Numerical and Physical Study on New Simple Design of Subflux Flow Controller for One-Strand Tundish
Abstract
1. Introduction
2. Tundish and Flow Control Devices
3. Methodology
4. Results and Discussion
4.1. Physical Trials—Water Model
4.2. Numerical Simulation
4.2.1. Liquid Steel Behavior in the Considered Tundish Equipment
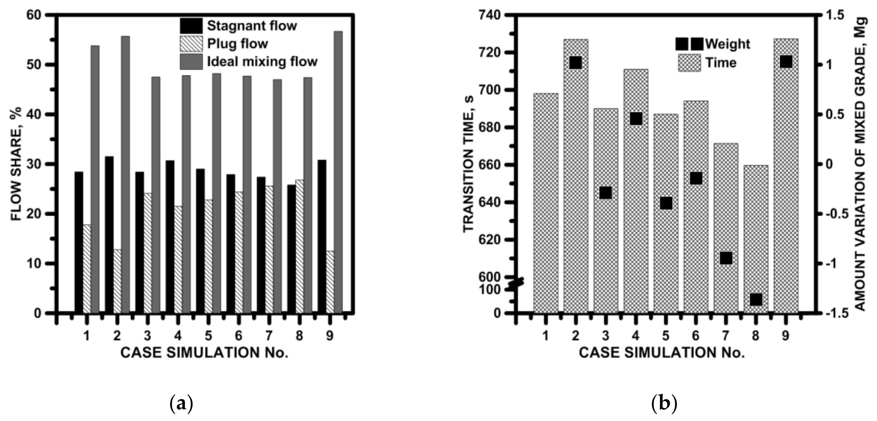
4.2.2. Hydrodynamic Conditions in the Considered Tundish
4.2.3. Influence of Internal Working Space of STC
4.2.4. Influence of Liquid Steel Pouring Initial Temperature
4.2.5. Influence of Casting Speed
4.2.6. Non-Metallic Inclusions Behavior and Tundish Lining Wear
5. Conclusions
Funding
Institutional Review Board Statement
Informed Consent Statement
Data Availability Statement
Acknowledgments
Conflicts of Interest
References
- Wang, X.; Tang, F.; Yao, W.; Lin, Y. Novel Concept of Fine Inclusion Removal Using Carbonate Powder Injection through the Ladle Shroud. Ironmak. Steelmak. 2019, 46, 906–910. [Google Scholar] [CrossRef]
- Neumann, S.; Asad, A.; Schwarze, R. Numerical Simulation of an Industrial-Scale Prototypical Steel Melt Tundish Considering Flow Control and Cleaning Strategies. Adv. Eng. Mater. 2020, 22, 1900658. [Google Scholar] [CrossRef]
- Chang, S.; Zou, Z.; Li, B.; Isac, M.; Guthrie, R.I.L. Modeling Inclusion Removal when Using Micro-bubble Swarm in a Full-Scale Tundish with an Impact Pad. Metall. Mater. Trans. B 2022, 53, 526–536. [Google Scholar] [CrossRef]
- Arcos-Gutierrez, H.; Barreto, J.d.J.; Garcia-Hernandez, S.; Ramos-Banderas, A. Mathematical Analysis of Inclusion Removal from Liquid steel by Gas Bubbling in a Casting Tundish. J. Appl. Math. 2012, 2012, 534275. [Google Scholar] [CrossRef]
- Takahashi, K.; Ando, M.; Ishii, T. Numerical Investigation of Unsteady Molten Steel Flow and Inclusion Behavior in the Tundish in the Ladle Change Period. ISIJ Int. 2014, 54, 304–310. [Google Scholar] [CrossRef]
- Chen, C.; Ni, P.; Jonsson, L.T.I.; Tilliander, A.; Cheng, G.; Jönsson, P.G. A Model Study of Inclusions Deposition, Macroscopic Transport, and Dynamic Removal at Steel-Slag Interface for Different Tundish Designs. Metall. Mater. Trans. B 2016, 47, 1916–1932. [Google Scholar] [CrossRef]
- Huang, W.; Chang, S.; Zou, Z.; Shao, L.; Qu, Y.; Li, B. Modeling of Flow Behaviors in a Swirling Flow Tundish for the Deep Cleaning of Molten Steel. Steel Res. Int. 2021, 92, 2100012. [Google Scholar] [CrossRef]
- Zhang, H.; Liu, C.; Fang, Q.; Wang, Y.; Ni, H.; Liu, C. Effect of Emptying Time on Multiphase and Mixing Behaviours during Grade Change of a Five-strand Bloom Tundish. Ironmak. Steelmak. 2020, 47, 1029–1040. [Google Scholar] [CrossRef]
- Zhang, H.; Fang, Q.; Luo, R.; Liu, C.; Wang, Y.; Ni, H. Effect of Ladle Changeover Condition on Transient Three-Phase Flow in a Five-Strand Bloom Casting Tundish. Metall. Mater. Trans. B 2019, 50, 1461–1475. [Google Scholar] [CrossRef]
- Chattopadhyay, K.; Isac, M.; Guthrie, R.I.L. Physical and Mathematical Modelling of Inert Gas Shrouding in a Tundish. ISIJ Int. 2011, 51, 573–580. [Google Scholar] [CrossRef]
