Effect of Sr Deficiency on Electrical Conductivity of Yb-Doped Strontium Zirconate
Abstract
:1. Introduction
2. Materials and Methods
3. Results
3.1. Microstructure, Phase and Chemical Composition of SrxZr0.95Yb0.05O3-δ Samples
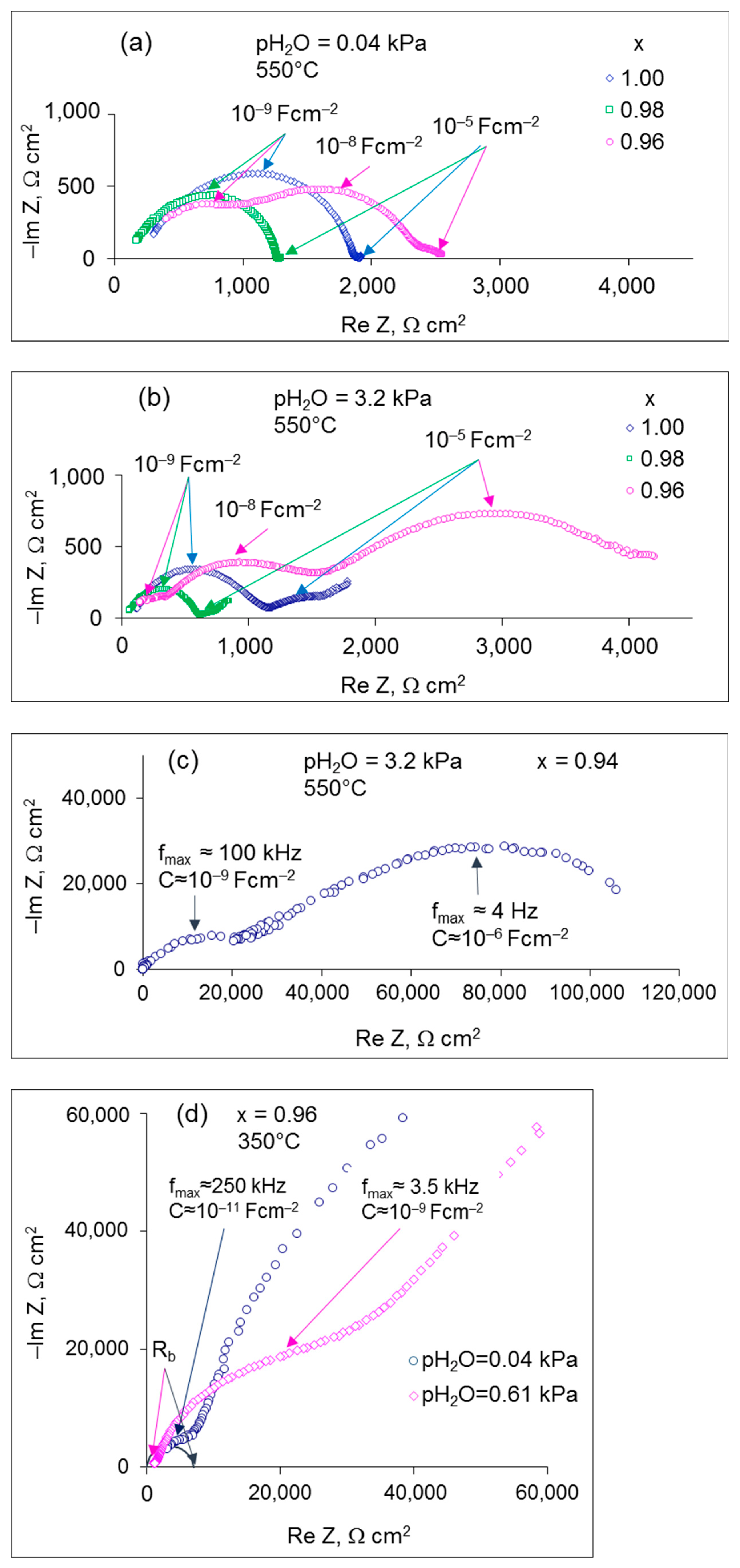
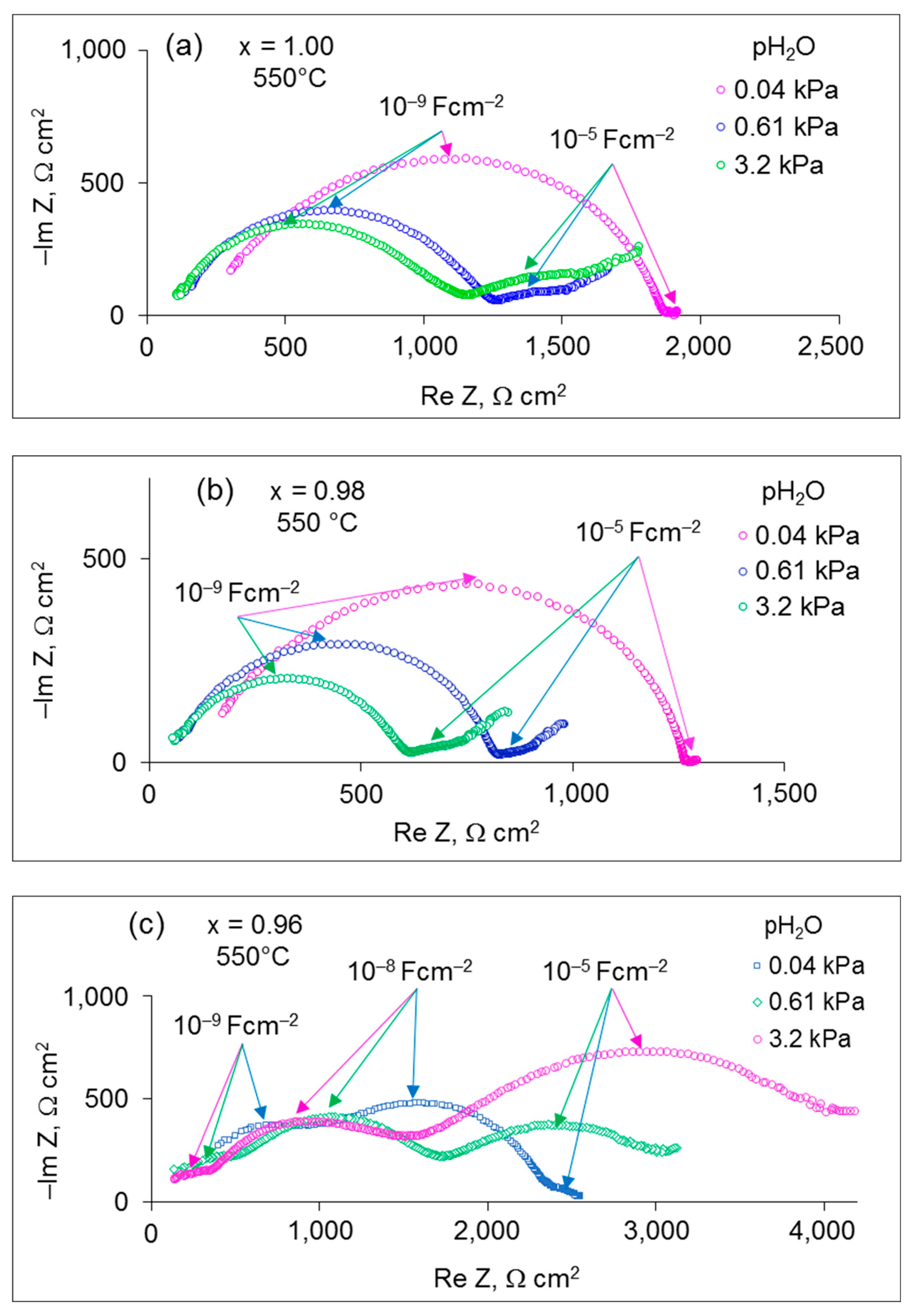
3.2. Electrical Conductivity of SrxZr0.95Yb0.05O3-δ
4. Conclusions
Supplementary Materials
Author Contributions
Funding
Institutional Review Board Statement
Informed Consent Statement
Data Availability Statement
Acknowledgments
Conflicts of Interest
References
- Duan, C.; Huang, J.; Sullivan, N.; O’Hayre, R. Proton-conducting oxides for energy conversion and storage. Appl. Phys. Rev. 2020, 7, 011314. [Google Scholar] [CrossRef]
- Loureiro, F.J.A.; Perez-Coll, D.; Graça, V.C.D.; Mikhalev, S.M.; Ribeiro, A.F.G.; Mendes, A.; Fagg, D.P. Proton conductivity in yttrium-doped barium cerate under nominally dry reducing conditions for application in chemical synthesis. J. Mater. Chem. A 2019, 7, 18135–18142. [Google Scholar] [CrossRef]
- Han, D.; Liu, X.; Bjørheim, T.S.; Uda, T. Yttrium-Doped Barium Zirconate-Cerate Solid Solution as Proton Conducting Electrolyte: Why Higher Cerium Concentration Leads to Better Performance for Fuel Cells and Electrolysis Cells. Adv. Energy Mater. 2021, 11, 2003149. [Google Scholar] [CrossRef]
- Iwahara, H.; Yajima, T.; Hibino, T.; Ozaki, K.; Suzuki, H. Protonic conduction in calcium, strontium and barium zirconates. Solid State Ion. 1993, 61, 65–69. [Google Scholar] [CrossRef]
- Yajima, T.; Suzuki, H.; Yogo, T.; Iwahara, H. Protonic conduction in SrZrO3-based oxides. Solid State Ion. 1992, 51, 101–107. [Google Scholar] [CrossRef]
- Higuchi, T.; Tsukamoto, T.; Sata, N.; Hiramoto, K.; Ishigame, M.; Shin, S. Protonic conduction in the single crystals of SrZr0.95M0.05O3 (M = Y, Sc, Yb, Er). Jpn. J. Appl. Phys. 2001, 40, 4162–4163. [Google Scholar] [CrossRef]
