FeZrN Films: Magnetic and Mechanical Properties Relative to the Phase-Structural State
Abstract
1. Introduction
2. Materials and Methods
3. Results and Discussion
3.1. Chemical Composition and Morphology of the Films
3.2. Structure and Phase Composition
3.2.1. As-Deposited Films
3.2.2. Annealed Films
3.3. Mechanical Properties
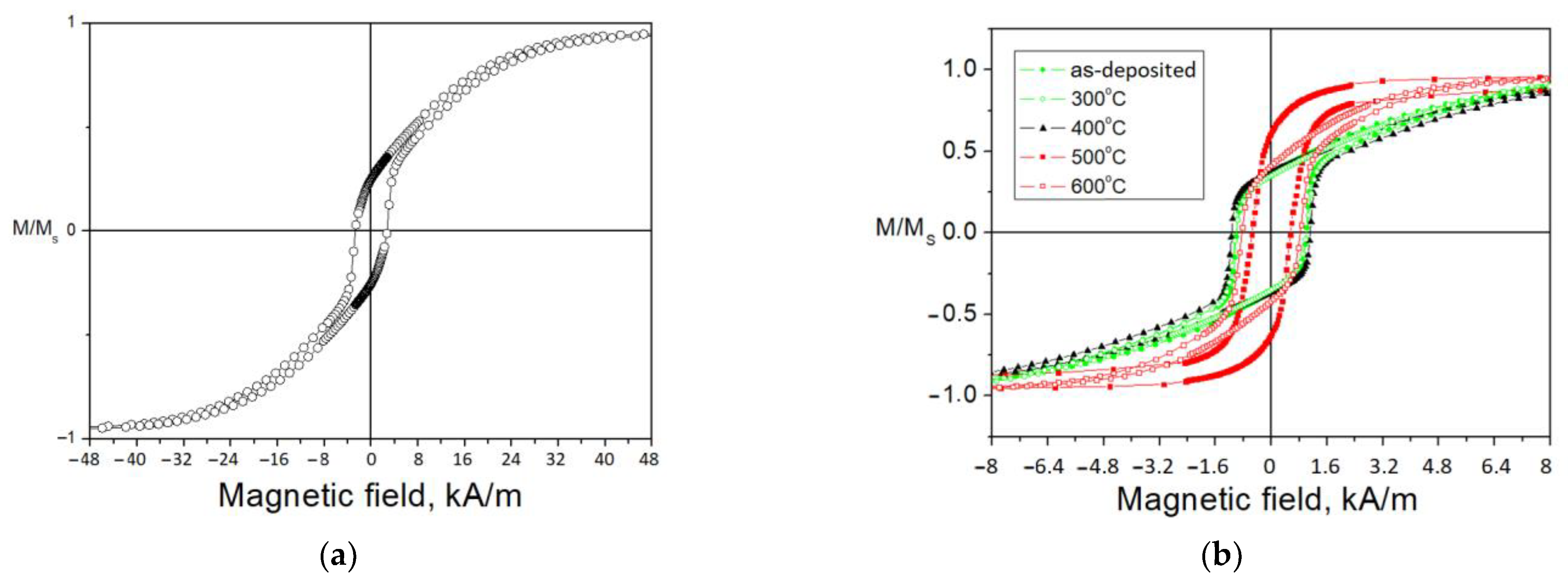
3.4. Magnetic Properties
4. Conclusions
Author Contributions
Funding
Institutional Review Board Statement
Informed Consent Statement
Data Availability Statement
Conflicts of Interest
References
- Ohkoshi, S.; Yoshikiyo, M.; Imoto, K.; Nakagawa, K.; Namai, A.; Tokoro, H.; Yahagi, Y.; Takeuchi, K.; Jia, F.; Miyashita, S.; et al. Magnetic-Pole Flip by Millimeter Wave. Adv. Mater. 2020, 32, 2004897. [Google Scholar] [CrossRef]
- Fontana, R.E.; Biskeborn, R.G., Jr.; Lantz, M.; Decad, G.M. Tape in the cloud—Technology developments and roadmaps supporting 80 TB cartridge capacities. AIP Adv. 2019, 9, 125222. [Google Scholar] [CrossRef]
- Pantazi, A.; Furrer, S.; Rothuizen, H.E.; Cherubini, G.; Jelitto, J.; Lantz, M.A. Nanoscale track-following for tape storage. In Proceedings of the 2015 American Control Conference (ACC), Chicago, IL, USA, 1–3 July 2015; pp. 2837–2843. [Google Scholar]
- Schechtman, B.; Peterson, D.; Qualls, W.; Rector, M.; Sheuer, P.; Walker, B.; Wideman, R.; Wultich, T.; Woito, D. International Magnetic Tape Storage Roadmap; Information Storage Industry Consortium: San Diego, CA, USA, 2012; 59p, Available online: https://insic.org/wp-content/uploads/2019/07/10_-Roadmap-ApplicationsSystems-FormattedV5.0.pdf (accessed on 10 November 2021).
