Study on the Strength Performance of Recycled Aggregate Concrete with Different Ages under Direct Shearing
Abstract
1. Introduction
2. Experimental Program
2.1. Materials
2.2. Specimen Design
2.3. Test Setup and Method
3. Test Results
3.1. Failure Modes
3.2. Load–Displacement Curves
- (1)
- Elasticity stage (OA): In this stage, the lateral force increased linearly with lateral displacement. This stage was steeper with age accounting for a rise in stiffness of specimens. The lateral force was offset by cohesive force between mortar and aggregate. According to data analysis, the limit of elasticity was 70% of the direct shear strength.
- (2)
- Elastoplasticity stage (AB): Lateral force increased nonlinearly with lateral displacement in this stage. The lateral force was offset by aggregate interlock force and cohesive force between mortar and aggregate. Once lateral force attained the limit of elasticity, microcracks occurred in the specimen with the rise in this force, and the excess force was counterbalanced by aggregate interlock force. Microcracks connecting to each other formed a main vertical crack when lateral force reached the peak shear force of the specimen, accounting for brittle failure. The elastoplasticity stage was longer with increasing age. In other words, specimen brittleness decreased relative to age, and the failure of specimen interfaces and specimens occurred almost simultaneously at 3 days.
- (3)
- Plasticity stage (BC): Lateral force decreased sharply with rising lateral displacement in this stage, which relationship was nonlinear. The lateral force was counterbalanced by aggregate interlock force and interface friction force. The aggregate was smashed, and the interlocking force decreased with increasing displacement, and the lateral force decreased at a slow rate until stabilization was attained.
- (4)
- Stabilization stage (CD): In this stage, the lateral force changed within 5% with increasing lateral displacement. All coarse aggregates were smashed, and the shear failure planes of specimens were flat. The lateral force was offset by interface friction force.
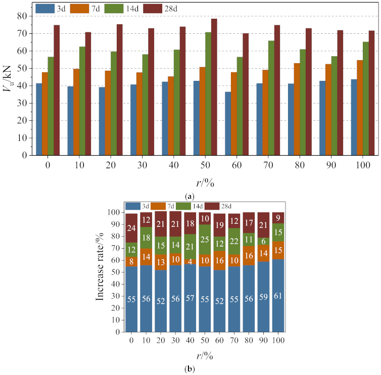
3.3. Characteristic Parameters
4. Discussions
4.1. Analysis of Peak Shear Force
4.1.1. The Influence of Age
4.1.2. The Influence of Replacement Ratio
4.2. Analysis of Residual Strength
4.2.1. The Influence of Age
4.2.2. The Influence of Replacement Ratio
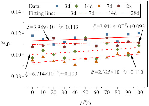
5. Shear Strength of RAC
5.1. Shear Strength Development Model
5.1.1. The Effect of Age on the Model
- when t = 0, Vt/V28®0;
- when t = 28, Vt/V28®0 and ∂(Vt/V28)/∂t®0.
- where α is strength coefficient of RAC related to the replacement ratio, which was obtained by fitting, as shown in Table 4. In general, the strength coefficient of RAC declines with a rising replacement ratio.
5.1.2. The Effect of Replacement Ratio on the Model
5.2. Relationship between Shear Strength with Cube Compressive Strength
6. Conclusions
- (1)
- Interface and coarse aggregate damage is the main reason for shear plane failure. At the age of 3 days, interface damage causes specimen failure. Both interface damage and coarse aggregate damage occur at other ages.
- (2)
- The shear load–displacement curve of RAC can be divided into four stages: elasticity stage, elastoplasticity stage, plasticity stage, and stabilization stage. The elastoplasticity stage of specimens shortens with age, indicating the relative decline of concrete brittleness.
- (3)
- The peak direct shear force of RAC improves to the range of 5.6% to 14.6% at other ages, compared to NAC at ages of 3 days, 7 days, 14 days. However, at the age of 28 days, it shows a 4.2% decline, compared to NAC. Residual strength decreases with the rise in the replacement ratio. The mean residual strength of RAC is lower, ranging from 5.19% to 7.89% for NAC, and its reduction diminishes with age.