- Zhang, W.; Hang, H.Y. Progress in proton-conducting oxides as electrolytes for low-temperature solid oxide fuel cells: From materials to devices. Energy Sci. Eng. 2021, 9, 984–1011. [Google Scholar] [CrossRef]
- Zając, W.; Rusinek, D.; Zheng, K.; Molenda, J. Applicability of Gd-doped BaZrO3, SrZrO3, BaCeO3 and SrCeO3 proton conducting perovskites as electrolytes for solid oxide fuel cells. Cent. Eur. J. Chem. 2013, 11, 471–484. [Google Scholar] [CrossRef]
- Holz, L.I.V.; Graça, V.C.D.; Loureiro, F.J.A.; Fagg, D.P. Analytical Chemistry—Advancement, Perspectives and Applications; Srivastava, A.N., Ed.; IntechOpen Limited: London, UK, 2020; Volume 3, p. 248. [Google Scholar] [CrossRef]
- Jhuang, J.-W.; Lee, K.-R.; Chang, J.-K.; Shen, C.-T.; Lee, Y.-H.; Lee, S.-W.; Tseng, C.-J. Chemical stability and electrical and mechanical properties of BaZrxCe0.8–xY0.2O3 with CeO2 protection method. Int. J. Hydrogen Energy 2017, 42, 22259–22265. [Google Scholar] [CrossRef]
- Li, S.; Irvine, J.T.S. Non-stoichiometry, structure and properties of proton-conducting perovskite oxides. Solid State Ion. 2021, 361, 115571. [Google Scholar] [CrossRef]
- Krug, F.; Schober, T. The high-temperature proton conductor strontium zirconate: Thermogravimetry of water uptake. J. Am. Ceram. Soc. 1997, 80, 794–796. [Google Scholar] [CrossRef]
- Yamazaki, Y.; Babilo, P.; Haile, S.M. Defect Chemistry of Yttrium-Doped Barium Zirconate: A Thermodynamic Analysis of Water Uptake. Chem. Mater. 2008, 20, 6352–6357. [Google Scholar] [CrossRef]
- Hossain, M.K.; Tamura, H.; Hashizume, K. Visualization of hydrogen isotope distribution in yttrium and cobalt doped barium zirconates. J. Nucl. Mater. 2020, 538, 152207. [Google Scholar] [CrossRef]
- Hossain, M.K.; Hashizume, K.; Hatano, Y. Evaluation of the hydrogen solubility and diffusivity in proton-conducting oxides by converting the PSL values of a tritium imaging plate. Nucl. Mater. Energy 2020, 25, 100875. [Google Scholar] [CrossRef]