- Woito, D.; Bickers, R.; Brume, S.; Goker, T.; Hill, M.; Hoerger, C.; Loredo, L.; Rogers, C.; Sandoval, C.; Wideman, R.; et al. International Magnetic Tape Storage Roadmap; Information Storage Industry Consortium: San Diego, CA, USA, 2015; 43p, Available online: https://insic.org/wp-content/uploads/2019/07/2015-Systems-and-Applications.pdf (accessed on 10 November 2021).
- Woito, D.; Sandoval, C.; Hernandez, J.; Peláez, S.; Hill, M.; Goker, T.; Presley, M.; Duffy, R.; Bickers, R.; Hoerger, C.; et al. Tape Roadmap INSIC Report; Information Storage Industry Consortium: San Diego, CA, USA, 2019; 75p, Available online: https://insic.org/wp-content/uploads/2019/07/INSIC-Applications-and-Systems-Roadmap.pdf (accessed on 10 November 2021).
- Ozawa, E.; Musha, A.; Morooka, A.; Oyanagi, M.; Tada, T.; Suzuki, H. Development of Barium Ferrite Tape with a High Signal-to-Noise Ratio and Thermal Stability. IEEE Trans. Magn. 2018, 54, 3200304. [Google Scholar] [CrossRef]
- Jeffers, F. High-density magnetic recording heads. Proc. IEEE 1986, 74, 1540–1556. [Google Scholar] [CrossRef]
- Le, H.T.; Haque, R.I.; Ouyang, Z.; Lee, S.W.; Fried, S.I.; Zhao, D.; Qiu, M.; Han, A. MEMS inductor fabrication and emerging applications in power electronics and neurotechnologies. Microsyst. Nanoeng. 2021, 7, 59. [Google Scholar] [CrossRef] [PubMed]
- Brzuszek, K.; Janutka, A. High-frequency magnetic response of superferromagnetic nanocomposites. J. Magn. Magn. Mater. 2021, 543, 168608. [Google Scholar] [CrossRef]
- He, Y.; Zhong, Z.; Wu, R.; Guo, W.; Zhang, H.; Bai, F. On-chip coupled inductors with a novel spliced anisotropic and isotropic magnetic core for inductance and coupling enhancement. Solid-State Electron. 2020, 164, 107699. [Google Scholar] [CrossRef]
- Wang, L.; Wang, Y.; Zhang, H.; Zhong, Z.; Wang, L.; Peng, Y.; Bai, F. Integrated On-Chip Solenoid Inductors With Nanogranular Magnetic Cores. IEEE Trans. Magn. 2016, 52, 8400604. [Google Scholar] [CrossRef]
- Gardner, D.S.; Schrom, G.; Paillet, F.; Jamieson, B.; Karnik, T.; Borkar, S. Review of On-Chip Inductor Structures With Magnetic Films. IEEE Trans. Magn. 2009, 45, 4760–4766. [Google Scholar] [CrossRef]
- Yao, D.; Levey, C.G.; Tian, R.; Sullivan, C.R. Microfabricated V-Groove Power Inductors Using Multilayer Co–Zr–O Thin Films for Very-High-Frequency DC–DC Converters. IEEE Trans. Power Electron. 2013, 28, 4384–4394. [Google Scholar] [CrossRef]
- Chakraborty, A.; Mountfield, K.R.; Bellesis, G.H.; Lambeth, D.N.; Kryder, M.H. Search for high moment soft magnetic materials: FeZrN. J. Appl. Phys. 1996, 80, 1012. [Google Scholar] [CrossRef]