- (4)
- Age is the decisive factor in the early direct shear strength of RAC instead of the replacement ratio. Considering replacement ratio and age, a direct strength calculating formula for RAC is established. The formula for calculating the compression–shear coefficient of recycled concrete at different ages is proposed.
Author Contributions
Funding
Institutional Review Board Statement
Informed Consent Statement
Data Availability Statement
Conflicts of Interest
Nomenclature
| a | Curve-fitting parameters in equation (1) of constitutive equation |
| fcu | Cube compressive strength |
| NAC | Natural aggregates concrete |
| r | Recycled coarse aggregates replacement ratio [%] |
| RAC | Recycled aggregate concrete |
| RAC-r | Recycled aggregate concrete with various coarse replacement ratios |
| Rs | Residual strength of concrete |
| Rsr | Residual strength of concrete with various coarse replacement ratios |
| R0 | Residual strength of natural aggregate concrete |
| s | Displacement of direct shear |
| t | Age of concrete |
| V | Shear force |
| Vt | Shear force of specimen at various days of age |
| Vu | Peak shear force |
| V28 | Shear force of specimen at 28 days of age |
| ξ | Compression-shear coefficient |
| τu | Shear strength of concrete |
References
- Corinaldesi, V. Mechanical and elastic behaviour of concretes made of recycled-concrete coarse aggregates. Constr. Build. Mater. 2010, 24, 1616–1620. [Google Scholar] [CrossRef]
- Tabsh, S.W.; Abdelfatah, A.S. Influence of recycled concrete aggregates on strength properties of concrete. Constr. Build. Mater. 2009, 23, 1163–1167. [Google Scholar] [CrossRef]
- Xiao, J.; Li, J.; Zhang, C. Mechanical properties of recycled aggregate concrete under uniaxial loading. Cem. Concr. Res. 2005, 35, 1187–1194. [Google Scholar] [CrossRef]
- Hu, X.; Lu, Q.; Xu, Z.; Zhang, W.; Cheng, S. Compressive stress-strain relation of recycled aggregate concrete under cyclic loading. Constr. Build. Mater. 2018, 193, 72–83. [Google Scholar] [CrossRef]
- Peng, Q.; Wang, L.; Lu, Q. Influence of recycled coarse aggregate replacement percentage on fatigue performance of recycled aggregate concrete. Constr. Build. Mater. 2018, 169, 347–353. [Google Scholar] [CrossRef]
- Xiao, J.; Li, H.; Yang, Z. Fatigue behavior of recycled aggregate concrete under compression and bending cyclic loadings. Constr. Build. Mater. 2013, 38, 681–688. [Google Scholar] [CrossRef]
- Chen, Y.; Chen, Z.; Xu, J.; Lui, E.M.; Wu, B. Performance evaluation of recycled aggregate concrete under multiaxial com-pression. Constr. Build. Mater. 2019, 229, 116935. [Google Scholar] [CrossRef]
- Chen, Z.; Chen, Y.; Yao, K. Experimental research on mechanical behavior and influence factor of recycled coarse aggregate concretes under tri-axial compression. J. Build. Struct. 2014, 35, 72–81. [Google Scholar]
- Deng, Z.; Wang, Y.; Sheng, J.; Hu, X. Strength and deformation of recycled aggregate concrete under triaxial compression. Constr. Build. Mater. 2017, 156, 1043–1052. [Google Scholar] [CrossRef]
