Effect of Steel Fiber on the Strength and Flexural Characteristics of Coconut Shell Concrete Partially Blended with Fly Ash
Abstract
:1. Introduction
2. Materials and Methods
2.1. Materials
2.2. Mixing Proportion
2.3. Testing of Specimens
3. Result and Discussion
3.1. Compressive Strength
3.2. Flexural Behavior
3.2.1. Mode of Failure
3.2.2. Moment Capacity
3.2.3. Deflection Characteristics
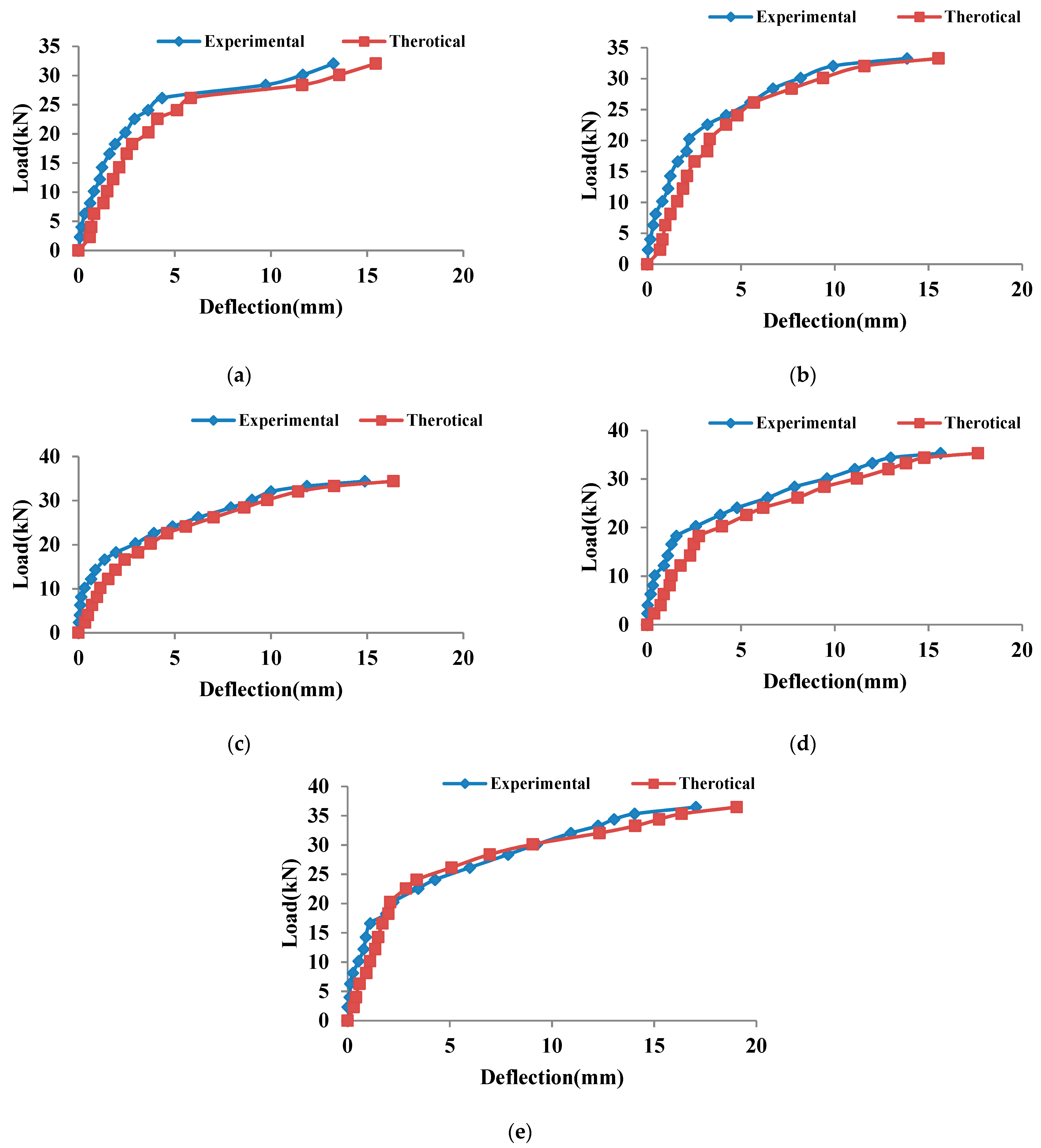
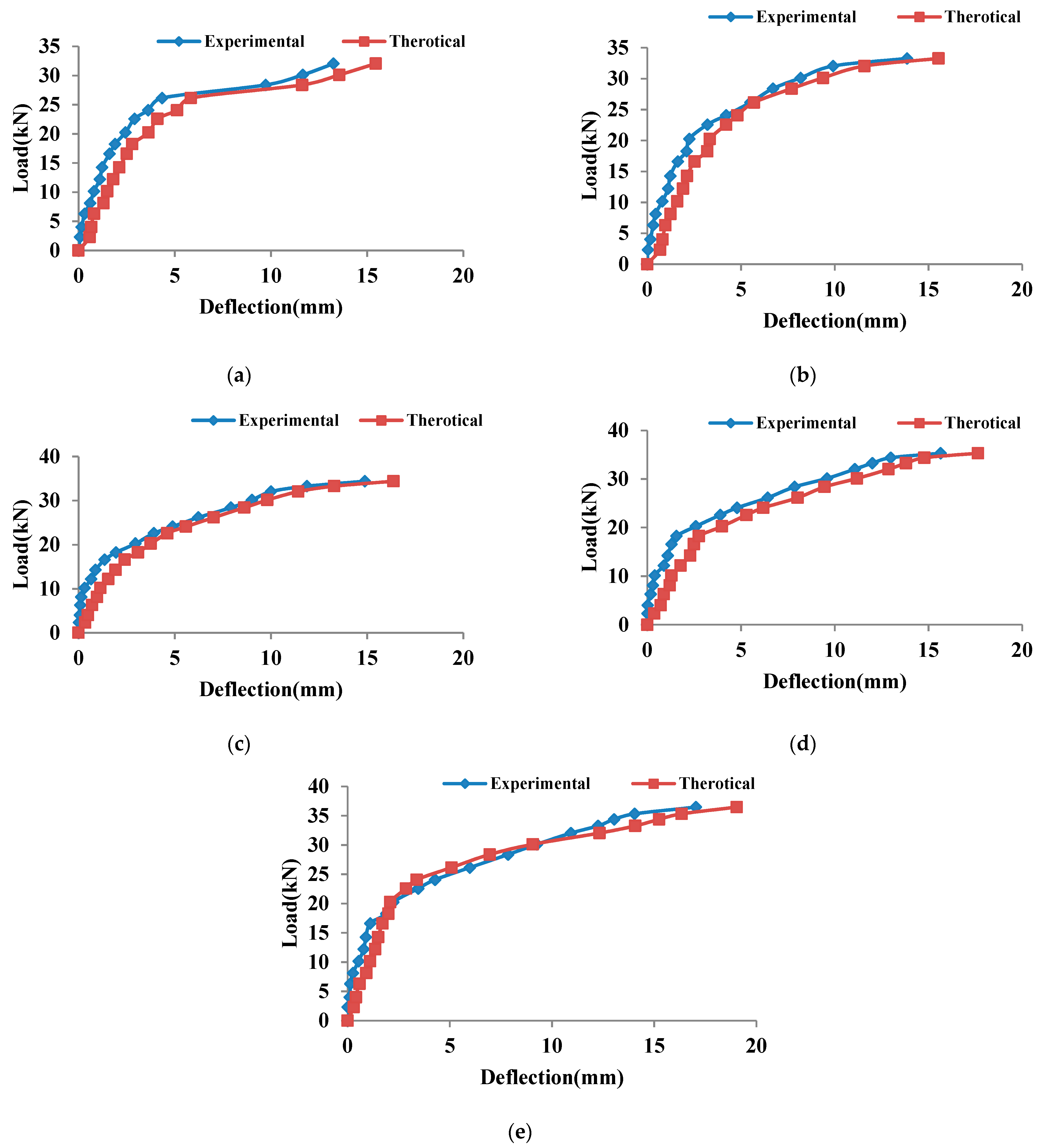
3.2.4. Analytical Model for Deflection of Coconut Shell Concrete Beams
3.2.5. Ductility
3.3. Numerical Validation
- SOLID 65, BEAM188, TARGET170
3.3.1. Material Properties
3.3.2. Finite Element Discretization
3.3.3. Meshing
3.3.4. Loads and Boundary Conditions
3.3.5. Analysis Methodology for FE Model
4. Conclusions
- -
- Steel fiber inclusion enhanced the compressive strength of coconut shell concrete from 15% to 39%.
- -
- A typical flexural failure was seen in plain coconut shell concrete beams and steel fiber-reinforced coconut shell concrete beams.
- -
- Adding steel fibers to coconut shell concrete beams enhanced their ultimate moment capacity by 5–14%. When the steel fiber content was more than 0.5%, the moment capacity and crack resistance of the steel fiber-reinforced coconut shell concrete beam specimens were enhanced significantly.
- -
- It was found that when compared to the non-fibrous beams, all fiber-reinforced beams showed a reduction in ductility, which can be attributed to strain localization. The ductility ratio for structural ductility was met by all of the fiber-reinforced coconut shell concrete beams.
- -
- The experimental moment capacity of all of the beams was found to be higher than the theoretical moment capacity. Because the equations specified in codes such as IS and BS are not intended for fiber-reinforced concrete components, the observed moment capacity and displacements of the steel fiber-reinforced coconut shell concrete beams either overestimated or underestimated the theoretical values.
- -
- The steel fiber addition increased the flexural toughness of the coconut shell concrete beams up to 45%.
- -
- According to IS456 and BS 8110, the span/deflection ratio of all of the fiber-reinforced coconut shell concrete beams was found within the permitted range.
- -
- For the fiber-reinforced coconut shell concrete beam, Branson’s model was developed, and the findings were in good agreement with the experimental data.
