Simulation of Diffusion-Controlled Growth of Interdependent Nuclei under Potentiostatic Conditions
Abstract
1. Introduction
2. Model and Calculation Method
2.1. Hexagonal Ensemble
2.2. Random Distribution of Nuclei
2.3. Parameters and Simulation Procedure
3. Results and Discussion
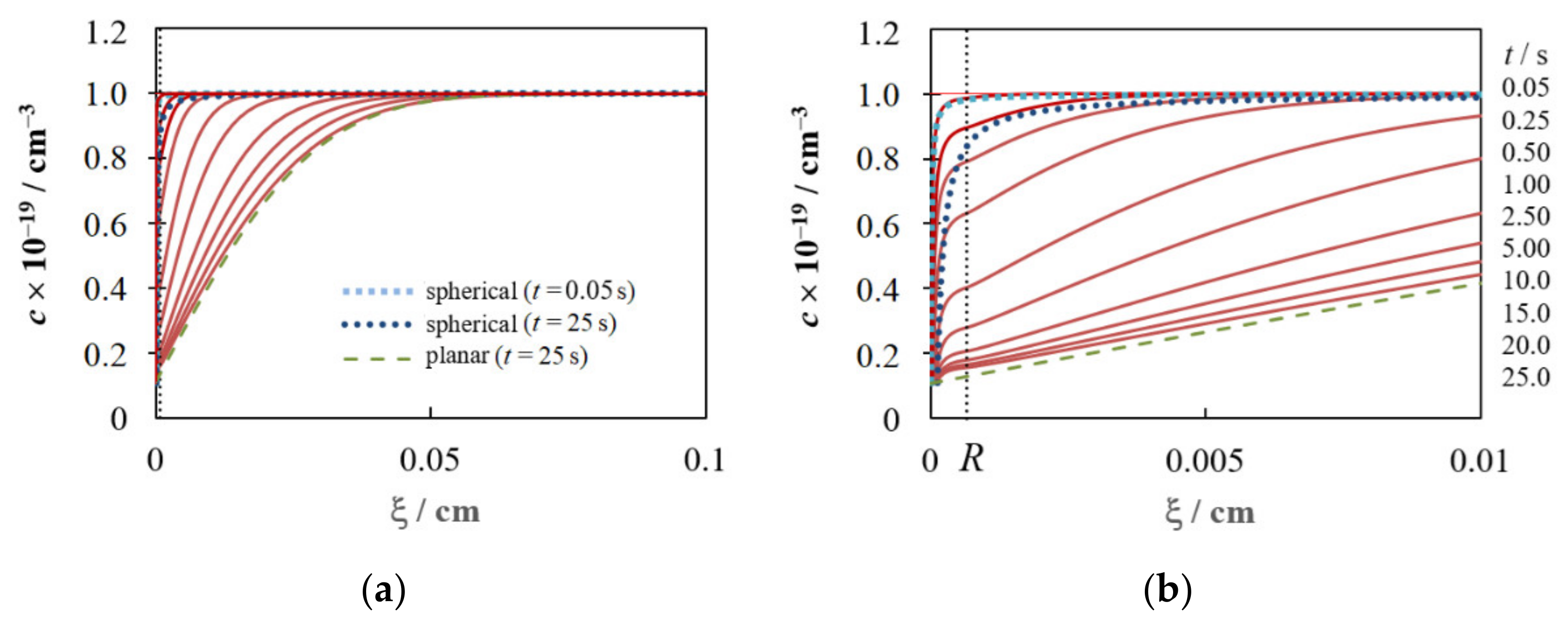
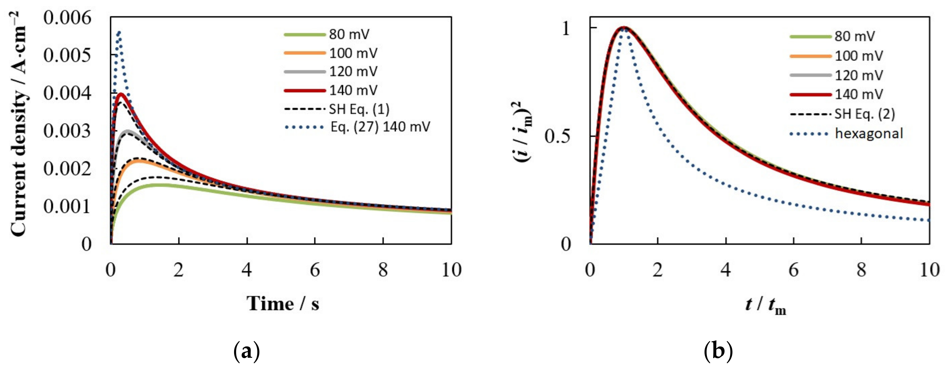
3.1. Hexagonal Ensemble
3.2. Random Distribution of Nuclei
4. Conclusions
Supplementary Materials
Author Contributions
Funding
Institutional Review Board Statement
Informed Consent Statement
Data Availability Statement
Conflicts of Interest
References
- Staikov, G.; Milchev, A. The Impact of Electrocrystallization on Nanotechnology. In Electrocrystallization in Nanotechnology; Staikov, G., Ed.; Wiley-VCH: Weinheim, Germany, 2007; pp. 1–29. [Google Scholar]
- Milchev, A. Electrocrystallization: Nucleation and growth of nano-clusters on solid surfaces. Russ. J. Electrochem. 2008, 44, 619–645. [Google Scholar] [CrossRef]
- Hyde, M.E.; Compton, R.G. A review of the analysis of multiple nucleation with diffusion controlled growth. J. Electroanal. Chem. 2003, 549, 1–12. [Google Scholar] [CrossRef]
- García-Pastoriza, E.; Mostany, J.; Scharifker, B.R. Spatial distribution of nuclei inhibition of local nucleation rates by the most influential neighbours. J. Electroanal. Chem. 1998, 441, 13–18. [Google Scholar] [CrossRef]
- Gunawardena, G.; Hills, G.J.; Montenegro, I.; Scharifker, B. Electrochemical nucleation: Part I. General considerations. J. Electroanal. Chem. 1982, 138, 225–239. [Google Scholar] [CrossRef]
- Scharifker, B.R.; Hills, G.J. Theoretical and experimental studies of multiple nucleation. Electrochim. Acta 1983, 28, 879–889. [Google Scholar] [CrossRef]
- Scharifker, B.R.; Mostany, J. Three-dimensional nucleation with diffusion controlled growth. Part I. Number density of active sites and nucleation rates per site. J. Electroanal. Chem. 1984, 177, 13–23. [Google Scholar] [CrossRef]
- Sluyters-Rehbach, M.; Wijenberg, J.H.O.J.; Bosco, E.; Sluyters, J.H. The theory of chronoamperometry for the investigation of electrocrystallization. Mathematical description and analysis in the case of diffusion-controlled growth. J. Electroanal. Chem. 1987, 236, 1–20. [Google Scholar] [CrossRef]
- Mirkin, M.V.; Nilov, A.P. Three-dimensional nucleation and growth under controlled potential. J. Electroanal. Chem. 1990, 283, 35–51. [Google Scholar] [CrossRef]
- Heerman, L.; Tarallo, A. Theory of the chronoamperometric transient for electrochemical nucleation with diffusion-controlled growth. J. Electroanal. Chem. 1999, 470, 70–76. [Google Scholar] [CrossRef]