- Meng, E.; Yu, Y.; Yuan, J.; Qiao, K.; Su, Y. Triaxial compressive strength experiment study of recycled aggregate concrete after high temperatures. Constr. Build. Mater. 2017, 155, 542–549. [Google Scholar] [CrossRef]
- Abousnina, R.; Manalo, A.; Ferdous, W.; Lokuge, W.; Benabed, B.; Al-Jabri, K.S. Characteristics, strength development and microstructure of cement mortar containing oil-contaminated sand. Constr. Build. Mater. 2020, 252, 119155. [Google Scholar] [CrossRef]
- Siddika, A.; Mamun MA, A.; Ferdous, W.; Saha, A.K.; Alyousef, R. 3D-printed concrete: Applications, performance, and challenges. J. Sustain. Cem.-Based Mater. 2019, 9, 127–164. [Google Scholar] [CrossRef]
- Zhang, Q.; Guo, Z. Study on shear strength and shear deformation of concrete. J. Build. Struct. 1992, 13, 17–24. [Google Scholar]
- French, R.; Maher, E.; Smith, M.; Stone, M.; Kim, J.; Krauthammer, T. Direct shear behavior in concrete materials. Int. J. Impact Eng. 2017, 108, 89–100. [Google Scholar] [CrossRef]
- Liu, B.; Feng, C.; Deng, Z. Shear behavior of three types of recycled aggregate concrete. Constr. Build. Mater. 2019, 217, 557–572. [Google Scholar] [CrossRef]
- Wong, R.; Ma, S.; Wong, R.; Chau, K. Shear strength components of concrete under direct shearing. Cem. Concr. Res. 2007, 37, 1248–1256. [Google Scholar] [CrossRef]
- Deng, Z.; Li, Z.; Yang, H.; Li, H. Mechanic behavior of recycled aggregate concrete subjected to compression-shear load-ing. J. Build. Struct. 2019, 40, 174–180. [Google Scholar]
- Yu, Z.; Huang, Q.; Xie, X.; Xiao, N. Experimental study and failure criterion analysis of plain concrete under combined com-pression-shear stress. Constr. Build. Mater. 2018, 179, 198–206. [Google Scholar] [CrossRef]
- Rahal, K. Shear strength of recycled aggregates concrete. Procedia Eng. 2017, 210, 105–108. [Google Scholar] [CrossRef]
- Wang, W.-L.; Kou, S.-C.; Xing, F. Deformation properties and direct shear of medium strength concrete prepared with 100% recycled coarse aggregates. Constr. Build. Mater. 2013, 48, 187–193. [Google Scholar] [CrossRef]
- Tang, W.; Khavarian, M.; Yousefi, A.; Chan, R.W.; Cui, H. Influence of Surface Treatment of Recycled Aggregates on Mechanical Properties and Bond Strength of Self-Compacting Concrete. Sustainability 2019, 11, 4182. [Google Scholar] [CrossRef]
- Ceia, F.; Raposo, J.; Guerra, M.; Júlio, E.; de Brito, J. Shear strength of recycled aggregate concrete to natural aggregate concrete interfaces. Constr. Build. Mater. 2016, 109, 139–145. [Google Scholar] [CrossRef]
- Gao, D.; Zhang, L.; Nokken, M. Mechanical behavior of recycled coarse aggregate concrete reinforced with steel fibers under direct shear. Cem. Concr. Compos. 2017, 79, 1–8. [Google Scholar] [CrossRef]
- Yang, H.; Qin, Y.; Liao, Y.; Chen, W. Shear behavior of recycled aggregate concrete after exposure to high temperatures. Constr. Build. Mater. 2016, 106, 374–381. [Google Scholar] [CrossRef]