- -
- The finite element models were created and analyzed using ANSYS. The findings of all of the finite element beams demonstrated that the ultimate loads were close to the experimental values. The measured deflection agreed reasonably with the deflection derived from the finite element calculations.
Author Contributions
Funding
Institutional Review Board Statement
Informed Consent Statement
Data Availability Statement
Acknowledgments
Conflicts of Interest
References
- Gomaa, E.; Gheni, A.; ElGawady, M.A. Repair of ordinary Portland cement concrete using ambient-cured alkali-activated concrete: Interfacial behavior. Cem. Concr. Res. 2020, 129, 105968. [Google Scholar] [CrossRef]
- Amran, M.; Debbarma, S.; Ozbakkaloglu, T. Fly ash-based eco-friendly geopolymer concrete: A critical review of the long-term durability properties. Constr. Build. Mater. 2021, 270, 121857. [Google Scholar] [CrossRef]
- Makul, N.; Fediuk, R.; Amran, M.; Zeyad, A.M.; Klyuev, S.; Chulkova, I.; Ozbakkaloglu, T.; Vatin, N.; Karelina, M.; Azevedo, A. Design Strategy for Recycled Aggregate Concrete: A Review of Status and Future Perspectives. Crystals 2021, 11, 695. [Google Scholar] [CrossRef]
- Danish, A.; Mosaberpanah, M.A.; Salim, M.U.; Amran, M.; Fediuk, R.; Ozbakkaloglu, T.; Rashid, M.F. Utilization of recycled carbon fiber reinforced polymer in cementitious composites: A critical review. J. Build. Eng. 2022, 53, 104583. [Google Scholar] [CrossRef]
- Geraldo, R.H.; Teixeira, O.G.; Matos, S.R.C.; Silva, F.G.S.; Gonçalves, J.P.; Camarini, G. Study of alkali-activated mortar used as conventional repair in reinforced concrete. Constr. Build. Mater. 2018, 165, 914–919. [Google Scholar] [CrossRef]
- Makul, N.; Fediuk, R.; Amran, M.; Zeyad, A.M.; Murali, G.; Vatin, N.; Klyuev, S.; Ozbakkaloglu, T.; Vasilev, Y. Use of recycled concrete aggregates in production of green cement-based concrete composites: A review. Crystals 2021, 11, 232. [Google Scholar] [CrossRef]
- Tolstoy, A.; Lesovik, V.; Fediuk, R.; Amran, M.; Gunasekaran, M.; Vatin, N.; Vasilev, Y. Production of greener high-strength concrete using russian quartz sandstone mine waste aggregates. Materials 2020, 13, 5575. [Google Scholar] [CrossRef]
- Murali, G.; Abid, S.R.; Karthikeyan, K.; Haridharan, M.K.; Amran, M.; Siva, A. Low-velocity impact response of novel prepacked expanded clay aggregate fibrous concrete produced with carbon nano tube, glass fiber mesh and steel fiber. Constr. Build. Mater. 2021, 284, 122749. [Google Scholar] [CrossRef]
- Ramakrishnan, K.; Depak, S.R.; Hariharan, K.R.; Abid, S.R.; Murali, G.; Cecchin, D.; Fediuk, R.; Mugahed Amran, Y.H.; Abdelgader, H.S.; Khatib, J.M. Standard and modified falling mass impact tests on preplaced aggregate fibrous concrete and slurry infiltrated fibrous concrete. Constr. Build. Mater. 2021, 298, 123857. [Google Scholar] [CrossRef]
- Murali, G.; Abid, S.R.; Amran, M.; Fediuk, R.; Vatin, N.; Karelina, M. Combined Effect of Multi-Walled Carbon Nanotubes, Steel Fibre and Glass Fibre Mesh on Novel Two-Stage Expanded Clay Aggregate Concrete against Impact Loading. Crystals 2021, 11, 720. [Google Scholar] [CrossRef]
- Azreen, N.M.; Rashid, R.S.M.; Mugahed Amran, Y.H.; Voo, Y.L.; Haniza, M.; Hairie, M.; Alyousef, R.; Alabduljabbar, H. Simulation of ultra-high-performance concrete mixed with hematite and barite aggregates using Monte Carlo for dry cask storage. Constr. Build. Mater. 2020, 263, 120161. [Google Scholar] [CrossRef]
- Salaimanimagudam, M.P.; Murali, G.; Vivek Vardhan, C.M.; Amran, M.; Vatin, N.; Fediuk, R.; Vasilev, Y. Impact response of preplaced aggregate fibrous concrete hammerhead pier beam designed with topology optimization. Crystals 2021, 11, 147. [Google Scholar] [CrossRef]
- Luga, E.; Atis, C.D.; Karahan, O.; Ilkentapar, S.; Gorur, E.B. Strength properties of slag/fly ash blends activated with sodium metasilicate. Gradjevinar 2017, 69, 199–205. [Google Scholar] [CrossRef]
- Topçu, I.B.; Toprak, M.U.; Uygunoǧlu, T. Durability and microstructure characteristics of alkali activated coal bottom ash geopolymer cement. J. Clean. Prod. 2014, 81, 211–217. [Google Scholar] [CrossRef]
