Study of Ce, Ca, Fe, and Mn-Doped LaCoO3 Perovskite Oxide for the Four-Way Purification of PM, NOx, CO, and HC from Diesel Engine Exhaust
Abstract
:1. Introduction
2. Materials and Methods
2.1. Sample Preparation
2.2. Characterization
2.3. Experimental System and Methods
3. Results and Discussion
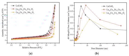
3.1. Results of Characterization on Catalyst Samples Doping at A Site
3.2. Results of Simulation Experiments on Catalyst Samples Doping at A Site
3.3. Results of Characterization on Catalyst Samples Doping at B Site
3.4. Results of Simulation Experiments on Catalyst Samples Doping at B Site
4. Conclusions
- The porous perovskite structures can be observed from prepared perovskite-type catalyst samples. When the A-site and B-site doping amount of LaCoO3 exceeds a certain value, more impurity phases will be produced;
- Macropores of 3 µm to 5 µm are presented in La0.8Ce0.2Fe0.3Co0.7O3 and La0.8Ce0.2Co0.7Mn0.3O3 perovskite-type catalyst samples, and La0.8Ce0.2Fe0.3Co0.7O3 has the largest pore volume of mesopores (mainly concentrated in 50 nm);
- Doping the A site of LaCoO3 perovskite-type oxide can change the valence state of the B site ions to a certain extent, which is conducive to the occurrence of redox reactions;
- On the basis of cerium ions doping the A site of LaCoO3 perovskite-type oxide, the doping of manganese ions at the B site can further improve the purification ability on PM. However, the doping of iron ions at the B site can enhance the purification ability on PM and NOx; and
- La0.8Ce0.2Co0.7Fe0.3O3 shows the best purification ability and the least impurity phase in the samples, the purification efficiency of PM, NOx, HC, and CO are 95%, 92%, 94%, and 100%, respectively.
Author Contributions
Funding
Institutional Review Board Statement
Informed Consent Statement
Data Availability Statement
Acknowledgments
Conflicts of Interest
References
- Fujita, E.M.; Zielinska, B.; Campbell, D.E.; Arnott, W.P.; Sagebiel, J.C.; Mazzoleni, L.; Chow, J.C.; Gabele, P.A.; Crews, W.; Snow, R.; et al. Variations in Speciated Emissions from Spark-Ignition and Compression-Ignition Motor Vehicles in California’s South Coast Air Basin. J. Air Waste Manag. Assoc. 2007, 57, 705–720. [Google Scholar] [CrossRef] [PubMed]
- Wu, J.-Z.; Ge, D.-D.; Zhou, L.-F.; Hou, L.-Y.; Zhou, Y.; Li, Q.-Y. Effects of particulate matter on allergic respiratory diseases. Chronic Dis. Transl. Med. 2018, 4, 95–102. [Google Scholar] [CrossRef] [PubMed]
- Cheng, Y.; Liu, J.; Zhao, Z.; Song, W.; Wei, Y. A new 3DOM Ce-Fe-Ti material for simultaneously catalytic removal of PM and NOx from diesel engines. J. Hazard. Mater. 2018, 342, 317–325. [Google Scholar] [CrossRef] [PubMed]
- Pacultová, K.; Draštíková, V.; Chromčcáková, Ž.; Bílková, K.T.; Kutláková, M.; Kotarba, A.; Obalová, L. On the stability of alkali metal promoters in Co mixed oxides during direct NO catalytic decomposition. Mol. Catal. 2017, 428, 33–40. [Google Scholar] [CrossRef]