- Heerman, L.; Tarallo, A. Electrochemical nucleation with diffusion-limited growth. Properties and analysis of transients. Electrochem. Comm. 2000, 2, 85–89. [Google Scholar] [CrossRef]
- Matthijs, E.; Langerock, S.; Michailova, E.; Heerman, L. The potentiostatic transient for 3D nucleation with diffusion-controlled growth: Theory and experiment for progressive nucleation. J. Electroanal. Chem. 2004, 570, 123–133. [Google Scholar] [CrossRef]
- Kolmogorov, A.N. On the statistical theory of metal crystallization. Izv. Akad. Nauk SSSR Ser. Mat. 1937, 1, 355–359. [Google Scholar]
- Johnson, W.A.; Mehl, R.F. Reaction Kinetics in Processes of Nucleation and Growth. Trans. Am. Inst. Min. Met. Engin. 1939, 135, 416–458. [Google Scholar]
- Avrami, M. Kinetics of Phase Change. I General Theory. J. Chem. Phys. 1939, 7, 1103–1112. [Google Scholar] [CrossRef]
- Mazaira, D.; Borrás, C.; Mostany, J.; Scharifker, B.R. Three-dimensional nucleation with diffusion-controlled growth: Simulation of hierarchical diffusion zones overlap. J. Electroanal. Chem. 2009, 631, 22–28. [Google Scholar] [CrossRef]
- Isaev, V.A.; Grishenkova, O.V.; Zaykov, Y.P. Analysis of the geometrical–probabilistic models of electrocrystallization. Russ. Met. 2016, 2016, 776–784. [Google Scholar] [CrossRef]
- Grujicic, D.; Pesic, B. Electrodeposition of copper: The nucleation mechanisms. Electrochim. Acta. 2002, 47, 2901–2912. [Google Scholar] [CrossRef]
- Radisic, A.; Ross, F.M.; Searson, P.C. In Situ Study of the Growth Kinetics of Individual Island Electrodeposition of Copper. J. Phys. Chem. B 2006, 110, 7862–7868. [Google Scholar] [CrossRef]
- Komsiyska, L.; Staikov, G. Electrocrystallization of Au nanoparticles on glassy carbon from HClO4 solution containing [AuCl4]−. Electrochim. Acta 2008, 54, 168–172. [Google Scholar] [CrossRef]
- Lai, S.C.S.; Lazenby, R.A.; Kirkman, P.M.; Unwin, P.R. Nucleation, aggregative growth and detachment of metal nanoparticles during electrodeposition at electrode surfaces. Chem. Sci. 2015, 6, 1126–1138. [Google Scholar] [CrossRef]
- Abyaneh, M.Y. Modelling diffusion controlled electrocrystallisation processes. J. Electroanal. Chem. 2006, 586, 196–203. [Google Scholar] [CrossRef]
- Politi, S.; Tomellini, M. Kinetics of island growth in the framework of “planar diffusion zones” and “3D nucleation and growth” models for electrodeposition. J. Solid State Electrochem. 2018, 22, 3085–3098. [Google Scholar] [CrossRef]
- Tomellini, M. Kinetics of dissolution-precipitation reaction at the surface of small particles: Modelling and application. J. Mater. Sci. 2012, 47, 804–814. [Google Scholar] [CrossRef][Green Version]
