Design and Gamma-Ray Attenuation Features of New Concrete Materials for Low- and Moderate-Photons Energy Protection Applications
Abstract
:1. Introduction
2. Materials and Methods
2.1. Sampling and Preparation
2.2. Radiation Shielding Capacity
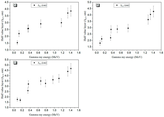
3. Results and Discussion
4. Conclusions
Author Contributions
Funding
Institutional Review Board Statement
Informed Consent Statement
Data Availability Statement
Acknowledgments
Conflicts of Interest
References
- Dong, M.; Zhou, S.; Xue, X.; Feng, X.; Sayyed, M.I.; Khandaker, M.U.; Bradley, D.A. The Potential Use of Boron Containing Resources for Protection against Nuclear Radiation. Radiat. Phys. Chem. 2021, 188, 109601. [Google Scholar] [CrossRef]
- Dong, M.; Xue, X.; Yang, H.; Li, Z. Highly Cost-Effective Shielding Composite Made from Vanadium Slag and Boron-Rich Slag and Its Properties. Radiat. Phys. Chem. 2017, 141, 239–244. [Google Scholar] [CrossRef]
- Dong, M.; Xue, X.; Yang, H.; Liu, D.; Wang, C.; Li, Z. A Novel Comprehensive Utilization of Vanadium Slag: As Gamma Ray Shielding Material. J. Hazard. Mater. 2016, 318, 751–757. [Google Scholar] [CrossRef] [PubMed]
- Kamislioglu, M. An Investigation into Gamma Radiation Shielding Parameters of the (Al:Si) and (Al+Na):Si-Doped International Simple Glasses (ISG) Used in Nuclear Waste Management, Deploying Phy-X/PSD and SRIM Software. J. Mater. Sci. Mater. Electron. 2021, 32, 12690–12704. [Google Scholar] [CrossRef]
- Kamislioglu, M. Research on the Effects of Bismuth Borate Glass System on Nuclear Radiation Shielding Parameters. Results Phys. 2021, 22, 103844. [Google Scholar] [CrossRef]
- Kavaz, E.; Ekinci, N.; Tekin, H.O.; Sayyed, M.I.; Aygün, B.; Perişanoğlu, U. Estimation of Gamma Radiation Shielding Qualification of Newly Developed Glasses by Using WinXCOM and MCNPX Code. Prog. Nucl. Energy 2019, 115, 12–20. [Google Scholar] [CrossRef]
- Zorla, E.; Ipbüker, C.; Biland, A.; Kiisk, M.; Kovaljov, S.; Tkaczyk, A.H.; Gulik, V. Radiation Shielding Properties of High Performance Concrete Reinforced with Basalt Fibers Infused with Natural and Enriched Boron. Nucl. Eng. Des. 2017, 313, 306–318. [Google Scholar] [CrossRef]
- Gökçe, H.S.; Öztürk, B.C.; Çam, N.F.; Andiç-Çakır, Ö. Gamma-Ray Attenuation Coefficients and Transmission Thickness of High Consistency Heavyweight Concrete Containing Mineral Admixture. Cem. Concr. Compos. 2018, 92, 56–69. [Google Scholar] [CrossRef]
- Kharita, M.H.; Yousef, S.; AlNassar, M. The Effect of Carbon Powder Addition on the Properties of Hematite Radiation Shielding Concrete. Prog. Nucl. Energy 2009, 51, 388–392. [Google Scholar] [CrossRef]
- Sharifi, S.; Bagheri, R.; Shirmardi, S.P. Comparison of Shielding Properties for Ordinary, Barite, Serpentine and Steel–Magnetite Concretes Using MCNP-4C Code and Available Experimental Results. Ann. Nucl. Energy 2013, 53, 529–534. [Google Scholar] [CrossRef]
