Effect of Ultrasonic-Assisted Modification Treatment on the Microstructure and Properties of A356 Alloy
Abstract
:1. Introduction
2. Materials and Methods
2.1. Specimens Fabrication
2.2. Microstructure Characterization and Properties Test
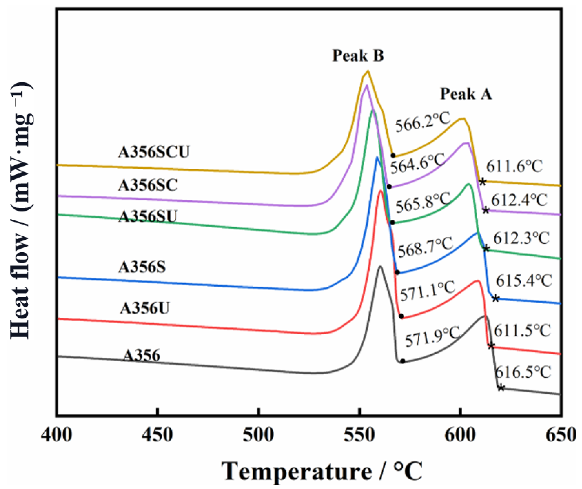
3. Experimental Results
3.1. Effect of Ultrasonic Treatment on the Microstructure of the A356 Alloy
3.2. Effect of Ultrasonic Treatment on Mechanical Properties
4. Discussion
4.1. Mechanism for Grain Refinement by Ultrasonic Treatment
4.2. Modification Mechanism of Eutectic Si
4.3. Mechanism of Strengthening
5. Conclusions
- Ultrasonic treatment refined α-Al grains under different modification treatments. After the ultrasonic treatment, the coarse columnar and equiaxed Al grains were transformed into evenly distributed equiaxed grains with different modifiers. The SDAS of the A356 alloy with Sr modification was reduced by 8.5% compared with the alloy with no ultrasonic treatment.
- The eutectic Si of the unmodified A356 alloy had no obvious change by the ultrasonic treatment, but the branch diameter of the eutectic Si becomes smaller in the Sr and Sr/Ce modification alloys after the ultrasonic treatment.
- The UTS and EL of the as-cast alloys with different modifiers were improved by the ultrasonic treatment. In particular, the strength and elongation of the unmodified alloy were increased by 9.8% and 11.3%, respectively.
- After the T6 treatment, the UTS values for the alloys with different modifications showed no obvious change due to the ultrasonic treatment, but the ultrasonic treatment significantly improved the plasticity of the alloy with the Sr/Ce modification.
- The improvement in UTS in the as-cast alloys was caused by the refinement of α-Al, while the improvement in the plasticity in the T6 state was caused by the modification of the eutectic Si.
Author Contributions
Funding
Institutional Review Board Statement
Informed Consent Statement
Data Availability Statement
Acknowledgments
Conflicts of Interest
References
- Wu, D.Y.; Kang, J.; Feng, Z.H.; Su, R.; Liu, C.H.; Li, T.; Wang, L.S. Utilizing a novel modifier to realize multi-refinement and optimized heat treatment of A356 alloy. J. Alloy Compd. 2019, 791, 628–640. [Google Scholar] [CrossRef]
- Usef, A.P.; Bhajantri, V.; Kannoth, V.; Jambagi, S.C. Influence of carbon nanotube reinforcement on the heat transfer coefficient, microstructure, and mechanical properties of a die cast Al-7Si-0.35Mg alloy. J. Alloy Compd. 2021, 888, 160844. [Google Scholar] [CrossRef]
- Jiao, Y.N.; Zhang, Y.F.; Ma, S.Q.; Sang, D.L.; Zhang, Y.; Zhao, J.J.; Wu, S.C.; Liu, Y.Q.; Yang, S.P. Effects of microstructural heterogeneity on fatigue properties of cast aluminum alloys. J. Cent. South Univ. 2020, 27, 674–697. [Google Scholar] [CrossRef]
- Ou, J.; Wei, C.H.; Steve, C.; Danna, M.; Zhu, L.; Lateng, A.; Li, C.H.; Zhu, Z.H. Advanced process simulation of low pressure die cast A356 aluminum automotive wheels-part II modeling methodology and validation. Metals 2021, 117, 1418. [Google Scholar] [CrossRef]
- Tian, Y.C.; Yang, D.Y.; Jiang, M.J.; He, B. Accurate simulation of complex temperature field in counter-pressure casting process using A356 aluminum. Inter. Metalcast. 2021, 15, 259–270. [Google Scholar] [CrossRef]
