Experimental Study and Theoretical Analysis on the Compression–Shear Multiaxial Mechanical Properties of Recycled Concrete
Abstract
:1. Introduction
2. Materials and Methods
2.1. Specimen Preparation
2.2. Loading Plan
3. Analysis of Test Results
3.1. Failure Mode
3.2. Stress–Strain Curve
3.3. Shear Stress
3.4. Shear Strain
4. Theoretical Analysis
4.1. Stress Mechanism
4.2. Failure Criterion
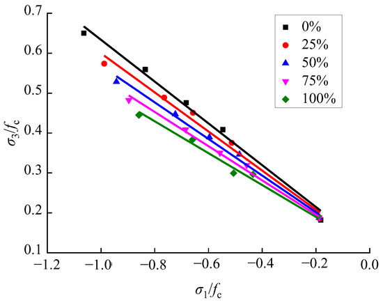
4.2.1. Principal Stress Space
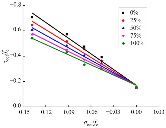
4.2.2. Octahedral Stress Space
4.3. Calculation Mode
5. Conclusions
- (1)
- According to analysis of the macroscopic failure modes, it was found that the shear cracks of test specimens with different replacement rates all exhibit a developing trend along the oblique direction with the growth of axial compression ratio, and the friction traces on the shear interface are gradually deepened. As the RA replacement rate increases, the number and size of cracks tend to increase gradually.
- (2)
- From the perspective of shear stress and shear strain, with the growth of axial compression ratio, the shear stress and shear strain of recycled concrete are gradually increased. With the increase of the RA replacement rate, the shear stress is gradually reduced, while the shear strain is gradually increased. In addition, the variation range of shear stress and shear strain under the influence of axial compression ratio are also gradually reduced.
- (3)
- According to the shear stress test data under different RA replacement rates and axial compression ratios, a compression–shear multiaxial failure criterion under the influence of RA replacement rate and a shear stress calculation model for recycled concrete were proposed. Both the failure criterion and the calculation model have good applicability to engineering practice.
Author Contributions
Funding
Institutional Review Board Statement
Informed Consent Statement
Data Availability Statement
Acknowledgments
Conflicts of Interest
References
- Wang, B.; Yan, L.; Fu, Q.; Kasal, B. A comprehensive review on recycled aggregate and recycled aggregate concrete. Resour. Conserv. Recycl. 2021, 171, 105565. [Google Scholar] [CrossRef]
- Khan, K.; Ahmad, W.; Amin, M.N.; Aslam, F.; Ahmad, A.; Al-Faiad, M.A. Comparison of Prediction Models Based on Machine Learning for the Compressive Strength Estimation of Recycled Aggregate Concrete. Materials 2022, 15, 3430. [Google Scholar] [CrossRef] [PubMed]
- Ma, W. Behavior of Aged Reinforced Concrete Columns under High Sustained Concentric and Eccentric Loads. Ph.D. Thesis, University of Nevada, Las Vegas, NV, USA, 2021. [Google Scholar]
- Ma, W. Simulate Initiation and Formation of Cracks and Potholes; Master Report; Northeastern University: Boston, MA, USA, 2016. [Google Scholar]
- Wang, J.; Xie, F.; Zhang, C.; Ruan, J. Experimental study and failure criterion analysis on combined compression-shear performance of self-compacting concrete. Materials 2020, 13, 713. [Google Scholar] [CrossRef] [PubMed] [Green Version]
- Xuan, D.; Molenaar, A.A.; Houben, L.J. Compressive and indirect tensile strengths of cement-treated mix granulates with recycled masonry and concrete aggregates. J. Mater. Civ. Eng. 2012, 24, 577–585. [Google Scholar] [CrossRef]
- Thomas, J.; Thaickavil, N.N.; Wilson, P. Strength and durability of concrete containing recycled concrete aggregates. J. Build. Eng. 2018, 19, 349–365. [Google Scholar] [CrossRef]
- Duan, Z.; Han, N.; Singh, A.; Xiao, J. Multi-scale investigation on concrete prepared with recycled aggregates from different parent concrete. J. Renew. Mater. 2020, 8, 1375. [Google Scholar] [CrossRef]
- Silva, F.A.; Delgado, J.M.; Azevedo, A.C.; Lima, A.G.; Vieira, C.S. Preliminary analysis of the use of construction waste to replace conventional aggregates in concrete. Buildings 2021, 11, 81. [Google Scholar] [CrossRef]
- Lehner, P.; Horňáková, M. Effect of amount of fibre and damage level on service life of sfr recycled concrete in aggressive environment. Buildings 2021, 11, 489. [Google Scholar] [CrossRef]
