Accelerated Aging Ultraviolet of a PET Nonwoven Geotextile and Thermoanalytical Evaluation
Abstract
:1. Introduction
2. Experimental
2.1. Material Characterization
2.1.1. Physical Properties
2.1.2. Mechanical Properties
2.2. SEM
2.3. Thermoanalytical Methods
3. Results and Discussion
3.1. SEM
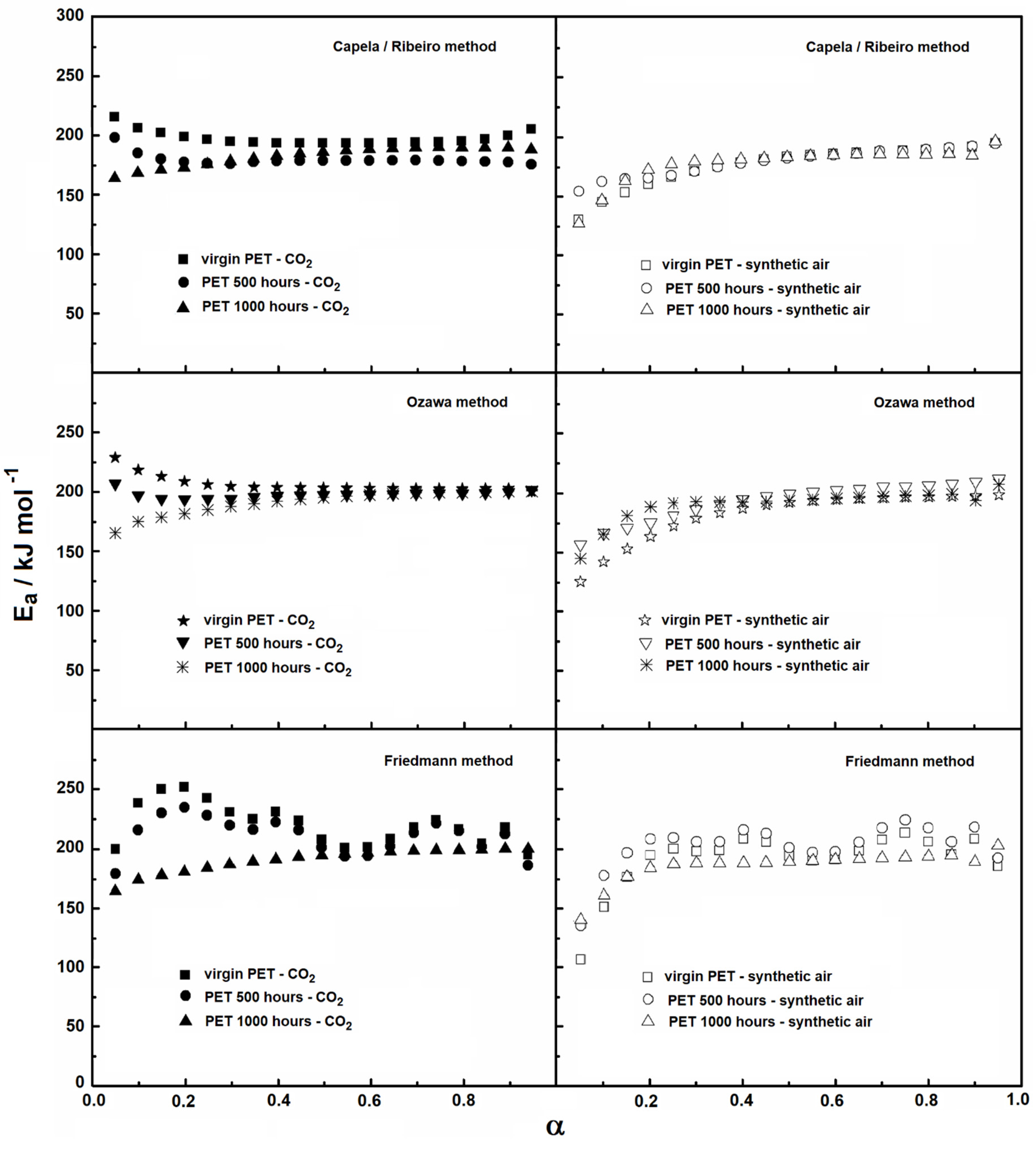
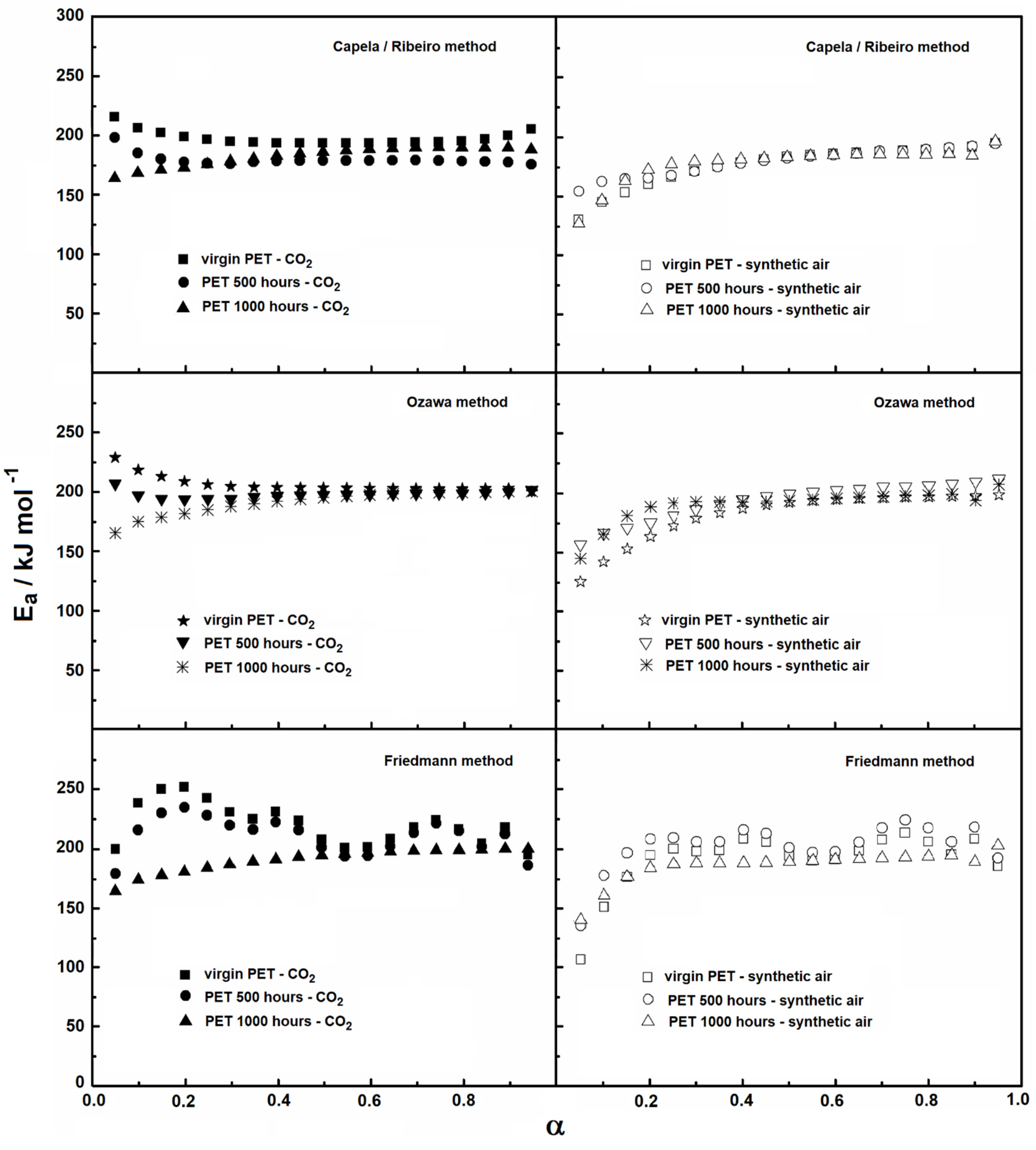
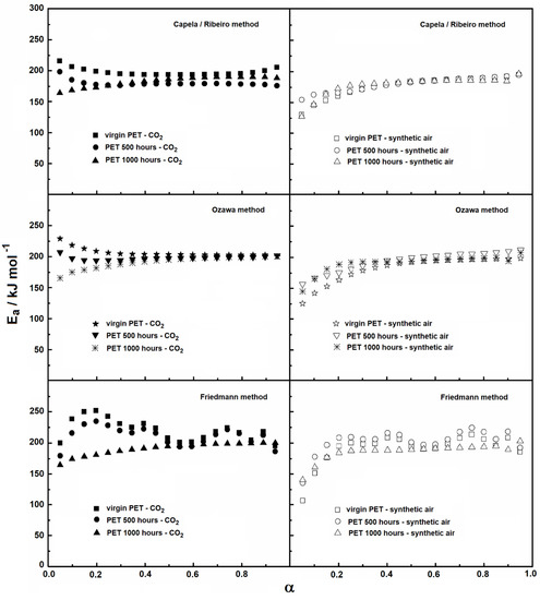
3.2. TG and Kinetic Evaluations
3.3. DSC and TMA
3.4. Physical Evaluations
4. Conclusions
- The TG analysis was not able to capture the effects of UV radiation on the samples of PET nonwoven geotextiles. This observation is attributed to the melting of the sample during heating, as follows: when melted, PET becomes more homogeneous and, consequently, the effects caused by UV deterioration are reduced;
- The same conclusion is valid for the DSC analyses, in which the curves for different samples showed very similar thermal behavior. Therefore, the TG and DSC techniques are not the most appropriate ones for the analysis of the effects of UV radiation on PET nonwoven geotextiles;
- Nevertheless, the TMA evaluation was satisfactory as this technique evaluates the physical behavior of the sample. Indeed, the TMA results showed the differences between the samples (virgin, 500 h, and 1000 h of aging) more precisely than the TG and DSC techniques.
Author Contributions
Funding
Institutional Review Board Statement
Informed Consent Statement
Data Availability Statement
Acknowledgments
Conflicts of Interest
References
- Vertematti, J.C. Manual Brasileiro de Geossintéticos, 1st ed.; Blucher: São Paulo, Brazil, 2004. (In Portuguese) [Google Scholar]
- Koerner, G.R.; Hsuan, G.Y.; Koerner, R.M. Photo-Initiated Degradation of Geotextiles. J Geotech. Geoenvironmental Eng. 1998, 124, 1159–1166. [Google Scholar] [CrossRef]
- Suits, L.D.; Hsuan, Y.G. Assessing the photo-degradation of geosynthetics by outdoor exposure and laboratory weatherometer. Geotext. Geomembr. 2003, 21, 111–122. [Google Scholar] [CrossRef]
