Structural Response of Steel Jacket-UHPC Retrofitted Reinforced Concrete Columns under Blast Loading
Abstract
1. Introduction
2. Experimental Program
2.1. Material Properties
2.2. Column Testing
3. Modeling, Analysis and Discussion
3.1. Sectional Analysis
3.2. Finite Element Model Validation
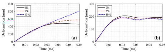
3.3. Blast Loading Simulations
3.4. Progressive Collapse Simulations
4. Conclusions
- The confinement provided by the UHPC and steel layer increased the peak and residual capacity of the undamaged column. The residual capacity of the composite section was higher by a factor of 3.7 in the uniaxial compression loading scenario at 40 mm axial deformation.
- The investigated retrofitting method was found to improve the residual axial capacity of the column subjected to the blast load by protecting the NSC core from the plastic hinging at mid-height. In the case study, for a 400 mm diameter single column, a 30 mm UHPC layer and a 5 mm steel jacket, the axial capacity of the column was increased by a factor of 2.70. The maximum deformation in the mid-height of the RC column was 2.29 times that of the composite column.
- Considering the results from the detailed frame model, the residual strength of the composite column with the service load equal to 5.3% of the ultimate axial capacity was 1.96 times that of the RC column and the energy dissipation capacity was 1.74 times that of the RC column. The lateral displacement in the RC column at mid-height of the first story was 3.19 times that in the composite section.
- The results also showed that the application of axial load can reduce the lateral displacement of the column under blast load and thus the marginal extra weight from the retrofitting system is beneficial to the structural performance.
Author Contributions
Funding
Institutional Review Board Statement
Informed Consent Statement
Data Availability Statement
Acknowledgments
Conflicts of Interest
References
- Xu, J.; Wu, C.; Xiang, H.; Su, Y.; Li, Z.-X.; Fang, Q.; Hao, H.; Liu, Z.; Zhang, Y.; Li, J. Behaviour of ultra high performance fibre reinforced concrete columns subjected to blast loading. Eng. Struct. 2016, 118, 97–107. [Google Scholar] [CrossRef]
- Astarlioglu, S.; Krauthammer, T. Response of normal-strength and ultra-high-performance fiber-reinforced concrete columns to idealized blast loads. Eng. Struct. 2014, 61, 1–12. [Google Scholar] [CrossRef]
- Fehling, E.; Schmidt, M.; Walraven, J.; Leutbecher, T.; Fröhlich, S. Ultra-High Performance Concrete UHPC: Fundamentals, Design, Examples; John Wiley & Sons: Hoboken, NJ, USA, 2014. [Google Scholar]
- Goswami, A.; Adhikary, S.D. Retrofitting materials for enhanced blast performance of Structures: Recent advancement and challenges ahead. Constr. Build. Mater. 2019, 204, 224–243. [Google Scholar] [CrossRef]
- Corley, W.; Sozen, M.; Thornton, C.; Mlakar, P. The Oklahoma City Bombing: Improving Building Performance through Multi-Hazard Mitigation; American Society of Civil Engineers: Washington, DC, USA, 1996; p. 35. [Google Scholar]
- Zhang, F.; Wu, C.; Zhao, X.-L.; Xiang, H.; Li, Z.-X.; Fang, Q.; Liu, Z.; Zhang, Y.; Heidarpour, A.; Packer, J.A. Experimental study of CFDST columns infilled with UHPC under close-range blast loading. Int. J. Impact Eng. 2016, 93, 184–195. [Google Scholar] [CrossRef]
- Wang, H.; Wu, C.; Zhang, F.; Fang, Q.; Xiang, H.; Li, P.; Li, Z.; Zhou, Y.; Zhang, Y.; Li, J. Experimental study of large-sized concrete filled steel tube columns under blast load. Constr. Build. Mater. 2017, 134, 131–141. [Google Scholar] [CrossRef]
- Li, M.; Zong, Z.; Hao, H.; Zhang, X.; Lin, J.; Xie, G. Experimental and numerical study on the behaviour of CFDST columns subjected to close-in blast loading. Eng. Struct. 2019, 185, 203–220. [Google Scholar] [CrossRef]
- Kyei, C.; Braimah, A. Effects of transverse reinforcement spacing on the response of reinforced concrete columns subjected to blast loading. Eng. Struct. 2017, 142, 148–164. [Google Scholar] [CrossRef]