- Morales, R.D.; Garcia-Hernadez, S.; Barreto, J.d.J.; Ceballos-Huerta, A.; Calderon-Ramos, I.; Gutierrez, E. Miltiphase Flow Modeling of Slag Entrainment During Ladle Change-Over Operation. Metall. Mater. Trans. B 2016, 47, 2595–2606. [Google Scholar] [CrossRef]
- Merder, T.; Pieprzyca, J.; Saternus, M.; Tkadlečková, M. The Interaction of the Argon Curtain at the Interface: Metal-Slag in a Tundish. Metalurgija 2022, 61, 585–588. [Google Scholar]
- Alves, P.C.; Pereira, J.A.M.; da Rocha, V.C.; Bielefeldt, W.V.; Vilela, A.C.F. Laboratorial Analysis of Inclusions Formed by Reoxidation in Tundish Steelmaking. Steel Res. Int. 2018, 89, 1800248. [Google Scholar] [CrossRef]
- Ling, H.; Zhang, L.; Li, H. Mathematical Modeling on the Growth and Removal of Non-metallic Inclusions in the Molten steel in a Two-Strand Continuous Casting Tundish. Metall. Mater. Trans. B 2016, 47, 2991–3012. [Google Scholar] [CrossRef]
- Kim, T.S.; Chung, Y.; Holappa, L.; Park, J.H. Effect of Rice Husk Ash Insulation Powder on the Reoxidation Behavior of Molten Steel in Continuous Casting Tundish. Metall. Mater. Trans. B 2017, 48, 1736–1747. [Google Scholar] [CrossRef]
- Ramos, S.V.; Cisquini, P.; Oliveira, J.R.; Silva, A.L.; Bagatini, M.C. Description of a New Compartment Model for the Prediction of Inclusions Modification in Tundish. Metall. Mater. Trans. B 2021, 52, 3564–3570. [Google Scholar] [CrossRef]
- Holappa, L.; Kekkonen, M.; Louhenkilpi, S.; Hagemann, R.; Schröder, C.; Scheller, P. Active Tundish Slag. Steel Res. Int. 2013, 84, 638–648. [Google Scholar] [CrossRef]
- Kimura, H.; Mori, M.; Miura, R.; Sugawara, K.; Uehara, A.; Tanaka, H.; Shirai, T. Innovative Technologies in Continuous Casting Tundish. Nip. Steel Tech. Rep. 1994, 61, 22–28. [Google Scholar]
- Cwudziński, A. Numerical, Physical, and Industrial Studies of Liquid Steel Chemical Homogenization in One Strand Tundish with Subflux Turbulence Controller. Steel Res. Int. 2015, 86, 972–983. [Google Scholar] [CrossRef]
- Cwudziński, A. Pulse-Step Method for Liquid Steel Alloying in One Strand Slab Tundish. Ironmak. Steelmak. 2015, 42, 373–381. [Google Scholar] [CrossRef]
- Wang, Q.; Tan, C.; Huang, A.; Yan, W.; Gu, H.; He, Z.; Li, G. Quantitative Characterization of Flow-Induced Erosion of Tundish Refractory Lining via Water Model Experiment and Numerical Simulation. Metall. Mater. Trans. B 2021, 52, 3265–3275. [Google Scholar] [CrossRef]
- Wang, Q.; Tan, C.; Huang, A.; Yan, W.; Gu, H.; He, Z.; Li, G. Numerical Simulation on Refractory Wear and Inclusion Formation in Continuous Casting Tundish. Metall. Mater. Trans. B 2021, 52, 1344–1356. [Google Scholar] [CrossRef]
- Siddiqui, M.I.H.; Jha, P.K. Numerical Simulation of Flow-Induced Wall Shear Stresses in Three Different Shapes of Multi-Strand Steelmaking Tundishes. Steel Res. Int. 2015, 86, 799–807. [Google Scholar] [CrossRef]
- Singh, V.; Pal, A.R.; Panigrahi, P. Numerical Simulation of Flow-induced Wall Shear Stress to Study a Curved Shape Billet Caster Tundish Design. ISIJ Int. 2008, 48, 430–437. [Google Scholar] [CrossRef][Green Version]