- Shimizu, O.; Nakanishi, K.; Yoshida, S. Influence of excess N on FeZrN soft magnetic film. J. Appl. Phys. 1991, 70, 6244. [Google Scholar] [CrossRef]
- Chechenin, N.G.; Chezan, A.R.; Craus, C.B.; Vystavel, T.; Boerma, D.O.; de Hosson, J.T.M.; Niesen, L. Microstructure of nanocrystalline FeZr(N)-films and their soft magnetic properties. J. Magn. Magn. Mater. 2002, 242–245, 180–182. [Google Scholar] [CrossRef][Green Version]
- Chezan, A.R.; Craus, C.B.; Chechenin, N.G.; Niesen, L.; Boerma, D.O. Structure and Soft Magnetic Properties of Fe-Zr-N Films. Phys. Stat. Sol. A 2002, 189, 833–836. [Google Scholar] [CrossRef]
- Chechenin, N.G.; van Veen, A.; Schut, H.; Chezan, A.R.; Boerma, D.O.; Vystavel, T.; De Hosson, J.T.M. Thermal stability of ultrasoft Fe-Zr-N films. J. Phys. Condens. Matter 2003, 15, 7663–7674. [Google Scholar] [CrossRef][Green Version]
- Tayal, A.; Gupta, M.; Gupta, A.; Horisberger, M.; Stahn, J. Role of additives (X = Ti,Zr) in phase formation and thermal stability of Fe-X-N thin films. Thin Solid Film. 2013, 536, 39–49. [Google Scholar] [CrossRef]
- Sheftel’, E.N.; Shalimova, A.V.; Usmanova, G.S.; Bannykh, O.A. Role of C:Zr Stoichiometry in the Formation of a Nanocrystalline Structure and Magnetic Properties in Fe87–xZr13Cx Films. Phys. Met. Metallogr. 2006, 101, 379–385. [Google Scholar] [CrossRef]
- Sheftel, E.N.; Tedzhetov, V.A.; Harin, E.V.; Kiryukhantsev-Korneev, F.V.; Usmanova, G.S. High-induction nanocrystalline soft magnetic FeXTiYBZ films prepared by magnetron sputtering. Phys. Status Solidi C 2016, 13, 965–971. [Google Scholar] [CrossRef]
- Sheftel, E.N.; Tedzhetov, V.A.; Kiryukhantsev-Korneev, F.V.; Harin, E.V.; Usmanova, G.S.; Zhigalina, O.M. Investigation of the Processes of the Formation of a Nonequilibrium Phase-Structural State in FeTiB Films Obtained by Magnetron Sputtering. Russ. J. Non-Ferr. Met. 2020, 61, 753–761. [Google Scholar] [CrossRef]
- Bannykh, O.A.; Sheftel, E.N.; Zubov, V.E.; Kaputkin, D.E.; Krikunov, A.I.; Kudakov, A.D.; Usmanova, G.S.; Fedulova, T.S. Thin-film magnetically soft Fe-Zr-N alloys with high saturation induction. Tech. Phys. Lett. 2001, 27, 176–179. [Google Scholar] [CrossRef]
- Harin, E.V.; Sheftel, E.N. Components of magnetic anisotropy of soft magnetic nanocrystalline Fe-based films. Solid State Phenom. 2015, 233–234, 619–622. [Google Scholar] [CrossRef]
- Sheftel’, E.N.; Kharin, E.V.; Tedzhetov, V.A.; Usmanova, G.S.; Krikunov, A.I. Magnetic Anisotropy Induced in the Nanocrystalline FeZrN Films Prepared by Oblique-Angle Magnetron Sputtering. Russ. Metall. Met. 2016, 2016, 826–831. [Google Scholar] [CrossRef]