- Lesovik, V.; Volodchenko, A.; Fediuk, R.; Mugahed Amran, Y.H.; Timokhin, R. Enhancing performances of clay masonry materials based on nanosize mine waste. Constr. Build. Mater. 2021, 269, 121333. [Google Scholar] [CrossRef]
- Lesovik, V.; Volodchenko, A.; Fediuk, R.; Mugahed Amran, Y.H. Improving the Hardened Properties of Nonautoclaved Silicate Materials Using Nanodispersed Mine Waste. J. Mater. Civ. Eng. 2021, 33, 4021214. [Google Scholar] [CrossRef]
- Petropavlovskii, K.; Novichenkova, T.; Petropavlovskaya, V.; Sulman, M.; Fediuk, R.; Amran, M. Faience waste for the production of wall products. Materials 2021, 14, 6677. [Google Scholar] [CrossRef]
- Kolesnikov, A.; Fediuk, R.; Amran, M.; Klyuev, S.; Klyuev, A.; Volokitina, I.; Naukenova, A.; Shapalov, S.; Utelbayeva, A.; Kolesnikova, O.; et al. Modeling of Non-Ferrous Metallurgy Waste Disposal with the Production of Iron Silicides and Zinc Distillation. Materials 2022, 15, 2542. [Google Scholar] [CrossRef]
- Lesovika, V.S.; Ahmed, A.A.; Fediuk, R.S.; Kozlenko, B.; Amran, Y.H.M.; Alaskhanov, A.K.; Asaad, M.A.; Murali, G.; Uvarov, V.A. Performance investigation of demolition wastes-based concrete composites. Mag. Civ. Eng. 2021, 106, 170. [Google Scholar] [CrossRef]
- Laskar, S.M.; Mozumder, R.A.; Laskar, A.I. Behaviour of RC beam repaired using alkali activated slag-based agent under static and cyclic loading. Structures 2021, 31, 761–768. [Google Scholar] [CrossRef]
- Sundaresan, S.; Ramamurthy, V.; Meyappan, N. Improving mechanical and durability properties of hypo sludge concrete with basalt fibres and SBR latex. Adv. Concr. Constr. 2021, 12, 327–337. [Google Scholar] [CrossRef]
- Rodsin, K.; Joyklad, P.; Hussain, Q.; Mohamad, H.; Buatik, A.; Zhou, M.; Chaiyasarn, K.; Nawaz, A.; Mehmood, T.; Elnemr, A. Behavior of steel clamp confined brick aggregate concrete circular columns subjected to axial compression. Case Stud. Constr. Mater. 2022, 16, e00815. [Google Scholar] [CrossRef]
- Meng, T.; Wei, H.; Dai, D.; Liao, J.; Ahmed, S. Effect of brick aggregate on failure process of mixed recycled aggregate concrete via X-CT. Constr. Build. Mater. 2022, 327, 126934. [Google Scholar] [CrossRef]
- Chaiyasarn, K.; Hussain, Q.; Joyklad, P.; Rodsin, K. New hybrid basalt/E-glass FRP jacketing for enhanced confinement of recycled aggregate concrete with clay brick aggregate. Case Stud. Constr. Mater. 2021, 14, e00507. [Google Scholar] [CrossRef]
- da Silva, T.R.; de Azevedo, A.R.G.; Cecchin, D.; Marvila, M.T.; Amran, M.; Fediuk, R.; Vatin, N.; Karelina, M.; Klyuev, S.; Szelag, M. Application of plastic wastes in construction materials: A review using the concept of life-cycle assessment in the context of recent research for future perspectives. Materials 2021, 14, 3549. [Google Scholar] [CrossRef]
- Duan, P.; Yan, C.; Luo, W. A novel waterproof, fast setting and high early strength repair material derived from metakaolin geopolymer. Constr. Build. Mater. 2016, 124, 69–73. [Google Scholar] [CrossRef]
- Mendes, B.C.; Pedroti, L.G.; Vieira, C.M.F.; Marvila, M.; Azevedo, A.R.G.; Franco de Carvalho, J.M.; Ribeiro, J.C.L. Application of eco-friendly alternative activators in alkali-activated materials: A review. J. Build. Eng. 2021, 35, 102010. [Google Scholar] [CrossRef]
- Belmokhtar, N.; Ammari, M.; Brigui, J.; Ben allal, L. Comparison of the microstructure and the compressive strength of two geopolymers derived from Metakaolin and an industrial sludge. Constr. Build. Mater. 2017, 146, 621–629. [Google Scholar] [CrossRef]
- Li, C.; Sun, H.; Li, L. A review: The comparison between alkali-activated slag (Si + Ca) and metakaolin (Si + Al) cements. Cem. Concr. Res. 2010, 40, 1341–1349. [Google Scholar] [CrossRef]
- Sharbatdar, M.K.; Abbasi, M.; Fakharian, P. Improving the properties of self-compacted concrete with using combined silica fume and metakaolin. Period. Polytech. Civ. Eng. 2020, 64, 535–544. [Google Scholar] [CrossRef] [Green Version]
- Mlinárik, L.; Kopecskó, K. The influence of combined application of two SCMs on the corrosion and acid attack durability of mortars. Period. Polytech. Civ. Eng. 2017, 61, 313–321. [Google Scholar] [CrossRef] [Green Version]