- Mukundan, R.; Brosha, E.L.; Birdsell, S.A.; Costello, A.L.; Garzon, F.H.; Willms, R.S. Tritium Conductivity and Isotope Effect in Proton-Conducting Perovskites. J. Electrochem. Soc. 1999, 146, 2184–2187. [Google Scholar] [CrossRef]
- Yamazaki, Y.; Hernandez-Sanchez, R.; Haile, S.M. Cation non-stoichiometry in yttrium-doped barium zirconate: Phase behavior, microstructure, and proton conductivity. J. Mater. Chem. 2010, 20, 8158–8166. [Google Scholar] [CrossRef] [Green Version]
- Weston, L.; Janotti, A.; Cui, X.Y.; Stampfl, C.; Van de Walle, C.G. Acceptor doping in the proton conductor SrZrO3. Phys. Chem. Chem. Phys. 2017, 19, 11485–11491. [Google Scholar] [CrossRef]
- Dunyushkina, L.A.; Khaliullina, A.S.; Meshcherskikh, A.N.; Pankratov, A.A.; Osinkin, D.A. Effect of A-site nonstoichiometry on defect chemistry and electrical conductivity of undoped and Y-doped SrZrO3. Materials 2019, 12, 1258. [Google Scholar] [CrossRef] [Green Version]
- Sharova, N.V.; Gorelov, V.P. Effect of Cation Nonstoichiometry on the Properties of Solid Electrolyte BaxCe0.97Nd0.03O3–d (0.90 ≤ x ≤ 1.10). Russ. J. Electrochem. 2004, 40, 639–645. [Google Scholar] [CrossRef]
- Yang, W.; Zhou, H.; Wang, L.; Li, Y.; He, Z.; Han, C.; Dai, L. The influence of Ba-site non-stoichiometry on the phase composition, sinterability, conductivity and chemical stability of BaxZr0.6Hf0.2Y0.2O3-d (0.9≤x≤1.03) proton conductors. Int. J. Hydrogen Energy 2021, 46, 10838–10849. [Google Scholar] [CrossRef]
- Bootharajan, M.; Rao, J.S.B.; Kumar, R.; Jayaraman, V. Behavior of Ytterbium in Calcium and Strontium Zirconate Matrices. ECS J. Solid State Sci. Technol. 2017, 6, N10–N16. [Google Scholar] [CrossRef]
- Shkerin, S.N.; Rudakova, A.V.; Bulanin, K.M.; Khaliullina, A.S.; Meshcherskikh, A.N.; Vovkotrub, E.G.; Dunyushkina, L.A. Raman spectroscopy of SrZrO3 based proton conducting electrolyte: Effect of Y-doping and Sr-nonstoichiometry. Int. J. Hydrogen Energy 2021, 46, 17007–17018. [Google Scholar] [CrossRef]