- Ma, S.; Zhang, X.Z.; Chen, T.J.; Wang, X.M. Microstructure-based numerical simulation of the mechanical properties and fracture of a Ti-Al3Ti core-shell structured particulate reinforced A356 composite. Mater. Des. 2020, 191, 108685. [Google Scholar] [CrossRef]
- Zhu, L.; Qiu, F.; Zou, Q.; Han, X.; Shu, S.L.; Yang, H.Y.; Jiang, Q.C. Multiscale design of α-Al, eutectic silicon and Mg2Si phases in Al-Si-Mg alloy manipulated by in situ nanosized crystals. Mater. Sci. Eng. A 2021, 802, 140627. [Google Scholar] [CrossRef]
- Knuutinen, A.; Nogita, K.; McDonald, S.D.; Dahle, A.K. Modification of Al–Si alloys with Ba, Ca, Y and Yb. J. Light Met. 2001, 4, 229–240. [Google Scholar] [CrossRef]
- Nogita, K.; McDonald, S.D.; Dahle, A.K. Eutectic modification of Al-Si alloys with rare earth metals. Mater. Trans. 2004, 45, 323–326. [Google Scholar] [CrossRef] [Green Version]
- Eiken, J.; Apel, M.; Liang, S.M.; Schmid-Fetzer, R. Impact of P and Sr on solidification sequence and morphology of hypoeutectic Al–Si alloys: Combined thermodynamic computation and phase-field simulation. Acta Mater. 2015, 98, 152–163. [Google Scholar] [CrossRef]
- Rao, A.K.P.; Das, K.; Murty, B.S.; Chakraborty, M. On the modification and segregation behavior of Sb in Al–7Si alloy during solidification. Mater. Lett. 2008, 62, 2013–2016. [Google Scholar] [CrossRef]
- Jiang, D.P.; Yu, J.K. Simultaneous refinement and modification of the eutectic Si in hypoeutectic Al–Si alloys achieved via the addition of SiC nanoparticles. J. Mater. Ater. Res. Techonl. 2019, 8, 2930–2943. [Google Scholar] [CrossRef]
- Dash, S.S.; Li, D.J.; Zeng, X.Q.; Chen, D.L. Heterogeneous microstructure and deformation behavior of an automotive grade aluminum alloy. J. Alloy. Compd. 2021, 870, 159413. [Google Scholar] [CrossRef]
- Haghayeghi, R.; Timelli, G. An investigation on primary Si refinement by Sr and Sb additions in a hypereutectic Al-Si alloy. Mater. Lett. 2021, 283, 128779. [Google Scholar] [CrossRef]
- Xu, C.; Xiao, W.L.; Zheng, R.X.; Hanada, S.; Yamagata, H.; Ma, C.L. The synergic effects of Sc and Zr on the microstructure and mechanical properties of Al–Si–Mg alloy. Mater. Des. 2015, 88, 485–492. [Google Scholar] [CrossRef]
- Qiu, C.C.; Miao, S.N.; Li, X.R.; Xia, X.C.; Ding, J.; Wang, Y.N.; Zhao, W.M. Synergistic effect of Sr and La on the microstructure and mechanical properties of A356.2 alloy. Mater. Des. 2017, 114, 563–571. [Google Scholar] [CrossRef]
- Li, F.; Hao, Q.T.; Han, W.H. Dual characteristic of trace rare earth elements in a commercial casting Al–Cu–X alloy. Rare Met. 2015, 34, 308–313. [Google Scholar]
- Dai, J.H.; Jiang, B.; Li, X.; Yang, Q.S.; Dong, H.W.; Xia, X.S.; Pan, F.S. The formation of intermetallic compounds during interdiffusion of Mg–Al/Mg–Ce diffusion couples. J. Alloy. Compd. 2015, 619, 411–416. [Google Scholar] [CrossRef]
- Huang, H.J. Research on Cavitation in Metallic Melts and the Mechanisms of Ultrasonic Treatment Induced Microstructural Refinement. Ph.D Thesis, Shanghai Jiao Tong University, Shanghai, China, 2015. [Google Scholar]
- Balasubramani, N.; StJohn, D.; Dargusch, M.; Wang, G. Ultrasonic processing for structure refinement: An overview of mechanisms and application of the interdependence theory. Materials 2019, 12, 3187. [Google Scholar] [CrossRef] [Green Version]