- Sheftel, E.N.; Harin, E.V.; Tedzhetov, V.A.; Kiryukhantsev-Korneev, P.V.; Levashov, E.A.; Perov, N.S.; Titova, A.O. Magnetic structure and magnetic properties of nanocrystalline and amorphous Fe-Zr-N films. Phys. B Condens. Matter 2016, 494, 13–19. [Google Scholar] [CrossRef]
- Sheftel, E.N.; Harin, E.V. Fe-Zr-N films: Effect of nitrogen content and nitrogen-to-zirconium concentration ratio on saturation induction. Mater. Lett. 2018, 229, 36–39. [Google Scholar] [CrossRef]
- Sheftel, E.N.; Harin, E.V. Two modes of magnetic structure of nanocrystalline FeZrN films prepared by oblique-angle magnetron sputtering. J. Magn. Magn. Mater. 2019, 479, 84–87. [Google Scholar] [CrossRef]
- Sheftel, E.N.; Tedzhetov, V.A.; Harin, E.V.; Usmanova, G.S.; Dyachkov, A.L. FeZrN films: Role of dc magnetron sputtering conditions in the formation of their elemental and phase compositions. Thin Solid Film. 2020, 698, 137876. [Google Scholar] [CrossRef]
- Tedzhetov, V.A.; Sheftel, E.N.; Harin, E.V.; Kiryukhantsev-Korneev, P.V. Residual Stresses in Soft Magnetic FeTiB and FeZrN Films Obtained by Magnetron Deposition. Coatings 2021, 11, 34. [Google Scholar] [CrossRef]
- Shefteľ, E.; Bannykh, O. Films of Soft-Magnetic Fe-Based Nanocrystalline Alloys for High-Density Magnetic Storage Application. In Nanostructured Thin Films and Nanodispersion Strengthened Coatings. NATO Science Series II: Mathematics, Physics and Chemistry; Voevodin, A.A., Shtansky, D.V., Levashov, E.A., Moore, J.J., Eds.; Springer: Dordrecht, The Netherlands, 2004; Volume 155, pp. 221–230. [Google Scholar] [CrossRef]
- Sheftel, E.N.; Shalygina, E.E.; Usmanova, G.S.; Utitskikh, S.I.; Mukasheva, M.A.; Inoue, M.; Fujikawa, R. Effects of Annealing on the Magnetic Properties and Microstructure of Fe-ZrN Nanocomposite Films. Tech. Phys. Lett. 2007, 33, 881–885. [Google Scholar] [CrossRef]
- Sheftel’, E.N.; Utitskikh, S.I.; Ivanov, A.N.; Inoue, M.; Fujikawa, R. X-ray diffraction study of the effect of annealing temperature on the phase and structural states of Fe79Zr10N11 films produced by magnetron sputtering. Phys. Met. Metallogr. 2008, 105, 471. [Google Scholar] [CrossRef]
- Shelekhov, E.V.; Sviridova, T.A. Programs for X-ray analysis of polycrystals. Metal. Sci. Heat Treat. 2000, 42, 309–313. [Google Scholar] [CrossRef]
- Oliver, W.C.; Pharr, G.H. An improved technique for determining hardness and elastic modulus using load and displacement sensing indication experiments. J. Mater. Res. 1992, 6, 1564–1583. [Google Scholar] [CrossRef]
- Wriedt, H.A.; Gokcen, N.A.; Nafziger, R.H. The Fe-N (Iron-Nitrogen) system. Bull. Alloy Phase Diagr. 1987, 8, 355–377. [Google Scholar] [CrossRef]