- Taherparvar, H.; Kilner, J.A.; Baker, R.T.; Sahibzada, M. Effect of Humidification at Anode and Cathode in Proton-Conducting SOFCs. Solid State Ion. 2003, 162–163, 297–303. [Google Scholar] [CrossRef]






| Ea, Tot, kJ mol−1 (300–800 °C) | Ea, Bulk, kJ mol−1 (300–600 °C) | ||||
|---|---|---|---|---|---|
| pH2O, kPa | x = 0.96–1.00 | x = 0.94 | x = 1.00 | x = 0.98 | x = 0.96 |
| 0.04 | 112 ± 5 | 145 ± 8 | 60 ± 2 | 58 ± 2 | 58 ± 2 |
| 0.61 | 98 ± 5 | 49 ± 2 | 43 ± 2 | 39 ± 2 | |
| 3.2 | 95 ± 5 | 45 ± 2 | 39 ± 2 | 32 ± 2 | |
Publisher’s Note: MDPI stays neutral with regard to jurisdictional claims in published maps and institutional affiliations. |
© 2022 by the authors. Licensee MDPI, Basel, Switzerland. This article is an open access article distributed under the terms and conditions of the Creative Commons Attribution (CC BY) license (https://creativecommons.org/licenses/by/4.0/).
Share and Cite
Khaliullina, A.; Meshcherskikh, A.; Pankratov, A.; Dunyushkina, L. Effect of Sr Deficiency on Electrical Conductivity of Yb-Doped Strontium Zirconate. Materials 2022, 15, 4126. https://doi.org/10.3390/ma15124126
Khaliullina A, Meshcherskikh A, Pankratov A, Dunyushkina L. Effect of Sr Deficiency on Electrical Conductivity of Yb-Doped Strontium Zirconate. Materials. 2022; 15(12):4126. https://doi.org/10.3390/ma15124126
Chicago/Turabian StyleKhaliullina, Adelya, Anastasia Meshcherskikh, Aleksander Pankratov, and Liliya Dunyushkina. 2022. "Effect of Sr Deficiency on Electrical Conductivity of Yb-Doped Strontium Zirconate" Materials 15, no. 12: 4126. https://doi.org/10.3390/ma15124126
APA StyleKhaliullina, A., Meshcherskikh, A., Pankratov, A., & Dunyushkina, L. (2022). Effect of Sr Deficiency on Electrical Conductivity of Yb-Doped Strontium Zirconate. Materials, 15(12), 4126. https://doi.org/10.3390/ma15124126