- Yang, R.; Wang, L.Z.; Zhu, Q.; Zhang, Z.Y.; Liu, M.P. TiC nanoparticles enhanced ultrasonic treatment for microstructure refinement of A356 alloy. Mater. Lett. 2020, 277, 128358. [Google Scholar] [CrossRef]
- Proni, C.T.W.; Brollo, G.L.; Zoqui, E.L. A comparison of the use of ultrasonic melt treatment and mechanical vibration in the manufacture of Al5Si5Zn alloy feedstock for thixoforming. Metall. Mater. Trans. B 2020, 51, 306–317. [Google Scholar] [CrossRef]
- Zhang, Y.; Li, R.Q.; Chen, P.H.; Li, X.Q.; Liu, Z.L. Microstructural evolution of Al2Cu phase and mechanical properties of the large-scale Al alloy components under different consecutive manufacturing processes. J. Alloy. Compd. 2019, 808, 151634. [Google Scholar] [CrossRef]
- Barbosa, J.; Puga, H. Ultrasonic Melt treatment of light alloys. Inter. Metalcast. 2019, 13, 180–189. [Google Scholar] [CrossRef]
- Zhao, J.G. Effect of ultrasonic casting on microstructure and mechanical properties of 7050 aluminum alloy for automobile. Hot Work. Technol. 2020, 1001–3814, 03-0074-03. [Google Scholar]
- Zhang, L.Y.; Yan, H.; Xu, L.H. Rheological research of semi-solid AlSi7Mg slurry by high-energy ultrasound and cerium addition. J. Mater. Eng. Perform. 2021, 30, 8589–8597. [Google Scholar] [CrossRef]
- Peng, H.; Li, R.; Li, X.; Ding, S.; Chang, M.; Liao, L.; Zhang, Y.; Chen, P. Effect of multi-source ultrasonic on segregation of Cu elements in large Al–Cu alloy cast ingot. Materials 2019, 12, 2828. [Google Scholar] [CrossRef] [Green Version]
- Qi, M.F.; Xu, Y.Z.; Li, J.Y.; Kang, Y.L.; Wulabieke, Z. Microstructure refinement and corrosion resistance improvement mechanisms of a novel Al-Si-Fe-Mg-Cu-Zn alloy prepared by ultrasonic vibration-assisted rheological die-casting process. Corros. Sci. 2021, 180, 109180. [Google Scholar] [CrossRef]
- Park, S.B. Heterogeneous nucleation models to predict grain size in solidification. Prog. Mater. Sci. 2022, 123, 100822. [Google Scholar] [CrossRef]
- Xu, C.; Xiao, W.L.; Hanada, S.J.; Yamagata, H.S.; Ma, C.L. The effect of scandium addition on microstructure and mechanical properties of Al–Si–Mg alloy: A multi-refinement modifier. Mater. Charact. 2015, 110, 160–169. [Google Scholar] [CrossRef]
- Bramfitt, B.L. The effect of carbide and nitride additions on the heterogeneous nucleation behavior of liquid iron. Metall. Trans. 1970, 1, 1987–1995. [Google Scholar] [CrossRef]
- Liu, Z.; Chen, Q.C. Research of Ce on refining mechanism of primary α phase in semisolid A356 alloy. Foundry 2013, 62, 761–764. [Google Scholar]
- Tzanakis, I.; Xu, W.W.; Eskin, D.G.; Lee, P.D.; Kotsovinos, N. In situ observation and analysis of ultrasonic capillary effect in molten aluminium. Ultrason. Sonochem. 2015, 27, 72–80. [Google Scholar] [CrossRef] [PubMed]
- Lu, S.Z.; Hellawell, A. The mechanism of silicon modification in aluminum-silicon alloys: Impurity induced twinning. Metall. Trans. A 1987, 18, 1721–1733. [Google Scholar] [CrossRef]
- Wang, T.; Zuo, X.Q.; Zhou, Y.; Tian, J.H.; Ran, S.J. High strength and high ductility nano-Ni-Al2O3/A356 composites fabricated with nickel-plating and equal channel angle semi-solid extrusion (ECASE). J. Mater. Res. Technol. 2021, 13, 1615–1627. [Google Scholar] [CrossRef]
- Zhengjun, W.; Man, Z.; Qiuyang, Z.; Jianqiang, L. Strengthening mechanism of compositely refined and modified multi-component aluminum-silicon alloy rare. Metal. Mat. Eng. 2020, 49, 3042–3411. [Google Scholar]
