R.J.; Escudier, M.P. Turbulent Flow of non-Newtonian Liquids Over a Backward-Facing Step Part I. A Thixotropic and Shear-Thinning Liquid. J. Non-Newton. Fluid 2003, 109, 177–191. [Google Scholar] [CrossRef]
- Shahin, A.; Joshi, Y.M. Physicochemical Effects in Aging Aqueous Laponite Suspensions. Langmuir 2012, 28, 15674–15686. [Google Scholar] [CrossRef]
- Arachchige, U.N.; Cruden, A.R.; Weinberg, R. Laponite Gels—Visco-Elasto-Plastic Analogues for Geological Laboratory Modelling. Tectonophysics 2021, 805, 228773. [Google Scholar] [CrossRef]
- Bertelsen, H.S.; Rogers, B.D.; Galland, O.; Dumazer, G.; Benanni, A.A. Laboratory Modeling of Coeval Brittle and Ductile Deformation During Magma Emplacement Into Viscoelastic Rocks. Front. Earth Sci. 2018, 6. [Google Scholar] [CrossRef]
- Biswas, R.; Saha, D.; Bandyopadhyay, R. Quantifying the Destructuring of a Thixotropic Colloidal Suspension Using Falling Ball Viscometry. Phys. Fluids 2021, 33. [Google Scholar] [CrossRef]
- Chen, L.; Li, G.; Chen, Y.; Zeng, H.; Mao, Z.; Liu, L.; Wang, X.; Xu, S. Thixotropy Research of Laponite-Hydrogel Composites for Water Shutoff in Horizontal Wells. J. Petrol. Sci. Eng. 2022, 208, 109600. [Google Scholar] [CrossRef]
- Duncan, T.T.; Sarapas, J.M.; Defante, A.P.; Beers, K.L.; Chan, E.P. Cutting to Measure the Elasticity and Fracture of Soft Gels. Soft Matter 2020, 16, 8826–8831. [Google Scholar] [CrossRef]
- Mukhopadhyay, A.; Granick, S. Micro- and Nanorheology. Curr. Opin. Colloid 2001, 6, 423–429. [Google Scholar] [CrossRef]
- Zimberlin, J.A.; Sanabria-DeLong, N.; Tew, G.N.; Crosby, A.J. Cavitation Rheology for Soft Materials. Soft Matter 2007, 3, 763–767. [Google Scholar] [CrossRef] [PubMed] [Green Version]
- Abou, B.; Bonn, D.; Meunier, J. Aging Dynamics in a Colloidal Glass. Phys. Rev. E 2001, 64, 021510. [Google Scholar] [CrossRef] [PubMed] [Green Version]
- Zhang, Y.; Que, X.; Hu, M.; Zhou, Y. 3D Reconstruction of a Single Bubble in Transparent Media Using Three Orthographic Digital Images. Appl. Sci. 2020, 10, 5803. [Google Scholar] [CrossRef]
- Le Luyer, C.; Lou, L.; Bovier, C.; Plenet, J.C.; Dumas, J.G.; Mugnier, J. A Thick Sol-Gel Inorganic Layer for Optical Planar Waveguide Applications. Opt. Mater. 2001, 18, 211–217. [Google Scholar] [CrossRef]
- Barney, C.W.; Dougan, C.E.; McLeod, K.R.; Kazemi-Moridani, A.; Zheng, Y.; Ye, Z.; Tiwari, S.; Sacligil, I.; Riggleman, R.A.; Cai, S.; et al. Cavitation in Soft Matter. Proc. Natl. Acad. Sci. USA 2020, 117, 9157–9165. [Google Scholar] [CrossRef] [Green Version]
- Hutchens, S.B.; Fakhouri, S.; Crosby, A.J. Elastic Cavitation and Fracture Via Injection. Soft Matter 2016, 12, 2557–2566. [Google Scholar] [CrossRef] [Green Version]