- Rakhimova, N.R.; Rakhimov, R.Z. Reaction products, structure and properties of alkali-activated metakaolin cements incorporated with supplementary materials—A review. J. Mater. Res. Technol. 2019, 8, 1522–1531. [Google Scholar] [CrossRef]
- Kramar, S.; Šajna, A.; Ducman, V. Assessment of alkali activated mortars based on different precursors with regard to their suitability for concrete repair. Constr. Build. Mater. 2016, 124, 937–944. [Google Scholar] [CrossRef]
- Lee, Y.H.; Amran, M.; Lee, Y.Y.; Kueh, A.B.H.; Kiew, S.F.; Fediuk, R.; Vatin, N.; Vasilev, Y. Thermal behavior and energy efficiency of modified concretes in the tropical climate: A systemic review. Sustainability 2021, 13, 11957. [Google Scholar] [CrossRef]
- Chin, W.Q.; Lee, Y.H.; Amran, M.; Fediuk, R.; Vatin, N.; Kueh, A.B.H.; Lee, Y.Y. A Sustainable Reuse of Agro-Industrial Wastes into Green Cement Bricks. Materials 2022, 15, 1713. [Google Scholar] [CrossRef]
- Andrey, K.; Roman, F.; Sofya, Y.; Pavel, G.; Valeriy, L.; Ali, M.M.; Hussein, M.A.Y.; Gunasekaran, M. Improvement of mechanical characteristics of mortar by using of wollastonite. Mag. Civ. Eng. 2021, 7, 10715. [Google Scholar]
- Nunes, V.A.; Borges, P.H.R.; Zanotti, C. Mechanical compatibility and adhesion between alkali-activated repair mortars and Portland cement concrete substrate. Constr. Build. Mater. 2019, 215, 569–581. [Google Scholar] [CrossRef]
- IS: 8112-1989; Specification for 43 Grade Ordinary Portland Cement. Bureau of Indian Standard(BIS): Delhi, India, 2013; Volume 17.
- Amran, M.; Huang, S.S.; Debbarma, S.; Rashid, R.S. Fire resistance of geopolymer concrete: A critical review. Constr. Build. Mater. 2022, 324, 126722. [Google Scholar] [CrossRef]
- Amran, M.; Onaizi, A.M.; Fediuk, R.; Danish, A.; Vatin, N.I.; Murali, G.; Azevedo, A. An ultra-lightweight cellular concrete for geotechnical applications–A review. Case Stud. Constr. Mater. 2022, 16, e01096. [Google Scholar] [CrossRef]
- Mugahed, A.; Huang, S.-S.; Onaizi, A.M.; Murali, G.; Abdelgader, H.S. Fire spalling behavior of high-strength concrete: A critical review. Constr. Build. Mater. 2022, 341, 127902. [Google Scholar]
- Klyuev, S.; Klyuev, A.; Fediuk, R.; Ageeva, M.; Fomina, E.; Amran, M.; Murali, G. Fresh and mechanical properties of low-cement mortars for 3D printing. Constr. Build. Mater. 2022, 338, 127644. [Google Scholar] [CrossRef]
- Amran, M.; Fediuk, R.; Murali, G.; Avudaiappan, S.; Ozbakkaloglu, T.; Vatin, N.; Karelina, M.; Klyuev, S.; Gholampour, A. Fly ash-based eco-efficient concretes: A comprehensive review of the short-term properties. Materials 2021, 14, 4264. [Google Scholar] [CrossRef] [PubMed]
- Siddika, A.; Amin, M.R.; Rayhan, M.A.; Islam, M.S.; Mamun, M.A.; Alyousef, R.; Mugahed Amran, Y.H. Performance of sustainable green concrete incorporated with fly ash, rice husk ash, and stone dust. Acta Polytech. 2021, 61, 279–291. [Google Scholar] [CrossRef]
- Onaizi, A.M.; Lim, N.H.A.S.; Huseien, G.F.; Amran, M.; Ma, C.K. Effect of the addition of nano glass powder on the compressive strength of high volume fly ash modified concrete. Mater. Today Proc. 2021, 48, 1789–1795. [Google Scholar] [CrossRef]
- Haruna, S.; Mohammed, B.S.; Wahab, M.M.A.; Kankia, M.U.; Amran, M.; Gora, A.M. Long-Term Strength Development of Fly Ash-Based One-Part Alkali-Activated Binders. Materials 2021, 14, 4160. [Google Scholar] [CrossRef] [PubMed]
- Arularasi, V.; Thamilselvi, P.; Avudaiappan, S.; Flores, E.I.S.; Amran, M.; Fediuk, R.; Vatin, N.; Karelina, M. Rheological behavior and strength characteristics of cement paste and mortar with fly ash and GGBS admixtures. Sustainability 2021, 13, 9600. [Google Scholar] [CrossRef]
- Raju, S.; Rathinam, J.; Dharmar, B.; Rekha, S.; Avudaiappan, S.; Amran, M.; Usanova, K.I.; Fediuk, R.; Guindos, P.; Ramamoorthy, R.V. Cyclically Loaded Copper Slag Admixed Reinforced Concrete Beams with Cement Partially Replaced with Fly Ash. Materials 2022, 15, 3101. [Google Scholar] [CrossRef] [PubMed]
- IS:383; Specification for Coarse and Fine Aggregates From Natural Sources for Concrete. Bureau of Indians Standards: New Delhi, India, 1970; pp. 1–24.