- Du, H.; Zhang, S.S.; Zhang, B.Y.; Tao, X.W.; Yao, Z.J.; Belov, N.; Zwaag, S.V.D.; Liu, Z.L. Ca-modified Al–Mg–Sc alloy with high strength at elevated temperatures due to a hierarchical microstructure. J. Mater. Sci. 2021, 56, 16145–16157. [Google Scholar] [CrossRef]
- Zhang, Y.J.; Zhang, J.L.; Yan, Q.; Zhang, L.; Wang, M.; Song, B.; Shi, Y.S. Amorphous alloy strengthened stainless steel manufactured by selective laser melting: Enhanced strength and improved corrosion resistance. Scripta. Mater. 2018, 148, 20–23. [Google Scholar] [CrossRef]
- Zhang, X.X.; Lutz, A.; Andrä, H.; Lahres, M.; Sittig, D.; Maawad, E.; Gan, W.M.; Knoop, D. An additively manufactured and direct-aged AlSi3.5Mg2.5 alloy with superior strength and ductility: Micromechanical mechanisms. Int. J. Plast. 2021, 146, 103083. [Google Scholar] [CrossRef]
- Kang, H.J.; Jang, H.S.; Oh, S.H.; Yoon, P.H.; Lee, G.H.; Park, J.Y.; Kim, E.S.; Choi, Y.S. Effects of solution treatment temperature and time on the porosities and mechanical properties of vacuum die-casted and T6 heat-treated Al–Si–Mg alloy. Vacuum 2021, 193, 110536. [Google Scholar] [CrossRef]
- Ram, S.C.; Chattopadhyay, K.; Chakrabarty, I. Microstructures and high temperature mechanical properties of A356-Mg2Si functionally graded composites in as-cast and artificially aged (T6) conditions. J. Alloy Compd. 2019, 805, 454–470. [Google Scholar] [CrossRef]










| Melt Treatment Process | No. | Si | Fe | Mg | Sr | Ce | Al |
|---|---|---|---|---|---|---|---|
| A356 (Base alloy) | A356 | 6.89 | 0.12 | 0.38 | - | - | Bal. |
| A356-Ultraphonic | A356U | 6.85 | 0.11 | 0.39 | - | - | Bal. |
| A356-Sr | A356S | 7.15 | 0.10 | 0.37 | 0.013 | - | Bal. |
| A356-Sr-Ultraphonic | A356SU | 7.03 | 0.10 | 0.41 | 0.012 | - | Bal. |
| A356-Sr/Ce | A356SC | 7.03 | 0.12 | 0.41 | 0.014 | 0.045 | Bal. |
| A356-Sr/Ce- Ultraphonic | A356SCU | 6.78 | 0.09 | 0.37 | 0.011 | 0.041 | Bal. |
Publisher’s Note: MDPI stays neutral with regard to jurisdictional claims in published maps and institutional affiliations. |
© 2022 by the authors. Licensee MDPI, Basel, Switzerland. This article is an open access article distributed under the terms and conditions of the Creative Commons Attribution (CC BY) license (https://creativecommons.org/licenses/by/4.0/).
Share and Cite
Hu, X.; Song, D.; Wang, H.; Jia, Y.; Zou, H.; Chen, M. Effect of Ultrasonic-Assisted Modification Treatment on the Microstructure and Properties of A356 Alloy. Materials 2022, 15, 3714. https://doi.org/10.3390/ma15103714
Hu X, Song D, Wang H, Jia Y, Zou H, Chen M. Effect of Ultrasonic-Assisted Modification Treatment on the Microstructure and Properties of A356 Alloy. Materials. 2022; 15(10):3714. https://doi.org/10.3390/ma15103714
Chicago/Turabian StyleHu, Xinyi, Dongfu Song, Huiping Wang, Yiwang Jia, Haiping Zou, and Mingjuan Chen. 2022. "Effect of Ultrasonic-Assisted Modification Treatment on the Microstructure and Properties of A356 Alloy" Materials 15, no. 10: 3714. https://doi.org/10.3390/ma15103714
APA StyleHu, X., Song, D., Wang, H., Jia, Y., Zou, H., & Chen, M. (2022). Effect of Ultrasonic-Assisted Modification Treatment on the Microstructure and Properties of A356 Alloy. Materials, 15(10), 3714. https://doi.org/10.3390/ma15103714