- Ni, P.; Jonsson, L.T.I.; Ersson, M.; Jönsson, P.G. Application of a Swirling Flow Producer in a Conventional Tundish during Continuous Casting of Steel. ISIJ Int. 2017, 57, 2175–2184. [Google Scholar] [CrossRef]
- Chatterjee, S.; Chattopadhyay, K. Transient Steel Quality under Non-isothermal Conditions in a Multi-strand Billet Caster Tundish: Part I. Analysis of Fluid Flow, Thermal Behaviour and Inclusion Behaviour. Ironmak. Steelmak. 2017, 44, 403–412. [Google Scholar] [CrossRef]
- Chatterjee, S.; Chattopadhyay, K. Transient Steel Quality under Non-isothermal Conditions in a Multi-strand Billet Caster Tundish: Part II. Effect of a Flow-control Device. Ironmak. Steelmak. 2017, 44, 413–420. [Google Scholar] [CrossRef]
- Merder, T. The Influence of the Shape of Turbulence Inhibitors on the Hydrodynamic Conditions Occurring in a Tundish. Archiv. Metall. Mater. 2013, 58, 1111–1117. [Google Scholar] [CrossRef]
- Neves, L.; Tavares, R.P. Analysis of the Mathematical model of the Gas Bubbling Curtain Injection on the Bottom and the Walls of a Continuous Casting Tundish. Ironmak. Steelmak. 2017, 44, 559–567. [Google Scholar] [CrossRef]
- Odenthal, H.J.; Bölling, R.; Pfeifer, H. Numerical and Physical Simulation of Tundish Fluid Flow Phenomena. Steel Res. Int. 2003, 74, 44–55. [Google Scholar] [CrossRef]
- Tsukaguchi, Y.; Fujita, K.; Murakami, H.; Guthrie, R.I.L. Physical Modeling for the Precise Representation of Flow Phenomena Based on Simultaneous Similitude of Multiple Dimensionless Numbers. Metall. Mater. Trans. B 2021, 52, 2726–2736. [Google Scholar] [CrossRef]
- Siddiqui, M.I.H.; Jha, P.K. Assessment of Turbulence Models for Prediction of Intermixed Amount with Free Surface Variation Using Coupled Level-Set Volume of Fluid Method. ISIJ Int. 2014, 54, 2578–2587. [Google Scholar] [CrossRef]
- Chen, C.; Jonsson, L.T.I.; Tilliander, A.; Cheng, G.; Jönsson, P.G.A. Mathematical Modeling Study of Tracer Mixing in a Continuous Casting Tundish. Metall. Mater. Trans. B 2015, 46, 169–190. [Google Scholar] [CrossRef]
- Zapeda-Diaz, A.; Garcia-Hernandez, S.; de Jesús Barreto, J.; Gutierrez, E. Mathematical Modelling of the Effects of Transient Phenomena on Steel Cleanness during Tundish Transfer Practise. ISIJ Int. 2019, 59, 51–59. [Google Scholar] [CrossRef]
- Zhang, J.; Li, J.; Yan, Y.; Chen, Z.; Yang, S.; Zhao, J.; Jiang, Z. A Comparative Study of Fluid Flow and Mass Transfer in a Trumpet-Shaped Ladle Shroud Using Large Eddy Simulation. Metall. Mater. Trans. B 2016, 47, 495–507. [Google Scholar] [CrossRef]
- Yue, Q.; Zhang, C.B.; Pei, X.H. Magneto-hydrodynamic Flows and Heat Transfer in a Twin-Channel Induction Heating Tundish. Ironmak. Steelmak. 2017, 44, 227–236. [Google Scholar] [CrossRef]
- Tripathi, A. Numercial Investigation of Electro-magnetic Flow Control Phenomena in a Tundish. ISIJ Int. 2012, 52, 447–456. [Google Scholar] [CrossRef]
- Bartosiewicz, M.; Cwudziński, A. Influence of Modern Ladle Shroud on Hydrodynamic structure in One Strand Slab Tundish. Archiv. Metall. Mater. 2020, 65, 27–37. [Google Scholar]