- Valentin, C.A.; Kobelnik, M.; Franco, Y.B.; Lavoie, F.L.; Lins da Silva, J.; Luz, M.P. Study of the ultraviolet effect and thermal analysis on polypropylene nonwoven geotextile. Materials 2021, 14, 1080. [Google Scholar] [CrossRef] [PubMed]
- Ardila, M.A.A.; Pedroso, G.O.M.; Kobelnik, M.; Valentin, C.A.; Luz, M.P.; Lins da Silva, J. Evaluating the degradation of a nonwoven polypropylene geotextile exposed to natural weathering for three years. Int. J. Geosynth. Ground Eng. 2021, 7, 1–11. [Google Scholar] [CrossRef]
- CABOT. Carbon Blacks for Protection of Plastics Exposed to Ultraviolet Light; CABOT Technical Report S-114; CABOT: Billerica, MA, USA, 1990. [Google Scholar]
- Allen, S.R. Geotextile Durability. In Geotextiles. From Design to Applications, 1st ed.; Koerner, R.M., Ed.; Elsevier: Amsterdam, The Netherlands, 2016; pp. 177–215. [Google Scholar]
- Carneiro, J.R.; Almeida, P.J.; Lopes, M.d.L. Evaluation of the Resistance of a Polypropylene Geotextile Against Ultraviolet Radiation. Microsc. Microanal. 2019, 25, 196–202. [Google Scholar] [CrossRef] [PubMed]
- Guimarães, M.G.A.; de Mattos Vidal, D.; de Carvalho Urashima, D.; Castro, C.A.C. Degradation of polypropylene woven geotextile: Tensile creep and weathering. Geosynth. Int. 2017, 24, 213–223. [Google Scholar] [CrossRef]
- Carneiro, J.R.; Lopes, M.L. Natural weathering of polypropylene geotextiles treated with different chemical stabilisers. Geosynth. Int. 2017, 24, 544–553. [Google Scholar] [CrossRef]
- Carneiro, J.R.; Almeida, P.J.; Lopes, M.D.L. Accelerated weathering of polypropylene geotextiles. Sci. Eng. Compos. Mater. 2011, 18, 241–245. [Google Scholar] [CrossRef]
- Thomas, R.; Verschoor, K. Thermal Analysis of Nonwoven Polyester Geotextiles. In Geosynthetics: Microstructure and Performance; Peggs, I., Ed.; ASTM International: West Chonshocken, PA, USA, 1990; pp. 4–16. [Google Scholar]