- Arias, D.; Abriata, J.P. The Fe−Zr (Iron-Zirconium) system. Bull. Alloy Phase Diagr. 1988, 9, 597–604. [Google Scholar] [CrossRef]
- Gribaudo, L.; Arias, D. The N-Zr (Nitrogen-Zirconium) system. J. Phase Equilibria 1994, 15, 441–449. [Google Scholar] [CrossRef]
- Perrot, P. Iron–Nitrogen–Titanium. In Iron Systems, Part 4 (Landolt-Börnstein-Group IV Physical Chemistry), 1st ed.; Effenberg, G., Ilyenko, S., Eds.; Springer: Berlin/Heidelberg/Stuttgart, Germany, 2008; 424p. [Google Scholar] [CrossRef]
- Barna, P.B.; Adamik, M. Formation and characterization of the structure of surface coatings. In Protective Coatings and Thin Films; Pauleau, Y., Barna, P.B., Eds.; Kluwer Academic: Dordrecht, The Netherlands, 1997; pp. 279–297. [Google Scholar] [CrossRef]
- Radnóczi, G.; Barna, P. Formation and Characterization of the Structure of Thin Films and Coatings. In Materials Surface Processing by Directed Energy Techniques; Pauleau, Y., Ed.; Elsevier: Amsterdam, The Netherlands, 2006; pp. 443–474. [Google Scholar] [CrossRef]
- Zhigalina, O.M.; Khmelenin, D.N.; Sheftel’, E.N.; Usmanova, G.S.; Vasil’ev, A.L.; Carlsson, A. Electron microscopy of phase and structural transformations in soft magnetic nanocrystalline Fe-Zr-N films. Crystallogr. Rep. 2013, 58, 344–354. [Google Scholar] [CrossRef]
- Hall, E.O. The deformation and ageing of mild steel, III: Discussion and results. Proc. Phys. Soc. B 1951, 64, 747–753. [Google Scholar] [CrossRef]
- Petch, N.J. The cleavage strength of polycrystals. J. Iron Steel Inst. 1953, 174, 25–28. [Google Scholar]
- Musil, J. Physical and mechanical properties of hard nanocomposite films prepared by reactive magnetron sputtering. In Nanostructured Coatings; Cavaleiro, A., De Hosson, J.T.M., Eds.; Springer: New York, NY, USA, 2006; pp. 407–463. [Google Scholar]
- Musil, J.; Kadlec, S.; Vyskocil, J.; Valvoda, V. New results in dc reactive magnetron depositionof TiNx films. Thin Solid Film. 1988, 167, 107–120. [Google Scholar] [CrossRef]
- Valvoda, V.; Kuzel, R.; Cerny, R.; Musil, J. Structure of TiN coatings deposited at relatively high rates and low temperatures by magnetron sputtering. Thin Solid Film. 1988, 156, 53–63. [Google Scholar] [CrossRef]
- Musil, J.; Poulek, V.; Vyskočil, J.; Kadlec, S.; Valvoda, V.; Kužel, R.; Černý, R. Influence of deposition rate on properties of reactively sputtered TiNx films. Vacuum 1988, 38, 459–461. [Google Scholar] [CrossRef]
- Carlton, C.E.; Ferreira, P.J. What is behind the inverse Hall-Petch effect in nanocrystalline materials? Acta Mater. 2007, 55, 3749–3756. [Google Scholar] [CrossRef]