- Isaev, V.A.; Baraboshkin, A.N. Three-dimensional electrochemical phase formation. J. Electroanal. Chem. 1994, 377, 33–37. [Google Scholar] [CrossRef]
- Di Biagio, F.; Tomellini, M. “Linear diffusion domain” approach for modeling the kinetics of electrodeposition: A two-dimensional study. J. Solid State Electrochem. 2019, 23, 2667–2681. [Google Scholar] [CrossRef]
- Tomellini, M.; Fanfoni, M. Interplay between Kolmogorov–Johnson–Mehl–Avrami kinetics and Poisson–Voronoi tessellation. Phys. Lett. A 2016, 380, 2031–2037. [Google Scholar] [CrossRef]
- Tomellini, M. Phase transformation kinetics of Voronoi cells in space tessellation governed by the Kolmogorov–Johnson–Mehl–Avrami model. Phys. Lett. A 2017, 381, 1067–1075. [Google Scholar] [CrossRef]
- Bobbert, P.A.; Wind, M.M.; Vlieger, J. Diffusion to an assembly of slowly growing particles on a substrate. Phys. A Stat. Mech. Appl. 1987, 146, 69–88. [Google Scholar] [CrossRef]
- Tokuyama, M. Statistical-mechanical theory of diffusion-controlled particle growth on a surface: Kinetics of diffusion-limited currents. Physica A 1990, 169, 147–190. [Google Scholar] [CrossRef]
- Tokuyama, M.; Enomoto, Y. Kinetic equations and fluctuations in electrochemical nucleation: Studies of many-body effects on diffusion controlled particle growth on a substrate. J. Chem. Phys. 1991, 94, 8234–8243. [Google Scholar] [CrossRef]
- Voronoi, G. Nouvelles applications des paramètres continus à la théorie des formes quadratiques. J. Reine Angew. Math. 1908, 134, 198–287. [Google Scholar] [CrossRef]
- Cao, Y.; Searson, P.C.; West, A.C. Direct Numerical Simulation of Nucleation and Three-Dimensional, Diffusion-Controlled Growth. J. Electrochem. Soc. 2001, 148, C376–C382. [Google Scholar] [CrossRef]
- Nagy, G.; Sugimoto, Y.; Denuault, G. Three-dimensional random walk simulations of diffusion controlled electrode processes: (I) A hemisphere, disc and growing hemisphere. J. Electroanal. Chem. 1997, 433, 167–173. [Google Scholar] [CrossRef]
- Nagy, G.; Denuault, G. Three-dimensional random walk simulation of diffusion controlled electrode processes: (II) Arrays of growing hemispheres. J. Electroanal. Chem. 1997, 433, 175–180. [Google Scholar] [CrossRef]
- Fransaer, J.L.; Penner, R.M. Brownian Dynamics Simulation of the Growth of Metal Nanocrystal Ensembles on Electrode Surfaces from Solution. I. Instantaneous Nucleation and Diffusion-Controlled Growth. J. Phys. Chem. B 1999, 103, 7643–7653. [Google Scholar] [CrossRef]
- Penner, R.M. Mesoscopic Metal Particles and Wires by Electrodeposition. J. Phys. Chem. B 2002, 106, 3339–3353. [Google Scholar] [CrossRef]
- Scharifker, B.R. Diffusion to ensembles of microelectrodes. J. Electroanal. Chem. 1988, 240, 61–76. [Google Scholar] [CrossRef]