- Tufekci, M.M.; Gokce, A. Development of Heavyweight High Performance Fiber Reinforced Cementitious Composites (HPFRCC)—Part II: X-Ray and Gamma Radiation Shielding Properties. Constr. Build. Mater. 2018, 163, 326–336. [Google Scholar] [CrossRef]
- Gökçe, H.S.; Yalçınkaya, Ç.; Tuyan, M. Optimization of Reactive Powder Concrete by Means of Barite Aggregate for Both Neutrons and Gamma Rays. Constr. Build. Mater. 2018, 189, 470–477. [Google Scholar] [CrossRef]
- Tamayo, P.; Thomas, C.; Rico, J.; Pérez, S.; Mañanes, A. Radiation Shielding Properties of Siderurgical Aggregate Concrete. Constr. Build. Mater. 2022, 319, 126098. [Google Scholar] [CrossRef]
- Abo-El-Enein, S.A.; El-Hosiny, F.I.; El-Gamal, S.M.A.; Amin, M.S.; Ramadan, M. Gamma Radiation Shielding, Fire Resistance and Physicochemical Characteristics of Portland Cement Pastes Modified with Synthesized Fe2O3 and ZnO Nanoparticles. Constr. Build. Mater. 2018, 173, 687–706. [Google Scholar] [CrossRef]
- Roslan, M.K.A.; Ismail, M.; Kueh, A.B.H.; Zin, M.R.M. High-Density Concrete: Exploring Ferro Boron Effects in Neutron and Gamma Radiation Shielding. Constr. Build. Mater. 2019, 215, 718–725. [Google Scholar] [CrossRef]
- Liu, H.; Shi, J.; Qu, H.; Ding, D. An Investigation on Physical, Mechanical, Leaching and Radiation Shielding Behaviors of Barite Concrete Containing Recycled Cathode Ray Tube Funnel Glass Aggregate. Constr. Build. Mater. 2019, 201, 818–827. [Google Scholar] [CrossRef]
- Mahmoud, K.A.; Tashlykov, O.L.; el Wakil, A.F.; el Aassy, I.E. Aggregates Grain Size and Press Rate Dependence of the Shielding Parameters for Some Concretes. Prog. Nucl. Energy 2020, 118, 103092. [Google Scholar] [CrossRef]
- Sayyed, M.I.; Ati, A.A.; Mhareb, M.H.A.; Mahmoud, K.A.; Kaky, K.M.; Baki, S.O.; Mahdi, M.A. Novel Tellurite Glass (60-x)TeO2–10GeO2 -20ZnO–10BaO—XBi2O3 for Radiation Shielding. J. Alloys Compd. 2020, 844, 155668. [Google Scholar] [CrossRef]
- Abu El-Soad, A.M.; Sayyed, M.I.; Mahmoud, K.A.; Şakar, E.; Kovaleva, E.G. Simulation Studies for Gamma Ray Shielding Properties of Halloysite Nanotubes Using MCNP-5 Code. Appl. Radiat. Isot. 2019, 154, 108882. [Google Scholar] [CrossRef]
- Obaid, S.S.; Gaikwad, D.K.; Pawar, P.P. Determination of Gamma Ray Shielding Parameters of Rocks and Concrete. Radiat. Phys. Chem. 2018, 144, 356–360. [Google Scholar] [CrossRef]
- Akkurt, I. Effective Atomic and Electron Numbers of Some Steels at Different Energies. Ann. Nucl. Energy J. 2009, 36, 1702–1705. [Google Scholar] [CrossRef]
- Gaikwad, D.K.; Sayyed, M.I.; Botewad, S.N.; Obaid, S.S.; Khattari, Z.Y.; Gawai, U.P.; Afaneh, F.; Shirshat, M.D.; Pawar, P.P. Physical, Structural, Optical Investigation and Shielding Featuresof Tungsten Bismuth Tellurite Based Glasses. J. Non-Cryst. Solids 2019, 503–504, 158–168. [Google Scholar] [CrossRef]
- Koubisy, M.S.I.; Shaaban, K.S.; Wahab, E.A.A.; Sayyed, M.I.; Mahmoud, K.A. Synthesis, Structure, Mechanical and Radiation Shielding Features of 50SiO2–(48 + X) Na2B4O7–(2 − X) MnO2 Glasses. Eur. Phys. J. Plus 2021, 136, 156. [Google Scholar] [CrossRef]