- Shtanskiǐ, D.V.; Kulinich, S.A.; Levashov, E.A.; Moore, J.J. Structure and physical-mechanical properties of nanostructured thin films. Phys. Solid State 2003, 45, 1177–1184. [Google Scholar] [CrossRef]
- Levashov, E.A.; Shtansky, D.V. Multifunctional nanostructured films. Russ. Chem. Rev. 2007, 76, 463–470. [Google Scholar] [CrossRef]
- Takahashi, T.; Burghaus, J.; Music, D.; Dronskowski, R.; Schneider, J.M. Elastic properties of γ-Fe4N probed by nanoindentation and ab initio calculation. Acta Mater. 2012, 60, 2054–2060. [Google Scholar] [CrossRef]
- Speich, G.R.; Schwoeble, A.J.; Leslie, W.C. Elastic constants of binary iron-base alloys. Metall. Trans. 1972, 3, 2031–2037. [Google Scholar] [CrossRef]
- Herzer, G. Modern soft magnets: Amorphous and nanocrystalline materials. Acta Mater. 2013, 61, 718–734. [Google Scholar] [CrossRef]
- Liu, X.C.; Gao, J.L.; Xie, R.; Tang, T.; Tang, S.L.; Du, Y.W. Interplay of the magnetoelastic and shape anisotropy on the evolution of magnetic domain structure of amorphous Nd-Fe-B films. J. Magn. Magn. Mater. 2014, 358–359, 192–197. [Google Scholar] [CrossRef]
- O’Dell, T.H. Measurement of magnetomechanical coupling factor in amorphous ribbons. Phys. Stat. Sol. A 1982, 74, 565–572. [Google Scholar] [CrossRef]
- Wang, C.; Zhang, S.; Huang, Y.; Sang, T.; Cao, D.; Wang, X.; Xu, J.; Zhao, G.; Wang, C.; Li, S. Dynamic interlayer exchange coupling in magnetic anisotropic FeCoB/Ru/FeCoB sandwich trilayers. J. Magn. Magn. Mater. 2021, 527, 167801. [Google Scholar] [CrossRef]
- Liu, Z.Y.; Yu, G.H.; Wang, Z.C. Magnetic reversal and temperature dependence of coupling strength in two antiferromagnetically coupled Co/Pt multilayers. Phys. Rev. B 2005, 72, 064451. [Google Scholar] [CrossRef]
- Wu, H.C.; Mryasov, O.; Abid, M.; Radican, K.; Shvets, I.V. Magnetization States of All-Oxide Spin Valves Controlled by Charge-orbital Ordering of Coupled Ferromagnets. Sci. Rep. 2013, 3, 1830. [Google Scholar] [CrossRef] [PubMed]
- Koplak, O.; Talantsev, A.; Lu, Y.; Hamadeh, A.; Pirro, P.; Hauet, T.; Morgunov, R.; Mangin, S. Magnetization switching diagram of a perpendicular synthetic ferrimagnet CoFeB/Ta/CoFeB bilayer. J. Magn. Magn. Mater. 2017, 433, 91–97. [Google Scholar] [CrossRef]
- Neel, L. Sur un probleme de magnetostatique relatif a des couches minces ferromagnetiques. Comptes Rendus Hebd. Séances L’academie Sci. 1962, 255, 1545–1550. [Google Scholar]
- Neel, L. Sur un nouveau mode de couplage entre les aimantations de deux couches minces ferromagnetiques. Comptes Rendus Hebd. Séances L’academie Sci. 1962, 255, 1676–1681. [Google Scholar]
- Singh, A.K.; Hsu, J.-H.; Perumal, A. Temperature dependent magnetic coupling between ferromagnetic FeTaC layers in multilayer thin films. J. Magn. Magn. Mater. 2016, 418, 21–29. [Google Scholar] [CrossRef]