- Rodsin, K.; Ali, N.; Joyklad, P.; Chaiyasarn, K.; Al Zand, A.W.; Hussain, Q. Improving Stress-Strain Behavior of Waste Aggregate Concrete Using Affordable Glass Fiber Reinforced Polymer (GFRP) Composites. Sustainability 2022, 14, 6611. [Google Scholar] [CrossRef]
- Rukhaiyar, S.; Sajwan, G.; Samadhiya, N.K. Strength behavior of plain cement concrete subjected to true triaxial compression. Can. J. Civil. Eng. 2018, 45, 179–196. [Google Scholar] [CrossRef] [Green Version]
- Zeng, S.; Ren, X.; Li, J. Triaxial behavior of concrete subjected to dynamic compression. J. Struct. Eng. 2013, 139, 1582–1592. [Google Scholar] [CrossRef]
- Yu, Z.; Tang, R.; Li, F.; Hu, Y.; Liu, G.; Qin, Y.; Huang, Q. Experimental study and failure criterion analysis on combined compression-shear performance of rubber concrete (RC) with different rubber replacement ratio. Constr. Build. Mater. 2021, 288, 123105. [Google Scholar] [CrossRef]
- Yu, Z.; Shan, Y.; Huang, Q.; Sun, X. Failure criteria and mechanical properties of recycled concrete with different replacement ratios of coarse aggregates under multiaxial compression. J. Mater. Civ. Eng. 2019, 31, 04019216. [Google Scholar] [CrossRef]
- Wang, Y.; Deng, Z.; Xiao, J.; Li, T.; Li, J. Mechanical properties of recycled aggregate concrete under compression-shear stress state. Constr. Build. Mater. 2021, 271, 121894. [Google Scholar] [CrossRef]
- Oikonomou, N.D. Recycled concrete aggregates. Cem. Concr. Compos. 2005, 27, 315–318. [Google Scholar] [CrossRef]
- Liu, B.; Ye, J.; Liu, X.; Lin, W.; Deng, Z.; Liu, Q. Shear strength and failure criterion of carbon fiber reinforced coral concrete under combined compression-shear stresses. Constr. Build. Mater 2022, 325, 126728. [Google Scholar] [CrossRef]
- Van Geel, E. Behaviour of Concrete in Multiaxial Compression. Ph.D. Thesis, Eindhoven University of Technology, Eindhoven, The Netherlands, 1998. [Google Scholar]
- Zhenhai, G. Strength and Deformation of Concrete—Experimental Basis and Constitutive Relationship; Tsinghua University Press: Beijing, China, 1997. [Google Scholar]
- Yang, H.-F.; Yang, C.; Jiang, Y.; Liu, C.-L. Mechanical property and damage constitutive model of steel fiber reinforced concrete under combined compression-shera loading. Eng. Mech. 2022, 39, 1–8. [Google Scholar]

















| Replacement Rate | Water | Cement | Fine Aggregates | Coarse Aggregates | |
|---|---|---|---|---|---|
| NCA | NCA | ||||
| 0% | 175 | 461 | 512 | 1252 | 0 |
| 25% | 175 | 461 | 512 | 939 | 313 |
| 50% | 175 | 461 | 512 | 626 | 626 |
| 75% | 175 | 461 | 512 | 313 | 939 |
| 100% | 175 | 461 | 512 | 0 | 1252 |
Publisher’s Note: MDPI stays neutral with regard to jurisdictional claims in published maps and institutional affiliations. |
© 2022 by the authors. Licensee MDPI, Basel, Switzerland. This article is an open access article distributed under the terms and conditions of the Creative Commons Attribution (CC BY) license (https://creativecommons.org/licenses/by/4.0/).
Share and Cite
Zhang, Y.; Peng, S.; Du, X.; Yu, Z.; Wu, J.; Xie, X.; Hu, Y. Experimental Study and Theoretical Analysis on the Compression–Shear Multiaxial Mechanical Properties of Recycled Concrete. Materials 2022, 15, 4810. https://doi.org/10.3390/ma15144810
Zhang Y, Peng S, Du X, Yu Z, Wu J, Xie X, Hu Y. Experimental Study and Theoretical Analysis on the Compression–Shear Multiaxial Mechanical Properties of Recycled Concrete. Materials. 2022; 15(14):4810. https://doi.org/10.3390/ma15144810
Chicago/Turabian StyleZhang, Yongping, Shuai Peng, Xiaoqing Du, Zhenpeng Yu, Jie Wu, Xinghua Xie, and Yanli Hu. 2022. "Experimental Study and Theoretical Analysis on the Compression–Shear Multiaxial Mechanical Properties of Recycled Concrete" Materials 15, no. 14: 4810. https://doi.org/10.3390/ma15144810
APA StyleZhang, Y., Peng, S., Du, X., Yu, Z., Wu, J., Xie, X., & Hu, Y. (2022). Experimental Study and Theoretical Analysis on the Compression–Shear Multiaxial Mechanical Properties of Recycled Concrete. Materials, 15(14), 4810. https://doi.org/10.3390/ma15144810