- Zhang, J.; Yang, S.; Li, J.; Tang, H.; Jiang, Z. The Effect of a Dissipative Ladle Shroud on Mixing in Tundish: Mathematical and Experimental Modelling. High. Temp. Mater. Proc. 2018, 37, 25–32. [Google Scholar] [CrossRef]
- Cwudziński, A. Numerical Simulation of Liquid Steel Flow in Wedge-type One-strand Slab Tundish with a Subflux Turbulence Controller and an Argon Injection System. Steel Res. Int. 2010, 81, 123–131. [Google Scholar] [CrossRef]
- The Patent Office of the Republic of Poland. Subflux Flow Controller Patent Application No. P440127, 14 January 2022.
- Cwudziński, A. Numerical and Physical Modeling of Liquid Steel Active Flow in Tundish with Subflux Turbulence Controller and Dam. Steel Res. Int. 2014, 85, 902–917. [Google Scholar] [CrossRef]
- Cwudziński, A. Numerical and Physical Description of Hydrodynamic Conditions in One Strand Slab Tundish. Metall. Res. Techn. 2014, 111, 45–55. [Google Scholar] [CrossRef]
- Cwudziński, A. Numerical Simulations and Industrial Experiments of Liquid Steel Alloying Process in One Strand Slab Tundish. Ironmak. Steelmak. 2015, 42, 132–138. [Google Scholar] [CrossRef]
- Chen, W.; Ren, Y.; Zhang, L. Large Eddy Simulation on the Two-Phase Flow in a Water Model of Continuous Casting Strand with Gas Injection. Steel Res. Int. 2019, 90, 1800287. [Google Scholar] [CrossRef]
- Liu, W.; Lee, J.; Guo, X.; Silaen, A.K.; Zhou, C.Q. Argon Bubble Coalescence and Breakup in a Steel Ladle with Bottom Plugs. Steel Res. Int. 2019, 90, 1800396. [Google Scholar] [CrossRef]
- Liu, Y.; Ersson, M.; Liu, H.; Jönsson, P.G.A.; Gan, Y. Comparison of Euler-Euler Approach and Euler–Lagrange Approach to Model Gas Injection in a Ladle. Steel Res. Int. 2019, 90, 1800494. [Google Scholar] [CrossRef]
- Jowsa, J.; Cwudziński, A. Thermodynamics Analysis of Non-Metallic Inclusions Formation in the Liquid Steel Flow Through Continuous Casting Tundish. Archiv. Metall. Mater. 2012, 57, 277–282. [Google Scholar] [CrossRef]
- Sahai, Y.; Emi, T. Melt Flow Characterization in Continuous Casting Tundishes. ISIJ Int. 1996, 36, 667–672. [Google Scholar] [CrossRef]
- Sahai, Y.; Ahuja, T. Fluid Flow and Mixing of Melt in Steelmaking Tundishes. Ironmak. Steelmak. 1986, 13, 241–247. [Google Scholar]
- Cha, P.R.; Yoon, J.K. The Effect of a Uniform Direct Current Magnetic Field on the Stability of a Stratified Liquid Flux/Molten steel System. Metall. Mater. Trans. B 2000, 31, 317–326. [Google Scholar] [CrossRef]
- Hagemann, R.; Schwarze, R.; Heller, H.P.; Scheller, P.R. Model Investigations on the Stability of the Steel-Slag Interface in Continuous-Casting Process. Metall. Mater. Trans. B 2013, 44, 80–90. [Google Scholar] [CrossRef]
- Jowsa, J.; Bielnicki, M.; Cwudziński, A. Physical and Numerical Investigations of Mould Flux Entrainment into Liquid Steel. Archiv. Metall. Mater. 2016, 61, 2043–2050. [Google Scholar] [CrossRef]
- Chakraborty, S.; Hirose, T.; Jones, B.; Dukelow, D.A. Transition Reduction and Simultaneous Maintenance of Steel Quality in Granite City Tundish. In Continuous Casting Tundish Operations; Iron and Steel Society: Warrendale, PA, USA, 2003; Volume 10, pp. 41–46. [Google Scholar]