- Kundu, S.; Crosby, A.J. Cavitation and Fracture Behavior of Polyacrylamide Hydrogels. Soft Matter 2009, 5, 3963–3968. [Google Scholar] [CrossRef] [Green Version]
- Zhang, Y.; Chen, Y.; Hou, Y.; Jin, Z.; Zhou, Y. Fracture Toughness Measurements of Soft Sediments Based On Gas Injection Tests. Mar. Georesources Geotechnol. 2022, 40, 847–855. [Google Scholar] [CrossRef]
- Frieberg, B.R.; Garatsa, R.; Jones, R.L.; Bachert, J.O.I.; Crawshaw, B.; Liu, X.M.; Chan, E.P. Viscoplastic Fracture Transition of a Biopolymer Gel. Soft Matter 2018, 14, 4696–4701. [Google Scholar] [CrossRef]
- Baumberger, T.; Caroli, C.; Martina, D. Solvent Control of Crack Dynamics in a Reversible Hydrogel. Nat. Mater. 2006, 5, 552–555. [Google Scholar] [CrossRef]
- Creton, C.; Ciccotti, M. Fracture and Adhesion of Soft Materials: A Review. Rep. Prog. Phys. 2016, 79, 046601. [Google Scholar] [CrossRef] [PubMed]
- Ruzicka, B.; Zulian, L.; Zaccarelli, E.; Angelini, R.; Sztucki, M.; Moussaid, A.; Ruocco, G. Competing Interactions in Arrested States of Colloidal Clays. Phys. Rev. Lett. 2010, 104, 085701. [Google Scholar] [CrossRef] [PubMed] [Green Version]












| Groups | Concentration (%) | Rest Time (Day) | Disturbance Time (min) | Rotational Speed (rpm) | Recovery Time (Day) |
|---|---|---|---|---|---|
| rest tests | 3% | 0, 1, 2, 3, 5, 7, 9 | 0 | 0 | 0 |
| 4% | |||||
| 5% | |||||
| Disturbance tests | 3% | 3 | 5, 15, 30, 60 | 2000 | 0 |
| 4% | |||||
| 5% | |||||
| Recovery tests | 3% | 3 | 60 | 2000 | 0, 1, 2, 3 |
| 4% | 0, 0.01, 0.21, 0.33, 1, 2 | ||||
| 5% | 0, 0.01, 0.02, 0.04, 1, 2, 4, 8 |
Publisher’s Note: MDPI stays neutral with regard to jurisdictional claims in published maps and institutional affiliations. |
© 2022 by the authors. Licensee MDPI, Basel, Switzerland. This article is an open access article distributed under the terms and conditions of the Creative Commons Attribution (CC BY) license (https://creativecommons.org/licenses/by/4.0/).
Share and Cite
Que, X.; Jin, Z.; Hou, Y.; Zhou, Y.; Zhang, Y. Experimental Study on the Time-Dependent Characteristics of MLPS Transparent Soil Strength. Materials 2022, 15, 4990. https://doi.org/10.3390/ma15144990
Que X, Jin Z, Hou Y, Zhou Y, Zhang Y. Experimental Study on the Time-Dependent Characteristics of MLPS Transparent Soil Strength. Materials. 2022; 15(14):4990. https://doi.org/10.3390/ma15144990
Chicago/Turabian StyleQue, Xinzhe, Zhao Jin, Yixuan Hou, Yongchao Zhou, and Yiping Zhang. 2022. "Experimental Study on the Time-Dependent Characteristics of MLPS Transparent Soil Strength" Materials 15, no. 14: 4990. https://doi.org/10.3390/ma15144990
APA StyleQue, X., Jin, Z., Hou, Y., Zhou, Y., & Zhang, Y. (2022). Experimental Study on the Time-Dependent Characteristics of MLPS Transparent Soil Strength. Materials, 15(14), 4990. https://doi.org/10.3390/ma15144990