- Waseem, S.A.; Singh, B. Shear transfer strength of normal and high-strength recycled aggregate concrete—An experimental investigation. Constr. Build. Mater. 2016, 125, 29–40. [Google Scholar] [CrossRef]
- Sucharda, O.; Mateckova, P.; Bilek, V. Non-Linear Analysis of an RC Beam without Shear Reinforcement with a Sensitivity Study of the Material Properties of Concrete. Slovak J. Civ. Eng. 2020, 28, 33–43. [Google Scholar] [CrossRef]
- Kim, J.; Han, S.H.; Song, Y.C. Effect of temperature and aging on the mechanical properties of concrete: Part I. Experi-mental results. Cem. Concr. Res. 2002, 32, 1087–1094. [Google Scholar] [CrossRef]
- Lew, H.S.; Reichard, T.W. Mechanical Properties of Concrete at Early Ages. ACI J. 1978, 75, 533–542. [Google Scholar]
- Han, S.-H.; Kim, J.-K. Effect of temperature and age on the relationship between dynamic and static elastic modulus of concrete. Cem. Concr. Res. 2004, 34, 1219–1227. [Google Scholar] [CrossRef]
- Nguyen, D.H.; Dao, V.T.; Lura, P. Tensile properties of concrete at very early ages. Constr. Build. Mater. 2017, 134, 563–573. [Google Scholar] [CrossRef]
- Velay-Lizancos, M.; Azenha, M.; Martínez-Lage, I.; Vázquez-Burgo, P. Addition of biomass ash in concrete: Effects on E-Modulus, electrical conductivity at early ages and their correlation. Constr. Build. Mater. 2017, 157, 1126–1132. [Google Scholar] [CrossRef]
- Velay-Lizancos, M.; Martinez-Lage, I.; Azenha, M.; Granja, J.; Vazquez-Burgo, P. Concrete with fine and coarse recycled aggregates: E-modulus evolution, compressive strength and non-destructive testing at early ages. Constr. Build. Mater. 2018, 193, 323–331. [Google Scholar] [CrossRef]
- Minping, H. Mechanical properties of recycled aggregate concrete at early ages. Concrete 2008, 223, 37–41. [Google Scholar]
- JGJ 52-2006. Standard for Technical Requirements and Test. Method of Sand and Crushed Stone (or Gravel) for Ordinary Concrete; China Archi-tecture & Building Press: Beijing, China, 2006. [Google Scholar]
- JGJ 55-2011. Specification for Mix Proportion Design of Ordinary Concrete; China Architecture & Building Press: Beijing, China, 2011. [Google Scholar]













| Type | Grading (mm) | WaterContent (%) | WaterAbsorption (%) | BulkDensity (kg/m3) | ApparentDensity (kg/m3) | CrushIndex (%) |
|---|---|---|---|---|---|---|
| Nature coarse aggregate | 5–20 | 0.098 | 0.309 | 1412 | 2714 | 19.89 |
| Recycled coarse aggregate | 5–20 | 0.715 | 1.68 | 1274 | 2579 | 22.8 |
| Ingredient | RAC-0 | RAC-10 | RAC-20 | RAC-30 | RAC-40 | RAC-50 | RAC-60 | RAC-70 | RAC-80 | RAC-90 | RAC-100 |
|---|---|---|---|---|---|---|---|---|---|---|---|
| Cement | 353.9 | 353.9 | 353.9 | 353.9 | 353.9 | 353.9 | 353.9 | 353.9 | 353.9 | 353.9 | 353.9 |
| Water | 195 | 197 | 199 | 201 | 203 | 205 | 206.9 | 208.9 | 210.9 | 212.9 | 214.9 |
| Sand | 666.4 | 666.4 | 666.4 | 666.4 | 666.4 | 666.4 | 666.4 | 666.4 | 666.4 | 666.4 | 666.4 |
| NAC | 1184.7 | 1066.2 | 947.8 | 829.3 | 710.8 | 592.4 | 473.9 | 355.4 | 236.9 | 118.5 | 0 |