- Vargas-Zamora, A.; Morales, R.D.; Diaz-Cruz, M.; Palafox-Ramos, J.; Demedices, L.G. Heat and Mass Transfer of a Convective-Stratified Flow in a Trough Type Tundish. Int. J. Heat Mass Trans. 2003, 46, 3029–3039. [Google Scholar] [CrossRef]
- Damle, C.; Sahai, Y. A Criterion for Water Modeling of Non-isothermal Melt Flows in Continuous Casting Tundishes. ISIJ Int. 1996, 36, 681–689. [Google Scholar] [CrossRef]
- Joo, S.; Han, J.; Guhrie, R.I.L. Inclusion Behavior and Heat Transfer Phenomena in Steelmaking Tundish Operations: Part II. Mathematical Model for Liquid Steel in tundishes. Metall. Mater. Trans. B 1993, 24, 767–777. [Google Scholar] [CrossRef]



















| Case No. | BT | Type of FCD | Inlet Temperature, K | Casting Speed, m/min | ||||||||||||||
|---|---|---|---|---|---|---|---|---|---|---|---|---|---|---|---|---|---|---|
| Hemisphere SFC | Hemisphere SFC with Cavity | Diameter of Cavity, mm | ||||||||||||||||
| 1 | 2 | 3 | 4 | 1C | 2C | 3C | 4C | 105 | 125 | 145 | 1823 | 1813 | 1833 | 0.9 | 1.0 | 1.1 | ||
| 1 2 3 4 5 6 7 8 9 10 11 12 13 14 15 16 17 18 19 20 21 | x - - - - - - - - - - - - - - - - - - - - | - x - - - - - - - - - - - - - - - - - - - | - - x - - - - - - - - - - - - - - - - - - | - - - x - - - - - - - - - - - - - - - - - | - - - - x - - - - - - - - - - - - - - - - | - - - - - x - - - - - - - - - - - - - - - | - - - - - - x - - x x - - x x - - x x - - | - - - - - - - x - - - x x - - x x - - x x | - - - - - - - - x - - - - - - - - - - - - | - - - - - x x x x - - - - x x x x x x x x | - - - - - - - - - x - x - - - - - - - - - | - - - - - - - - - - x - x - - - - - - - - | x x x x x x x x x x x x x - - - - x x x x | - - - - - - - - - - - - - x - x - - - - - | - - - - - - - - - - - - - - x - x - - - - | x x x x x x x x x x x x x x x x x - - - - | - - - - - - - - - - - - - - - - - x - x - | - - - - - - - - - - - - - - - - - - x - x |
Publisher’s Note: MDPI stays neutral with regard to jurisdictional claims in published maps and institutional affiliations. |
© 2022 by the author. Licensee MDPI, Basel, Switzerland. This article is an open access article distributed under the terms and conditions of the Creative Commons Attribution (CC BY) license (https://creativecommons.org/licenses/by/4.0/).
Share and Cite
Cwudziński, A. Numerical and Physical Study on New Simple Design of Subflux Flow Controller for One-Strand Tundish. Materials 2022, 15, 3756. https://doi.org/10.3390/ma15113756
Cwudziński A. Numerical and Physical Study on New Simple Design of Subflux Flow Controller for One-Strand Tundish. Materials. 2022; 15(11):3756. https://doi.org/10.3390/ma15113756
Chicago/Turabian StyleCwudziński, Adam. 2022. "Numerical and Physical Study on New Simple Design of Subflux Flow Controller for One-Strand Tundish" Materials 15, no. 11: 3756. https://doi.org/10.3390/ma15113756
APA StyleCwudziński, A. (2022). Numerical and Physical Study on New Simple Design of Subflux Flow Controller for One-Strand Tundish. Materials, 15(11), 3756. https://doi.org/10.3390/ma15113756