- Ardila, M.A.A.; Santos Junior, R.D.; Kobelnik, M.; Valentin, C.A.; Schliewe, M.S.; Coelho, A.T.; Lins da Silva, J.; Luz, M.P. Semi-Rigid Erosion Control Techniques with Geotextiles Applied to Reservoir Margins in Hydroelectric Power Plants, Brazil. Water 2021, 13, 500. [Google Scholar] [CrossRef]
- Valentin, C.A.; Da Silva, J.L.; Kobelnik, M.; Ribeiro, C.A. Thermoanalytical and dynamic mechanical analysis of commercial geomembranes used for fluid retention of leaching in sanitary landfills. J. Therm. Anal. Calorim. 2019, 136, 471–481. [Google Scholar] [CrossRef] [Green Version]
- Lavoie, F.L.; Kobelnik, M.; Valentin, C.A.; Da Silva, J.L. Durability of HDPE geomembranes: An Overview. Química Nova 2020, 43, 656–667. [Google Scholar] [CrossRef]
- Lavoie, F.; Valentin, C.A.; Kobelnik, M.; Lins da Silva, J.; Lopes, M.L.C. HDPE Geomembranes for environmental protection: Two case studies. Sustainability 2020, 12, 8682. [Google Scholar] [CrossRef]
- Lavoie, F.L.; Kobelnik, M.; Valentin, C.A.; Tirelli, E.F.S.; Lopes, M.L.C.; Lins da Silva, J. Laboratory study of the ultraviolet radiation effect on an HDPE geomembrane. Membranes 2021, 11, 390. [Google Scholar] [CrossRef] [PubMed]
- ASTM D 5261-92; Standard Test Method for Measuring Mass per Unit Area of Geotextiles. ASTM International: West Chonshocken, PA, USA, 2003.
- ASTM D 5199-01; Standard Test Method for Measuring the Nominal Thickness of Geosynthetics. ASTM International: West Chonshocken, PA, USA, 2006.
- ASTM D 5035-06Standard Test Method for Breaking Strength and Elongation of Textile Fabrics (Strip Method), ASTM International: West Chonshocken, PA, USA, 2008.
- Tisinger, L.; Peggs, I.; Dudzik, B.; Winfree, J.; Carraher, C. Microstructural Analysis of a Polypropylene Geotextile After Long-Term Outdoor Exposure. In Geosynthetic Testing for Waste Containment Applications; ASTM International: West Chonshocken, PA, USA, 2009. [Google Scholar]