| RAC | 0 | 118.5 | 236.9 | 355.4 | 473.9 | 592.4 | 710.8 | 829.3 | 947.8 | 1066.2 | 1184.7 |
| No. | RAC-0 | RAC-10 | RAC-20 | RAC-30 | RAC-40 | RAC-50 | RAC-60 | RAC-70 | RAC-80 | RAC-90 | RAC-100 | |
|---|---|---|---|---|---|---|---|---|---|---|---|---|
| 3 d | Vu/kN | 41.43 | 39.68 | 39.25 | 40.76 | 42.4 | 42.86 | 36.62 | 41.42 | 41.28 | 42.83 | 43.77 |
| Rs/kN | 10.72 | 10.08 | 9.14 | 10.41 | 10.3 | 10.09 | 10.79 | 9.25 | 9.62 | 9.91 | 9.14 | |
| fcu/MPa | 15.61 | 15.33 | 15.83 | 16.17 | 16.18 | 16.63 | 15.02 | 15.45 | 16.29 | 15.93 | 16.21 | |
| 7 d | Vu/kN | 47.76 | 49.78 | 48.73 | 47.71 | 45.41 | 50.86 | 47.87 | 49.16 | 52.98 | 52.56 | 54.72 |
| Rs/kN | 9.54 | 10.08 | 7.95 | 9.94 | 8.49 | 8.94 | 7.79 | 9.63 | 10.62 | 8.17 | 7.84 | |
| fcu/MPa | 22.37 | 22.52 | 23.07 | 22.81 | 22.23 | 23.59 | 22.72 | 22.35 | 23.3 | 22.98 | 23.64 | |
| 14 d | Vu/kN | 56.69 | 62.55 | 59.67 | 58.12 | 60.79 | 70.84 | 56.62 | 65.96 | 61.03 | 57 | 65.32 |
| Rs/kN | 10.1 | 9.9 | 9.21 | 9.2 | 10.08 | 10.49 | 8.73 | 8.61 | 8.48 | 9.72 | 9.61 | |
| fcu/MPa | 25.92 | 26.65 | 26.44 | 26.57 | 26.15 | 27.08 | 26.15 | 26.44 | 25.79 | 25.36 | 26.7 | |
| 28 d | Vu/kN | 74.93 | 70.88 | 75.38 | 73.13 | 74.03 | 78.53 | 70.2 | 74.93 | 73.13 | 72 | 71.78 |
| Rs/kN | 9.93 | 8.26 | 9.68 | 8.74 | 9.7 | 10.93 | 14.1 | 9.3 | 9.81 | 9.27 | 9.05 | |
| fcu/MPa | 30.93 | 29.01 | 28.96 | 30.23 | 29.85 | 30.45 | 28.84 | 28.74 | 29.96 | 28.52 | 28.67 | |
| ReplacementRatio/% | 0 | 10 | 20 | 30 | 40 | 50 | 60 | 70 | 80 | 90 | 100 |
|---|---|---|---|---|---|---|---|---|---|---|---|
| α | 0.364 | 0.303 | 0.372 | 0.345 | 0.346 | 0.330 | 0.352 | 0.327 | 0.301 | 0.289 | 0.248 |
Publisher’s Note: MDPI stays neutral with regard to jurisdictional claims in published maps and institutional affiliations. |
© 2021 by the authors. Licensee MDPI, Basel, Switzerland. This article is an open access article distributed under the terms and conditions of the Creative Commons Attribution (CC BY) license (https://creativecommons.org/licenses/by/4.0/).
Share and Cite
Liang, X.; Yan, F.; Chen, Y.; Wu, H.; Ye, P.; Mo, Y. Study on the Strength Performance of Recycled Aggregate Concrete with Different Ages under Direct Shearing. Materials 2021, 14, 2312. https://doi.org/10.3390/ma14092312
Liang X, Yan F, Chen Y, Wu H, Ye P, Mo Y. Study on the Strength Performance of Recycled Aggregate Concrete with Different Ages under Direct Shearing. Materials. 2021; 14(9):2312. https://doi.org/10.3390/ma14092312
Chicago/Turabian StyleLiang, Xin, Fang Yan, Yuliang Chen, Huiqin Wu, Peihuan Ye, and Yuhuan Mo. 2021. "Study on the Strength Performance of Recycled Aggregate Concrete with Different Ages under Direct Shearing" Materials 14, no. 9: 2312. https://doi.org/10.3390/ma14092312
APA StyleLiang, X., Yan, F., Chen, Y., Wu, H., Ye, P., & Mo, Y. (2021). Study on the Strength Performance of Recycled Aggregate Concrete with Different Ages under Direct Shearing. Materials, 14(9), 2312. https://doi.org/10.3390/ma14092312