- IS 516:2014; Method of Tests for Strength of Concrete. Bureau of Indians Standards: New Delhi, India, 2004.
- Amran, M.; Onaizi, A.M.; Fediuk, R.; Vatin, N.I.; Muhammad Rashid, R.S.; Abdelgader, H.; Ozbakkaloglu, T. Self-Healing Concrete as a Prospective Construction Material: A Review. Materials 2022, 15, 3214. [Google Scholar] [CrossRef]
- Karmegam, A.; Kalidass, A.; Ulaganathan, D. Utilization of granite sawing waste in self compacting concrete. Gradjevinar 2014, 66, 997–1006. [Google Scholar] [CrossRef]
- Prakash, R.; Thenmozhi, R.; Raman, S.N. Mechanical characterisation and flexural performance of eco-friendly concrete produced with fly ash as cement replacement and coconut shell coarse aggregate. Int. J. Environ. Sustain. Dev. 2019, 18, 131–148. [Google Scholar] [CrossRef]
- Amran, M.; Fediuk, R.; Abdelgader, H.S.; Murali, G.; Ozbakkaloglu, T.; Lee, Y.H.; Lee, Y.Y. Fiber-reinforced alkali-activated concrete: A review. J. Build. Eng. 2022, 45, 103638. [Google Scholar] [CrossRef]
- Al-Nini, A.; Nikbakht, E.; Syamsir, A.; Shafiq, N.; Mohammed, B.S.; Al-Fakih, A.; Al-Nini, W.; Amran, Y.H.M. Flexural behavior of double-skin steel tube beams filled with fiber-reinforced cementitious composite and strengthened with CFRP sheets. Materials 2020, 13, 3064. [Google Scholar] [CrossRef] [PubMed]
- Lesovik, V.; Roman Fediuk, M.A.; Arbi Alaskhanov, A.V.; Gunasekaran Murali, V.U. 3D-Printed Mortars with Combined Steel and Polypropylene Fibers. Fibers 2021, 9, 79. [Google Scholar] [CrossRef]
- Fediuk, R.; Amran, M.; Klyuev, S.; Klyuev, A. Increasing the Performance of a Fiber-Reinforced Concrete for Protective Facilities. Fibers 2021, 9, 64. [Google Scholar] [CrossRef]
- Murali, G.; Prasad, N.; Klyuev, S.; Fediuk, R.; Abid, S.R.; Amran, M.; Vatin, N. Impact resistance of functionally layered two-stage fibrous concrete. Fibers 2021, 9, 88. [Google Scholar] [CrossRef]
- Murali, G.; Abid, S.R.; Amran, M.; Vatin, N.I.; Fediuk, R. Drop Weight Impact Test on Prepacked Aggregate Fibrous Concrete—An Experimental Study. Materials 2022, 15, 3096. [Google Scholar] [CrossRef]
- Loganina, V.; Davydova, O.; Fediuk, R.; Amran, M.; Klyuev, S.; Klyuev, A.; Sabitov, L.; Nabiullina, K. Improving the Durability of Lime Finishing Mortars by Modifying Them with Silicic Acid Sol. Materials 2022, 15, 2360. [Google Scholar] [CrossRef]
- Rashad, A.M. Alkali-activated metakaolin: A short guide for civil Engineer-An overview. Constr. Build. Mater. 2013, 41, 751–765. [Google Scholar] [CrossRef]
- Chunxiang, Q.; Patnaikuni, I. Properties of high-strength steel fiber-reinforced concrete beams in bending. Cem. Concr. Compos. 1999, 21, 73–81. [Google Scholar] [CrossRef]
- Meda, A.; Minelli, F.; Plizzari, G.A. Flexural behaviour of RC beams in fibre reinforced concrete. Compos. Part B Eng. 2012, 43, 2930–2937. [Google Scholar] [CrossRef]
- Wang, H.; Belarbi, A. Ductility characteristics of fiber-reinforced-concrete beams reinforced with FRP rebars. Constr. Build. Mater. 2011, 25, 2391–2401. [Google Scholar] [CrossRef]
- You, Z.; Chen, X.; Dong, S. Ductility and strength of hybrid fiber reinforced self-consolidating concrete beam with low reinforcement ratios. Syst. Eng. Procedia 2011, 1, 28–34. [Google Scholar] [CrossRef] [Green Version]
- IS: 12269-1987; Specification for 53 Grade Ordinary Portland cement. Bureau of Indians Standards: New Delhi, India, 1987.