- Chopra, H.D.; Yang, D.X.; Chen, P.J.; Parks, D.C.; Egelhoff, W.F. Nature of coupling and origin of coercivity in giant magnetoresistance NiO-Co-Cu-based spin valves. Phys. Rev. B 2000, 61, 9642–9652. [Google Scholar] [CrossRef]
- Tao, B.S.; Barate, P.; Frougier, J.; Renucci, P.; Xu, B.; Djeffal, A.; Jaffrès, H.; George, J.-M.; Marie, X.; Petit-Watelot, S.; et al. Electrical spin injection into GaAs based light emitting diodes using perpendicular magnetic tunnel junction-type spin injector. Appl. Phys. Lett. 2016, 108, 152404. [Google Scholar] [CrossRef]
- Shimizu, O.; Oyanagi, M.; Morooka, A.; Mori, M.; Kurihashi, Y.; Tada, T.; Suzuki, H.; Harasawa, T. Development of advanced barium ferrite tape media. J. Magn. Magn. Mater. 2016, 400, 365–369. [Google Scholar] [CrossRef]
- Valkass, R.A.J.; Spicer, T.M.; Parra, E.B.; Hicken, R.J.; Bashir, M.A.; Gubbins, M.A.; Czoschke, P.J.; Lopusnik, R. Time-resolved scanning Kerr microscopy of flux beam formation in hard disk write heads. J. Appl. Phys. 2016, 119, 233903. [Google Scholar] [CrossRef]
- Furrer, S.; Lantz, M.A.; Reininger, P.; Pantazi, A.; Rothuizen, H.E.; Cideciyan, R.D.; Cherubini, G.; Haeberle, W.; Eleftheriou, E.; Tachibana, J.; et al. 201 Gb/in2 Recording Areal Density on Sputtered Magnetic Tape. IEEE Trans. Magn. 2018, 54, 7984852. [Google Scholar] [CrossRef]











| Series (*-**) | Chemical Composition | at.%N/ at.%Zr | t, µm | Ta, °C | vi Phase | a, Å | D, nm | ε, % |
|---|---|---|---|---|---|---|---|---|
| I (0–0) | Fe | – | 1.8 | As-deposited | ~1.00 α-Fe | 2.872 | 45.6 | 0.268 |
| II (2.4–5) | Fe92.2Zr3.0N4.8 | 1.6 | 0.9 | As-deposited | ~1.00 αFe(Zr,N) | 2.904 | 13.6 | 0.247 |
| 300 | ~1.00 αFe(Zr,N) | 2.900 | 14.0 | 0.301 | ||||
| 400 | ~1.00 αFe(Zr,N) | 2.898 | 14.8 | 0.270 | ||||
| 500 | ~1.00 αFe(Zr,N) | 2.883 | 18.4 | 0.301 | ||||
| 600 | ~1.00 αFe(Zr,N) | 2.877 | 21.4 | 0.302 | ||||
| III (5.3–5) | Fe83.0Zr9.5N7.5 | 0.8 | 0.8 | As-deposited | ~1.00 αFe(Zr,N) | 2.895 | 3.5 | 0.172 |
| 300 | ~1.00 αFe(Zr,N) | 2.889 | 4.1 | 0.169 | ||||
| 400 | ~1.00 αFe(Zr,N) | 2.884 | 3.8 | 0.151 | ||||
| 500 | ~1.00 αFe(Zr,N) | 2.881 | 4.0 | 0.204 | ||||
| 600 | ~1.00 αFe(Zr,N) | 2.871 | 6.9 | 0.075 | ||||
| IV (5.3–15) | Fe89.6Zr3.4N7.0 | 2.0 | 1.7 | As-deposited | 0.58 αFe(Zr,N) | 2.884 | 7.5 | 0.010 |
| 0.42 Fe4N | 3.819 | 8.1 | 0.243 | |||||
| 400 | 0.53 αFe(Zr,N) | 2.878 | 8.2 | 0.524 | ||||
| 0.47 Fe4N | 3.805 | 8.3 | 0.363 | |||||
| 500 | 0.48 αFe(Zr,N) | 2.872 | 8.6 | 0.432 | ||||
| 0.52 Fe4N | 3.801 | 8.5 | 0.252 | |||||