- Peña, M.A.; Fierro, J.L.G. Chemical Structures and Performance of Perovskite Oxides. Chem. Rev. 2001, 101, 1981–2018. [Google Scholar] [CrossRef]
- Dhal, G.C.; Mohan, D.; Prasad, R. Preparation and application of effective different catalysts for simultaneous control of diesel soot and NOX emissions: An overview. Catal. Sci. Technol. 2017, 7, 1803–1825. [Google Scholar] [CrossRef]
- Wang, H.; Li, C.; Hu, Y.; Chi, Y.; Song, Y.; Ren, X. Research into Eliminating Particulate from Diesel Engine Exhaust over Zeolite Covered with Catalysts of Perovskite-Type Oxides. In Proceedings of the International Conference on Energy and Environment Technology, Guilin, China, 16–18 October 2009. [Google Scholar]
- Mei, X.; Xiong, J.; Wei, Y.; Zhang, Y.; Zhang, P.; Yu, Q.; Zhao, Z.; Liu, J. High-efficient non-noble metal catalysts of 3D ordered macroporous perovskite-type La2NiB’O6 for soot combustion: Insight into the synergistic effect of binary Ni and B’ sites. Appl. Catal. B Environ. 2020, 275, 119108. [Google Scholar] [CrossRef]
- Abedi, S.; Niaei, A.; Namjou, N.; Salari, D.; Tarjomannejad, A.; Izadkhah, B. Experimental and Modeling Study of CO-Selective Catalytic Reduction of NO Over Perovskite-Type Nanocatalysts. Period. Polytech. Chem. Eng. 2020, 64, 46–53. [Google Scholar] [CrossRef]
- Fang, F.; Zhao, P.; Feng, N.; Wan, H.; Guan, G. Surface engineering on porous perovskite-type La0.6Sr0.4CoO3-δ nanotubes for an enhanced performance in diesel soot elimination. J. Hazard. Mater. 2020, 399, 123014. [Google Scholar] [CrossRef]
- Jiang, Q.; Cao, Y.; Liu, X.; Zhang, H.; Hong, H.; Jin, H. Chemical Looping Combustion over a Lanthanum Nickel Perovskite-Type Oxygen Carrier with Facilitated O2-Transport. Energy Fuels 2020, 34, 8732–8739. [Google Scholar] [CrossRef]
- Magnone, E.; Kim, J.R.; Park, J.H. Effect of synthesis method on oxygen adsorption/desorption properties of La-Sr-Co-FeO perovskite-typeoxide. J. Anal. Calorim. 2014, 117, 1221–1229. [Google Scholar] [CrossRef]
- Tang, L.; Zhao, Z.; Li, K.; Yu, X.; Wei, Y.; Liu, J.; Peng, Y.; Li, Y.Z.; Chen, Y.S. Highly active monolith catalysts of LaKCoO3 perovskite-type complex oxide on alumina-wash coated diesel particulate filter and the catalytic performances for the combustion of soot. Catal. Today 2020, 339, 159–173. [Google Scholar] [CrossRef]
- Zhang, S.; An, K.; Li, S.; Zhang, Z.; Sun, R.; Liu, Y. Bi-active sites of stable and highly dispersed platinum and oxygen vacancy constructed by reducing a loaded perovskite-type oxide for CO oxidation. Appl. Surf. Sci. 2020, 532, 147455. [Google Scholar] [CrossRef]
- Peng, X.; Lin, H.; Shangguan, W.; Huang, Z. A highly efficient and porous catalyst for simultaneous removal of NOx and diesel soot. Catalysis Communications 2007, 8, 157–161. [Google Scholar] [CrossRef]
- De Lim, S.M.; Assaf, J.M. Synthesis and characterization of LaNiO3, LaNi(1−x)FexO3 and LaNi(1−x)CoxO3 perovskite oxides for catalysis application. Mater. Res. Bull. 2002, 5, 329–335. [Google Scholar]