- Shafigh, P.; Mahmud, H.; Jumaat, M.Z. Effect of steel fiber on the mechanical properties of oil palm shell lightweight concrete. Mater. Des. 2011, 32, 3926–3932. [Google Scholar] [CrossRef]
- Campione, G. Mechanical properties of steel fibre reinforced lightweight concrete with pumice stone or expanded clay aggregates. Mater. Struct. 2005, 34, 201–210. [Google Scholar] [CrossRef]
- Wang, H.T.; Wang, L.C. Experimental study on static and dynamic mechanical properties of steel fiber reinforced lightweight aggregate concrete. Constr. Build. Mater. 2013, 38, 1146–1151. [Google Scholar] [CrossRef]
- Kim, W.; Oh, R.O.; Lee, J.H.; Kim, M.S.; Jeon, S.M.; Park, C.G. Mechanical and durability characteristics of latex-modified fiber-reinforced segment concrete as a function of microsilica content. Adv. Civ. Eng. 2019, 2019, 3658125. [Google Scholar] [CrossRef] [Green Version]
- Branson, D.E.; Metz, G.A. Instantaneous and Time-Dependent Deflections of Simple and Continuous Reinforced Concrete Beams; HPR Report No. 7; Alabama Highway Department: Greenville, AL, USA, 1963; pp. 1–78.
- Teo, D.C.L.; Mannan, M.A.; Kurian, V.J.; Ganapathy, C. Lightweight concrete made from oil palm shell (OPS): Structural bond and durability properties. Build. Environ. 2007, 42, 2614–2621. [Google Scholar] [CrossRef]
- Kim, H.S.; Shin, Y.S. Flexural behavior of reinforced concrete (RC) beams retrofitted with hybrid fiber reinforced polymers (FRPs) under sustaining loads. Compos. Struct. 2011, 93, 802–811. [Google Scholar] [CrossRef]
- Ashour, S.A. Effect of compressive strength and tensile reinforcement ratio on flexural behavior of high-strength concrete beams. Eng. Struct. 2000, 22, 413–423. [Google Scholar] [CrossRef]
- Ye, Y.; Wang, Z.; Xie, F.; Fu, C.; Zhang, Z. Mechanical Properties of Steel Fiber Reinforced High-Strength Lightweight Aggregate Concrete. Jianzhu Cailiao Xuebao/J. Build. Mater. 2021, 24, 63–70. [Google Scholar] [CrossRef]
- Okay, F.; Engin, S. Torsional behavior of steel fiber reinforced concrete beams. Constr. Build. Mater. 2012, 28, 269–275. [Google Scholar] [CrossRef]
- Yap, S.P.; Alengaram, U.J.; Jumaat, M.Z.; Khaw, K.R. Torsional and cracking characteristics of steel fiber-reinforced oil palm shell lightweight concrete. J. Compos. Mater. 2016, 50, 115–128. [Google Scholar] [CrossRef] [Green Version]















| Physical and Mechanical Characteristics | Values |
|---|---|
| Size (mm) | 12.5–4.75 |
| Thickness (mm) | 3–7 |
| Moisture content (%) | 4.4 |
| Moisture absorption (%) | 24 |
| Specific gravity | 1.10 |
| Abrasion value (%) | 1.9 |
| Impact value (%) | 8.0 |
| Crushing value (%) | 2.3 |
| Bulk Density (kg/m3) | 650 |
| Mix ID | Fly Ash (kg/m3) | Cement (kg/m3) | Sand (kg/m3) | CS agg. (kg/m3) | Conv. agg. (kg/m3) | w/b | SP (%) | Steel Fiber (%) |
|---|---|---|---|---|---|---|---|---|
| CS | 51 | 459 | 750 | 332 | 0 | 0.33 | 1.2 | 0 |
| CSF25 | 51 | 459 | 750 | 332 | 0 | 0.33 | 1.2 | 0.25 |
| CSF50 | 51 | 459 | 750 | 332 | 0 | 0.33 | 1.2 | 0.5 |
| CSF75 | 51 | 459 | 750 | 332 | 0 | 0.33 | 1.2 | 0.75 |
| CSF100 | 51 | 459 | 750 | 332 | 0 | 0.33 | 1.2 | 1.0 |
| Beam ID | Experimental Value | Theoretical Value | Capacity Ratio Exp./Theor. | ||
|---|---|---|---|---|---|
| Load (kN) | Moment (kNm) | Load (kN) | Moment (kNm) | ||
| CS | 32.074 | 8.09 | 31.13 | 7.78 | 1.04 |
| CSF25 | 33.532 | 8.47 | 31.36 | 7.84 | 1.08 |
| CSF50 | 34.4 | 8.71 | 31.45 | 7.87 | 1.11 |
| CSF75 | 35.32 | 8.93 | 31.65 | 7.91 | 1.13 |
| CSF100 | 36.42 | 9.26 | 31.72 | 7.93 | 1.17 |
| Beam ID | Midspan Deflection at Service Load (mm) | IS 456:2000 and BS 8110 (Span/250) Upper Limit Permissible Deflection, (mm) | Δ exp/Δ per | Span/Δ exp | Midspan Deflection at Ultimate Load |