- Islam, S.; Mahmoud, K.A.; Sayyed, M.I.; Alim, B.; Rahman, M.M.; Mollah, A.S. Study on the Radiation Attenuation Properties of Locally Available Bees-Wax as a Tissue Equivalent Bolus Material in Radiotherapy. Radiat. Phys. Chem. 2020, 172, 108559. [Google Scholar] [CrossRef]
- Kaky, K.M.; Sayyed, M.I.; Mhareb, M.H.A.; Abdalsalam, A.H.; Mahmoud, K.A.; Baki, S.O.; Mahdi, M.A. Physical, Structural, Optical and Gamma Radiation Attenuation Properties of Germanate-Tellurite Glasses for Shielding Applications. J. Non-Cryst. Solids 2020, 545, 120250. [Google Scholar] [CrossRef]
- Fugaru, V.; Bercea, S.; Postolache, C.; Manea, S.; Moanta, A.; Petre, I.; Gheorghe, M. Gamma Ray Shielding Properties of Some Concrete Materials. Acta Phys. Pol. A 2015, 127, 1427–1429. [Google Scholar] [CrossRef]
- Agar, O. Study on Gamma Ray Shielding Performance of Concretes Doped with Natural Sepiolite Mineral. Radiochim. Acta 2018, 106, 1009–1016. [Google Scholar] [CrossRef]








| Concrete Series | The Grain Composition (%) | W/C Ratio | Pore Volume (%) | Bulk Volume (%) | Density (g/cm3) | Porosity (%) | ||
|---|---|---|---|---|---|---|---|---|
| Cement | Granite | Red Sand | ||||||
| A | 16.7 | 50 | 33.3 | 0.4 | 6.68 | 53.76 | 2.68 | 12.4 |
| B | 16.7 | 50 | 33.3 | 0.6 | 7.39 | 54.85 | 2.61 | 13.5 |
| C | 16.7 | 50 | 33.3 | 0.8 | 8.83 | 54.90 | 2.56 | 16.1 |
Publisher’s Note: MDPI stays neutral with regard to jurisdictional claims in published maps and institutional affiliations. |
© 2022 by the authors. Licensee MDPI, Basel, Switzerland. This article is an open access article distributed under the terms and conditions of the Creative Commons Attribution (CC BY) license (https://creativecommons.org/licenses/by/4.0/).
Share and Cite
Aloraini, D.A.; Hanfi, M.Y.; Sayyed, M.I.; Naseer, K.A.; Almuqrin, A.H.; Tamayo, P.; Tashlykov, O.L.; Mahmoud, K.A. Design and Gamma-Ray Attenuation Features of New Concrete Materials for Low- and Moderate-Photons Energy Protection Applications. Materials 2022, 15, 4947. https://doi.org/10.3390/ma15144947
Aloraini DA, Hanfi MY, Sayyed MI, Naseer KA, Almuqrin AH, Tamayo P, Tashlykov OL, Mahmoud KA. Design and Gamma-Ray Attenuation Features of New Concrete Materials for Low- and Moderate-Photons Energy Protection Applications. Materials. 2022; 15(14):4947. https://doi.org/10.3390/ma15144947
Chicago/Turabian StyleAloraini, Dalal A., M. Y. Hanfi, M. I. Sayyed, K. A. Naseer, Aljawhara H. Almuqrin, P. Tamayo, O. L. Tashlykov, and K. A. Mahmoud. 2022. "Design and Gamma-Ray Attenuation Features of New Concrete Materials for Low- and Moderate-Photons Energy Protection Applications" Materials 15, no. 14: 4947. https://doi.org/10.3390/ma15144947
APA StyleAloraini, D. A., Hanfi, M. Y., Sayyed, M. I., Naseer, K. A., Almuqrin, A. H., Tamayo, P., Tashlykov, O. L., & Mahmoud, K. A. (2022). Design and Gamma-Ray Attenuation Features of New Concrete Materials for Low- and Moderate-Photons Energy Protection Applications. Materials, 15(14), 4947. https://doi.org/10.3390/ma15144947