- Yan, X.; Liu, J.; Yang, Y.; Wang, Z.; Zheng, Y. A catalytic reaction scheme for NO reduction by CO over Mn-terminated LaMnO3 perovskite: A DFT study. Fuel Processing Technol. 2021, 216, 106798. [Google Scholar] [CrossRef]
- Ma, Y.; Ma, Y.; Long, G.; Buckley, C.E.; Hu, X.; Dong, D. Electrospun La0.8Ce0.2Fe1−xNixO3 perovskite nanofibrous catalysts for CO oxidation. Appl. Surf. Sci. Adv. 2020, 2, 100030. [Google Scholar] [CrossRef]
- Onrubia-Calvo, J.A.; Pereda-Ayo, B.; De-La-Torre, U.; González-Velasco, J.R. Strontium doping and impregnation onto alumina improve the NOx storage and reduction capacity of LaCoO3 perovskites. Catal. Today 2019, 333, 208–218. [Google Scholar] [CrossRef]
- Natile, M.M.; Ugel, E.; Maccato, C.; Glisenti, A. LaCoO3: Effect of synthesis conditions on properties and reactivity. Appl. Catal. B Environ. 2007, 72, 351–362. [Google Scholar] [CrossRef]
- Zhao, P.; Fang, F.; Feng, N.; Chen, C.; Liu, G.; Chen, L.; Zhu, Z.; Meng, J.; Wan, H.; Guan, G. Self-templating construction of mesopores on three-dimensionally ordered macroporous La0.5Sr0.5MnO3 perovskite with enhanced performance for soot combustion. Catal. Sci. Technol. 2019, 9, 1835–1846. [Google Scholar] [CrossRef]
- Xing, Z.; Kongzhai, L.; Neal, L.M.; Fanxing, L. Perovskites as geo-inspired oxygen storage materials for chemical looping and three-way catalysis—A perspective. ACS Catal. 2018, 8, 8213–8236. [Google Scholar]
- Yu, L.; Zhong, Q.; Deng, Z.; Zhang, S. Enhanced NOx removal performance of amorphous Ce-Ti catalyst by hydrogen pretreatment. J. Mol. Catal. A Chem. 2016, 423, 371–378. [Google Scholar] [CrossRef]
- Kim, J.H.; Kim, M.Y.; Kim, H.G. NO2-Assisted Soot Regeneration Behavior in a Diesel Particulate Filter with Heavy-Duty Diesel Exhaust Gases. Numer. Heat Transf. Part A Appl. 2010, 58, 725–739. [Google Scholar] [CrossRef]
- Danfeng, D.; Yinghui, W.; Xiurong, G. Experiment on the performance of the NTP synergisticwood fiber diesel exhaust purifier. J. Harbin. Eng. Univ. 2019, 40, 419–425. [Google Scholar]
- Qin, X.; Jie, X. Modern Catalytic Chemistry; Science Press: Beijing, China, 2016; pp. 310–312. [Google Scholar]
- Shannon, R.D. Revised effective ionic radii and systematic studies of interatomic distances in halides and chalcogenides. Acta Crystallogr. Sect. A 1976, 32, 751–767. [Google Scholar] [CrossRef]
- Rahemi, N.; Haghighi, M.; Babaluo, A.A.; Jafari, M.F.; Khorram, S. Non-thermal plasma assisted synthesis and physicochemical characterizations of Co and Cu doped Ni/Al2O3 nanocatalysts used for dry reforming of methane. Int. J. Hydrog. Energy 2013, 38, 16048–16061. [Google Scholar] [CrossRef]
- Dhal, G.C.; Dey, S.; Mohan, D.; Prasad, R. Study of Fe, Co, and Mn-based perovskite-type catalysts for the simultaneous control of soot and NOx from diesel engine exhaust. Mater. Discov. 2017, 10, 37–42. [Google Scholar] [CrossRef]
- Li, Z.; Meng, M.; Zha, Y.; Dai, F.; Hu, T.; Xie, Y.; Zhang, J. Highly efficient multifunctional dually-substituted perovskite catalysts La1−xKxCo1−yCuyO3-δ used for soot combustion, NOx storage and simultaneous NOx-soot removal. Appl. Catal. B Environ. 2012, 121, 65–74. [Google Scholar] [CrossRef]