|---|---|---|---|---|---|
| CS | 2.7 | 6.0 | 0.45 | 555 | 13.28 |
| CSF25 | 3.2 | 0.53 | 469 | 13.88 | |
| CSF50 | 4.0 | 0.67 | 375 | 14.9 | |
| CSF75 | 4.5 | 0.75 | 333 | 15.67 | |
| CSF100 | 5.4 | 0.9 | 278 | 17.04 |
| Beam ID | Service Stage | Ultimate Stage | Disp. Ductility Ratio μD = ∆u/∆y | ||
|---|---|---|---|---|---|
| Load (kN) | Disp. (∆y) (mm) | Load (kN) | Disp. (∆u) (mm) | ||
| CS | 21.35 | 2.7 | 32.074 | 13.28 | 4.9 |
| CSF25 | 22.17 | 3.2 | 33.532 | 13.88 | 4.3 |
| CSF50 | 22.93 | 4.0 | 34.4 | 14.90 | 3.7 |
| CSF75 | 23.55 | 4.5 | 35.32 | 15.67 | 3.5 |
| CSF100 | 24.31 | 5.4 | 36.42 | 17.04 | 3.2 |
| Beam ID | Flexural Toughness kN·mm | Percentage Variation over Control Specimen |
|---|---|---|
| CS | 328.99 | - |
| CSF25 | 362.70 | 10.25 |
| CSF50 | 394.84 | 20.02 |
| CSF75 | 420.29 | 27.75 |
| CSF100 | 476.13 | 44.72 |
| Material | Properties | Values |
|---|---|---|
| Concrete | Poisson’s ratio | 0.18 |
| Grade of concrete | M35 (based on trial mix) | |
| Modulus of elasticity | according to fiber volume added | |
| Modulus of rupture | The fiber volume added | |
| Shear transfer coefficient for open crack | 0.2 | |
| Shear transfer coefficient for closed crack | 1 | |
| Steel | Poisson’ ratio | 0.3 |
| Grade of steel | Fe 415 | |
| Young’s Modulus | 2.0 × 105 MPa | |
| Yield strength | 415 MPa | |
| Tangent modulus | 41.5 MPa |
| Beam ID | Comp. Strength at 28 Days | Failure Load (kN) | Total Deformation (mm) | ||||
|---|---|---|---|---|---|---|---|
| Expt. | ANSYS | A/E | Expt. | ANSYS | A/E | ||
| CS | 35.6 | 32.07 | 31.02 | 0.967 | 13.28 | 12.14 | 0.914 |
| CSF25 | 40.8 | 33.53 | 34.13 | 1.018 | 13.88 | 14.19 | 1.022 |
| CSF50 | 43.1 | 34.4 | 34.50 | 1.003 | 14.90 | 14.21 | 0.954 |
| CSF75 | 47.8 | 35.32 | 35.25 | 0.998 | 15.67 | 14.39 | 0.918 |
| CSF100 | 49.5 | 36.42 | 36.50 | 1.002 | 17.04 | 16.49 | 0.968 |
Publisher’s Note: MDPI stays neutral with regard to jurisdictional claims in published maps and institutional affiliations. |
© 2022 by the authors. Licensee MDPI, Basel, Switzerland. This article is an open access article distributed under the terms and conditions of the Creative Commons Attribution (CC BY) license (https://creativecommons.org/licenses/by/4.0/).
Share and Cite
Prakash, R.; Divyah, N.; Srividhya, S.; Avudaiappan, S.; Amran, M.; Naidu Raman, S.; Guindos, P.; Vatin, N.I.; Fediuk, R. Effect of Steel Fiber on the Strength and Flexural Characteristics of Coconut Shell Concrete Partially Blended with Fly Ash. Materials 2022, 15, 4272. https://doi.org/10.3390/ma15124272
Prakash R, Divyah N, Srividhya S, Avudaiappan S, Amran M, Naidu Raman S, Guindos P, Vatin NI, Fediuk R. Effect of Steel Fiber on the Strength and Flexural Characteristics of Coconut Shell Concrete Partially Blended with Fly Ash. Materials. 2022; 15(12):4272. https://doi.org/10.3390/ma15124272
Chicago/Turabian StylePrakash, Ramaiah, Nagarajan Divyah, Sundaresan Srividhya, Siva Avudaiappan, Mugahed Amran, Sudharshan Naidu Raman, Pablo Guindos, Nikolai Ivanovich Vatin, and Roman Fediuk. 2022. "Effect of Steel Fiber on the Strength and Flexural Characteristics of Coconut Shell Concrete Partially Blended with Fly Ash" Materials 15, no. 12: 4272. https://doi.org/10.3390/ma15124272
APA StylePrakash, R., Divyah, N., Srividhya, S., Avudaiappan, S., Amran, M., Naidu Raman, S., Guindos, P., Vatin, N. I., & Fediuk, R. (2022). Effect of Steel Fiber on the Strength and Flexural Characteristics of Coconut Shell Concrete Partially Blended with Fly Ash. Materials, 15(12), 4272. https://doi.org/10.3390/ma15124272