- De Clerck, K.; Rahier, H.; Van Mele, B.; Kiekens, P. Thermal properties relevant to the processing of PET fibers. J Appl. Polym. Sci. 2003, 89, 3840–3849. [Google Scholar] [CrossRef]
- Brown, M.E. Introduction to Thermal Analysis: Techniques and Applications, 1st ed.; Chapman and Hall: London, UK, 1988. [Google Scholar]
- Wingard, C.D. Use of thermal analysis techniques for examining blow-molded pet bottle specimens. J. Therm. Anal. Calorim. 1997, 49, 385–391. [Google Scholar] [CrossRef]
















| Compound | 10 °C·min−1 | 15 °C·min−1 | 20 °C·min−1 | 30 °C·min−1 |
|---|---|---|---|---|
| Virgin PET (synthetic air) Virgin PET (carbonic gas) | 377–451 °C 395–457 °C | 392–461 °C 401–466 °C | 400–458 °C 406–475 °C | 419–476 °C 413–480 °C |
| PET 500 h (synthetic air) | 385–453 °C | 398–459 °C | 403–467 °C | 411–477 °C |
| PET 500 h (carbonic gas) PET 1000 h (synthetic air) | 395–457 °C 384–453 °C | 398–464 °C 391–462 °C | 404–470 °C 400–469 °C | 411–482 °C 412–477 °C |
| PET 1000 h (synthetic air) | 388–455 °C | 398–463 °C | 415–470 °C | 413–479 °C |
| Compound and Purge Gas | Capela and Ribeiro Method Ea/kJ mol−1 ± r (CV) | Ozawa Method Ea/kJ mol−1 ± r (CV) | Friedman Method Ea/kJ mol−1 ± r (CV) |
|---|---|---|---|
| Virgin PET (synthetic air) | 174.55 ± 0.1 (0.99669) | 177.71 ± 0.11 (0.99632) | 191.24 ± 0.12 (0.9778) |
| Virgin PET (carbonic gas) | 197.55 ± 0.02 (0.99771) | 206.23 ± 0.03 (0.99866) | 220.66 ± 0.07 (0.98491) |
| PET 500 h (synthetic air) | 177.48 ± 0.06 (0.99907) | 188.85 ± 0.08 (0.99426) | 202.47 ± 0.09 (0.98020) |
| PET 500 h (carbonic gas) | 179.42 ± 0.02 (0.99537) | 197.63 ± 0.01 (0.99170) | 211.13 ± 0.07 (0.97288) |
| PET 1000 h (synthetic air) | 175.82 ± 0.09 (0.99618) | 185.99 ± 0.07 (0.98971) | 199.96 ± 0.1 (0.97869) |
| PET 1000 h (carbonic gas) | 182.27 ± 0.04 (0.99963) | 191.27 ± 0.05 (0.99963) | 336.32 ± 0.06 (0.97821) |
| Sample | MPU (g m−2) | Thickness (mm) | Tensile Strength (kN m−1) | Elongation at Maximum Load (%) | Load at a Specific Elongation (kN m−1) | |||