| V (2.4–15) | Fe88.7Zr4.4N6.9 | 1.6 | 1.7 | As-deposited | 0.58 αFe(Zr,N) | 2.887 | 2.0 | 0.066 |
| 0.42 Fe4N | 3.818 | 5.5 | 0.745 | |||||
| 400 | 0.61 αFe(Zr,N) | 2.887 | 2.0 | 0.093 | ||||
| 0.39 Fe4N | 3.821 | 6.7 | 0.635 | |||||
| 500 | 0.51 αFe(Zr,N) | 2.872 | 2.9 | 0.131 | ||||
| 0.49 Fe4N | 3.793 | 6.1 | 0.482 | |||||
| 600 | 0.28 αFe | 2.864 | 14.6 | 0.038 | ||||
| 0.57 Fe3N | – | 3.4 | 0.164 | |||||
| 0.15 ZrO2 | 5.087 | 3.7 | 0.379 | |||||
| VI (13.4–0) | Fe65.3Zr34.7 | 0 | 1.8 | As-deposited | ~1.00 XRD amorph. | – | – | – |
| 400 | ~1.00 XRD amorph. | – | – | – | ||||
| 500 | XRD amorph. | – | – | – | ||||
| fcc ZrO2 | 5.110 | 14.7 | – | |||||
| 600 | XRD amorph. | – | – | – | ||||
| fcc ZrO2 | 5.092 | 25.9 | – | |||||
| fcc FeZr2 | 12.092 | 5.4 | – | |||||
| fcc Fe2Zr | 7.019 | 16.4 | – |
| Series | Ta, °C | H, GPa | E, GPa | W, % |
|---|---|---|---|---|
| I | As-deposited | 16.1 | 174 | 55 |
| II | As-deposited | 17.5 | 292 | 83 |
| 600 | 14.4 | 231 | 78 | |
| III | As-deposited | 20.8 | 206 | 71 |
| IV | As-deposited | 13.7 | 157 | 57 |
| V | As-deposited | 18.7 | 166 | 73 |
| 600 | 14.5 | 161 | 69 | |
| VI | As-deposited | 14.8 | 249 | 73 |
| 500 | 18.7 | 211 | 72 |
Publisher’s Note: MDPI stays neutral with regard to jurisdictional claims in published maps and institutional affiliations. |
© 2021 by the authors. Licensee MDPI, Basel, Switzerland. This article is an open access article distributed under the terms and conditions of the Creative Commons Attribution (CC BY) license (https://creativecommons.org/licenses/by/4.0/).
Share and Cite
Sheftel, E.N.; Tedzhetov, V.A.; Harin, E.V.; Kiryukhantsev-Korneev, P.V.; Usmanova, G.S.; Zhigalina, O.M. FeZrN Films: Magnetic and Mechanical Properties Relative to the Phase-Structural State. Materials 2022, 15, 137. https://doi.org/10.3390/ma15010137
Sheftel EN, Tedzhetov VA, Harin EV, Kiryukhantsev-Korneev PV, Usmanova GS, Zhigalina OM. FeZrN Films: Magnetic and Mechanical Properties Relative to the Phase-Structural State. Materials. 2022; 15(1):137. https://doi.org/10.3390/ma15010137
Chicago/Turabian StyleSheftel, Elena N., Valentin A. Tedzhetov, Eugene V. Harin, Philipp V. Kiryukhantsev-Korneev, Galina S. Usmanova, and Olga M. Zhigalina. 2022. "FeZrN Films: Magnetic and Mechanical Properties Relative to the Phase-Structural State" Materials 15, no. 1: 137. https://doi.org/10.3390/ma15010137
APA StyleSheftel, E. N., Tedzhetov, V. A., Harin, E. V., Kiryukhantsev-Korneev, P. V., Usmanova, G. S., & Zhigalina, O. M. (2022). FeZrN Films: Magnetic and Mechanical Properties Relative to the Phase-Structural State. Materials, 15(1), 137. https://doi.org/10.3390/ma15010137