- Scharifker, B.R. Diffusion controlled growth of hemispheres in ordered arrays. J. Electroanal. Chem. 1998, 458, 253–255. [Google Scholar] [CrossRef]
- Wasif Baig, M.; Pederzoli, M.; Kývala, M.; Cwiklik, L.; Pittner, J. Theoretical Investigation of the Effect of Alkylation and Bromination on Intersystem Crossing in BODIPY-Based Photosensitizers. J. Phys. Chem. B 2021, 125, 11617–11627. [Google Scholar] [CrossRef]
- Curchod, B.F.; Martínez, T.J. Ab initio nonadiabatic quantum molecular dynamics. Chem. Rev. 2018, 118, 3305–3336. [Google Scholar] [CrossRef]
- Oppelstrup, T.; Bulatov, V.V.; Gilmer, G.H.; Kalos, M.H.; Sadigh, B. First-Passage Monte Carlo Algorithm: Diffusion without All the Hops. Phys. Rev. Lett. 2006, 97, 230602. [Google Scholar] [CrossRef] [PubMed]
- Zargarnezhad, H.; Dolati, A. A 3D Continuum-Kinetic Monte Carlo Simulation Study of Early Stages of Nucleation and Growth in Ni Electrodeposition. Electrochim. Acta 2017, 236, 1–9. [Google Scholar] [CrossRef]
- Pricer, T.J.; Kushner, M.J.; Alkire, R.C. Monte Carlo Simulation of the Electrodeposition of Copper I. J. Electrochem. Soc. 2002, 149, 396–405. [Google Scholar] [CrossRef][Green Version]
- Saedi, A. A study on mutual interaction between atomistic and macroscopic phenomena during electrochemical processes using coupled finite difference–Kinetic Monte Carlo model: Application to potential step test in simple copper sulfate bath. J. Electroanal. Chem. 2006, 588, 267–284. [Google Scholar] [CrossRef]
- Hills, G.J.; Schiffrin, D.J.; Thompson, J. Electrochemical nucleation from molten salts–I. Diffusion controlled electrodeposition of silver from alkali molten nitrates. Electrochim. Acta 1974, 19, 657–670. [Google Scholar] [CrossRef]
- Fletcher, S. Electrochemical deposition of hemispherical nuclei under diffusion control. Some theoretical considerations. J. Chem. Soc. Faraday Trans. 1983, 79, 467–479. [Google Scholar] [CrossRef]
- Fletcher, S. Some formulae describing spherical and hemispherical diffusion to small crystals in unstirred solutions. J. Crystal Growth 1983, 62, 505–512. [Google Scholar] [CrossRef]
- Lemineur, J.-F.; Noël, J.-M.; Combellas, C.; Kanoufi, F. Optical Monitoring of the Electrochemical Nucleation and Growth of Silver Nanoparticles on Electrode: From Single to Ensemble Nanoparticles Inspection. J. Electroanal. Chem. 2020, 872, 114043. [Google Scholar] [CrossRef]
- Gunawardena, G.A.; Hills, G.J.; Montenegro, I. Potentiostatic Studies of Electrochemical Nucleation. Electrochim. Acta 1978, 23, 693–697. [Google Scholar] [CrossRef]