- Dacquin, J.P.; Dujardin, C.; Granger, P. Surface reconstruction of supported Pd on LaCoO3: Consequences on the catalytic properties in the decomposition of N2O. J. Catal. 2008, 253, 37–49. [Google Scholar] [CrossRef]
- Wu, S.; Song, C.; Bin, F.; Lv, G.; Song, J.; Gong, C. La1−xCexMn1−yCoyO3 perovskite oxides: Preparation, physico-chemical properties and catalytic activity for the reduction of diesel soot. Mater. Chem. Phys. 2014, 148, 181–189. [Google Scholar] [CrossRef]
- Zhu, J.; Thomas, A. Perovskite-type mixed oxides as catalytic material for NO removal. Appl. Catal. B Environ. 2009, 92, 225–233. [Google Scholar] [CrossRef]
- Leontiou, A.A.; Ladavos, A.K.; Armatas, G.S.; Trikalitis, P.N.; Pomonis, P.J. Kinetics investigation of NO + CO reaction on La–Sr–Mn–O perovskite-type mixed oxides. Appl. Catal. A Gen. 2004, 263, 227–239. [Google Scholar] [CrossRef]
- Ladavos, A.K.; Pomonis, P.J. Mechanistic aspects of NO + CO reaction on La2−xSrxNiO4-δ (x = 0.00–1.50) perovskite-type oxides. Appl. Catal. A Gen. 1997, 165, 73–85. [Google Scholar] [CrossRef]
- Yao, W.; Wang, R.; Yang, X. LaCo1−xPdxO3 Perovskite-Type Oxides: Synthesis, Characterization and Simultaneous Removal of NOx and Diesel Soot. Catal. Lett. 2009, 130, 613–621. [Google Scholar] [CrossRef]
- Wu, H.; Hu, R.; Zhou, T.; Li, C.; Meng, W.; Yang, J. A novel efficient boron-doped LaFeO3 photocatalyst with large specific surface area for phenol degradation under simulated sunlight. Cryst. Eng. Comm. 2015, 17, 3859–3865. [Google Scholar] [CrossRef]
- Xu, J.; Liu, J.; Zhao, Z.; Xu, C.; Zheng, J.; Duan, A.; Jiang, G. Easy synthesis of three dimensionally ordered macroporous La1−xKxCoO3 catalysts and their high activities for the catalytic combustion of soot. J. Catal. 2011, 282, 1–12. [Google Scholar] [CrossRef]
- Zhao, S.; Wang, L.; Wang, Y.; Li, X. Hierarchically porous LaFeO3 perovskite prepared from the pomelo peel bio-template for catalytic oxidation of NO. J. Phys. Chem. Solids 2018, 116, 43–49. [Google Scholar] [CrossRef]
- Sihaib, Z.; Puleo, F.; Pantaleo, G.; La Parola, V.; Valverde, J.L.; Gil, S.; Liotta, L.F.; Giroir-Fendler, A. The effect of citric acid concentration on the properties of LaMnO3 as a catalyst for hydrocarbon oxidation. Catalysts 2019, 9, 226. [Google Scholar] [CrossRef]
- Cai, Y.; Zhu, X.; Hu, W.; Zheng, C.; Yang, Y.; Chen, M.; Gao, X. Plasma-catalytic decomposition of ethyl acetate over LaMO3 (M = Mn, Fe, and Co) perovskite catalysts. J. Ind. Eng. Chem. 2019, 70, 447–452. [Google Scholar] [CrossRef]
- Royer, S.; Alamdari, H.; Duprez, D.; Kaliaguine, S. Oxygen storage capacity of La1−xA’xBO3 perovskites (with A’ = Sr, Ce; B = Co, Mn)-relation with catalytic activity in the CH4 oxidation reaction. Appl. Catal. B Environ. 2005, 58, 273–288. [Google Scholar] [CrossRef]