|---|---|---|---|---|---|---|---|---|
| 5% | 10% | 15% | 20% | |||||
| Virgin PET | 421.75 | 3.12 (5.24%) | 14.68 (4.42%) | 74.32 (9.10%) | 1.22 (19.45%) | 1.91 (17.62%) | 2.58 (18.97%) | 3.39 (17.76%) |
| PET 500 h | 421.38 | 2.98 (3.24%) | 12.74 (4.47%) | 72.07 (6.94%) | 1.10 (17.51%) | 1.79 (17.48%) | 2.45 (17.72%) | 3.17 (17.76%) |
| PET 1000 h | 418.63 | 3.20 (4.14%) | 11.96 (6.08%) | 75.12 (4.55%) | 0.98 (12.05%) | 1.70 (13.14%) | 2.35 (13.00%) | 3.02 (13.00%) |
Publisher’s Note: MDPI stays neutral with regard to jurisdictional claims in published maps and institutional affiliations. |
© 2022 by the authors. Licensee MDPI, Basel, Switzerland. This article is an open access article distributed under the terms and conditions of the Creative Commons Attribution (CC BY) license (https://creativecommons.org/licenses/by/4.0/).
Share and Cite
Franco, Y.B.; Valentin, C.A.; Kobelnik, M.; Lins da Silva, J.; Ribeiro, C.A.; da Luz, M.P. Accelerated Aging Ultraviolet of a PET Nonwoven Geotextile and Thermoanalytical Evaluation. Materials 2022, 15, 4157. https://doi.org/10.3390/ma15124157
Franco YB, Valentin CA, Kobelnik M, Lins da Silva J, Ribeiro CA, da Luz MP. Accelerated Aging Ultraviolet of a PET Nonwoven Geotextile and Thermoanalytical Evaluation. Materials. 2022; 15(12):4157. https://doi.org/10.3390/ma15124157
Chicago/Turabian StyleFranco, Yara Barbosa, Clever Aparecido Valentin, Marcelo Kobelnik, Jefferson Lins da Silva, Clovis Augusto Ribeiro, and Marta Pereira da Luz. 2022. "Accelerated Aging Ultraviolet of a PET Nonwoven Geotextile and Thermoanalytical Evaluation" Materials 15, no. 12: 4157. https://doi.org/10.3390/ma15124157
APA StyleFranco, Y. B., Valentin, C. A., Kobelnik, M., Lins da Silva, J., Ribeiro, C. A., & da Luz, M. P. (2022). Accelerated Aging Ultraviolet of a PET Nonwoven Geotextile and Thermoanalytical Evaluation. Materials, 15(12), 4157. https://doi.org/10.3390/ma15124157