- Fortune, S. A sweepline algorithm for Voronoi diagrams. Algorithmica 1987, 2, 153–174. [Google Scholar] [CrossRef]
- Walkenbach, J. Excel 2013 Power Programming with VBA; Wiley: New York, NY, USA, 2013. [Google Scholar]
- Baraboshkin, A.N. Electrocrystallization of Metals from Molten Salts; Nauka: Moscow, Russia, 1976. (In Russian) [Google Scholar]
- Isaev, V.A.; Grishenkova, O.V.; Kosov, A.V.; Semerikova, O.L.; Zaikov, Y. Simulation of 3D electrochemical phase formation: Mixed growth control. Materials 2021, 14, 6330. [Google Scholar] [CrossRef] [PubMed]
- Isaev, V.A.; Chebotin, V.N. On the relation between volume and surface diffusion during the growth of crystal nuclei. Proc. Inst. Electrochem. Ural Branch Acad. Sci. USSR 1978, 27, 46–51. (In Russian) [Google Scholar]
- Bard, A.J.; Faulkner, L.R. Electrochemical Methods: Fundamentals and Applications, 2nd ed.; Wiley: New York, NY, USA, 2001. [Google Scholar]
- Guo, L.; Oskam, G.; Radisic, A.; Hoffmann, P.M.; Searson, P.C. Island growth in electrodeposition. J. Phys. D Appl. Phys. 2011, 44, 443001. [Google Scholar] [CrossRef]









| η, mV | 1N0, cm−2 | R, cm |
|---|---|---|
| 10 | 7.96 × 104 | 2.00 × 10−3 |
| 20 | 1.02 × 105 | 1.76 × 10−3 |
| 40 | 1.69 × 105 | 1.37 × 10−3 |
| 80 | 4.58 × 105 | 8.34 × 10−4 |
| 100 | 7.55 × 105 | 6.49 × 10−4 |
| 120 | 1.25 × 106 | 5.06 × 10−4 |
| 140 | 2.05 × 106 | 3.94 × 10−4 |
Publisher’s Note: MDPI stays neutral with regard to jurisdictional claims in published maps and institutional affiliations. |
© 2022 by the authors. Licensee MDPI, Basel, Switzerland. This article is an open access article distributed under the terms and conditions of the Creative Commons Attribution (CC BY) license (https://creativecommons.org/licenses/by/4.0/).
Share and Cite
Kosov, A.V.; Grishenkova, O.V.; Isaev, V.A.; Zaikov, Y. Simulation of Diffusion-Controlled Growth of Interdependent Nuclei under Potentiostatic Conditions. Materials 2022, 15, 3603. https://doi.org/10.3390/ma15103603
Kosov AV, Grishenkova OV, Isaev VA, Zaikov Y. Simulation of Diffusion-Controlled Growth of Interdependent Nuclei under Potentiostatic Conditions. Materials. 2022; 15(10):3603. https://doi.org/10.3390/ma15103603
Chicago/Turabian StyleKosov, Alexander V., Olga V. Grishenkova, Vladimir A. Isaev, and Yuriy Zaikov. 2022. "Simulation of Diffusion-Controlled Growth of Interdependent Nuclei under Potentiostatic Conditions" Materials 15, no. 10: 3603. https://doi.org/10.3390/ma15103603
APA StyleKosov, A. V., Grishenkova, O. V., Isaev, V. A., & Zaikov, Y. (2022). Simulation of Diffusion-Controlled Growth of Interdependent Nuclei under Potentiostatic Conditions. Materials, 15(10), 3603. https://doi.org/10.3390/ma15103603