- Tarjomannejad, A.; Zonouz, P.R.; Masoumi, M.E.; Niaei, A.; Farzi, A. LaFeO3 perovskites obtained from different methods for NO + CO reaction, modeling and optimization of synthesis process by response surface methodology. J. Inorg. Organomet. Polym. Mater. 2018, 28, 2012–2022. [Google Scholar] [CrossRef]
- Ponce, S.; Peña, M.; Fierro, J.L. Surface properties and catalytic performance in methane combustion of Sr-substituted lanthanum manganites. Appl. Catal. B Environ. 2000, 24, 193–205. [Google Scholar] [CrossRef]
- Chen, J.; Shen, M.; Wang, X.; Wang, J.; Su, Y.; Zhao, Z. Catalytic performance of NO oxidation over LaMeO3 (Me = Mn, Fe, Co) perovskite prepared by the sol-gel method. Catal. Commun. 2013, 37, 105–108. [Google Scholar] [CrossRef]
- Onrubia-Calvo, J.A.; Pereda-Ayo, B.; Cabrejas, I.; De-La-Torre, U.; González-Velasco, J.R. Ba-doped vs. Sr-doped LaCoO3 perovskites as base catalyst in diesel exhaust purification. Mol. Catal. 2020, 488, 110913. [Google Scholar] [CrossRef]


















| Gas Composition | Concentration |
|---|---|
| O2 | 10% |
| C2H4 | 300 ppm |
| CO | 800 ppm |
| NO | 800 ppm |
| N2 | dilution gas |
| Samples | BET Surface Area (m2/g) | Average Pore Diameter (nm) |
|---|---|---|
| LaCoO3 | 8.19 | 26.75 |
| La0.8Ce0.2Fe0.3Co0.7O3 | 6.38 | 34.50 |
| La0.8Ce0.2Co0.7Mn0.3O3 | 3.63 | 39.64 |
| Doping Amount | NOx | PM | HC | CO | |
|---|---|---|---|---|---|
| Purification Data(%) | |||||
| M = Ce; x = 0.2; y = 0 | 85 | 90 | 94 | 100 | |
| M = Ca; x = 0.2; y = 0 | 72 | 90 | 94 | 100 | |
| M = Ce; N = Mn; x = 0.2; and y = 0.3 | 87 | 96 | 94 | 100 | |
| M = Ce; N = Fe; x = 0.2; and y = 0.3 | 92 | 95 | 94 | 100 | |
Publisher’s Note: MDPI stays neutral with regard to jurisdictional claims in published maps and institutional affiliations. |
© 2022 by the authors. Licensee MDPI, Basel, Switzerland. This article is an open access article distributed under the terms and conditions of the Creative Commons Attribution (CC BY) license (https://creativecommons.org/licenses/by/4.0/).
Share and Cite
Wang, Y.; Guo, X.; Du, D.; Yang, S. Study of Ce, Ca, Fe, and Mn-Doped LaCoO3 Perovskite Oxide for the Four-Way Purification of PM, NOx, CO, and HC from Diesel Engine Exhaust. Materials 2022, 15, 4149. https://doi.org/10.3390/ma15124149
Wang Y, Guo X, Du D, Yang S. Study of Ce, Ca, Fe, and Mn-Doped LaCoO3 Perovskite Oxide for the Four-Way Purification of PM, NOx, CO, and HC from Diesel Engine Exhaust. Materials. 2022; 15(12):4149. https://doi.org/10.3390/ma15124149
Chicago/Turabian StyleWang, Yinghui, Xiurong Guo, Danfeng Du, and Shaochi Yang. 2022. "Study of Ce, Ca, Fe, and Mn-Doped LaCoO3 Perovskite Oxide for the Four-Way Purification of PM, NOx, CO, and HC from Diesel Engine Exhaust" Materials 15, no. 12: 4149. https://doi.org/10.3390/ma15124149
APA StyleWang, Y., Guo, X., Du, D., & Yang, S. (2022). Study of Ce, Ca, Fe, and Mn-Doped LaCoO3 Perovskite Oxide for the Four-Way Purification of PM, NOx, CO, and HC from Diesel Engine Exhaust. Materials, 15(12), 4149. https://doi.org/10.3390/ma15124149