- CAN. Design of concrete structures. In CSA A23.3-04; Canadian Standards Association: Mississauga, ON, Canada, 2004. [Google Scholar]
- Siba, F. Near-Field Explosion Effects on Reinforced Concrete Columns: An Experimental Investigation; Carleton University: Ottawa, ON, Canada, 2014. [Google Scholar]
- Esmaeilnia Omran, M.; Mollaei, S. Investigation of axial strengthened reinforced concrete columns under lateral blast loading. Shock Vib. 2017, 2017, 3252543. [Google Scholar] [CrossRef]
- Wang, W.; Wu, C.; Li, J. Numerical simulation of hybrid FRP-concrete-steel double-skin tubular columns under close-range blast loading. J. Compos. Constr. 2018, 22, 04018036. [Google Scholar] [CrossRef]
- Thai, D.K.; Pham, T.H.; Nguyen, D.L. Damage assessment of reinforced concrete columns retrofitted by steel jacket under blast loading. Struct. Des. Tall Spec. Build. 2020, 29, e1676. [Google Scholar] [CrossRef]
- Cui, Y.; Song, M.; Qu, Z.; Sun, S.; Zhao, J. Research on Damage Assessment of Concrete-Filled Steel Tubular Column Subjected to Near-Field Blast Loading. Shock Vib. 2020, 2020, 8883711. [Google Scholar]
- Huang, H.; Han, L.-H.; Tao, Z.; Zhao, X.-L. Analytical behaviour of concrete-filled double skin steel tubular (CFDST) stub columns. J. Constr. Steel Res. 2010, 66, 542–555. [Google Scholar] [CrossRef]
- Dassault Systèmes Simulia Corp. ABAQUS Theory Manuals; v6.14; Dassault Systèmes Simulia Corp.: Providence, RI, USA, 2014. [Google Scholar]
- ASTM. Standard Test Method for Compressive Strength of Cylindrical Concrete Specimens. In ASTM C39/C39M-16b; American Society of Testing Materials West Conshohocken: West Conshohocken, PA, USA, 2016. [Google Scholar]
- ASTM. Standard Test Method for Splitting Tensile Strength of Cylindrical Concrete Specimens. In ASTM C496/C496M-11; American Society of Testing Materials (ASTM): West Conshohocken, PA, USA, 2004. [Google Scholar]
- ASTM. Standard test method for flexural strength of concrete (using simple beam with third-point loading). In ASTM C78; American Society of Testing Materials West Conshohocken: West Conshohocken, PA, USA, 2010; Volume 100. [Google Scholar]
- ASTM. Standard Test Method for Static Modulus of Elasticity and Poisson’s Ratio of Concrete in Compression. In ASTM C469/C469M-14; ASTM International: West Conshohocken, PA, USA, 2014. [Google Scholar]
- Computers and Structures Inc. CSiCOL User Manual; v9; Computers and Structures Inc.: Walnut Creek, CA, USA, 2020. [Google Scholar]
- ACI. Guide to Simplified Design for Reinforced Concrete Buildings. In ACI 314R-16; American Concrete Institute: Farmington Hills, MI, USA, 2014. [Google Scholar]
- MathWorks. MATLAB R2019a; MathWorks, Inc.: Natick, MA, USA, 2018. [Google Scholar]
- Lubliner, J.; Oliver, J.; Oller, S.; Onate, E. A plastic-damage model for concrete. Int. J. Solids Struct. 1989, 25, 299–326. [Google Scholar] [CrossRef]
- Zangeneh Kamali, A. Shear Strength of Reinforced Concrete Beams Subjected to Blast Loading: Non-Linear Dynamic Analysis; KTH Royal Institute of Technology: Stockholm, Sweden, 2012. [Google Scholar]
- Genikomsou, A.S.; Polak, M.A. Finite element analysis of punching shear of concrete slabs using damaged plasticity model in ABAQUS. Eng. Struct. 2015, 98, 38–48. [Google Scholar] [CrossRef]
- ASTM. Standard Specification for Carbon Structural Steel. In A36/A36M; ASTM International: West Conshohocken, PA, USA, 2014. [Google Scholar]
- ASTM. Standard Specification for Deformed and Plain Carbon-Steel Bars for Concrete Reinforcement. In ASTM A615/A615M-16; ASTM International: West Conshohocken, PA, USA, 2016. [Google Scholar]
- Baker, W.E. Explosions in Air; University of Texas Press: Austin, TX, USA, 1973. [Google Scholar]
- Kingery, C.N.; Bulmash, G. Airblast Parameters from TNT Spherical Air Burst and Hemispherical Surface Burst; U.S. Army Armament and Development Center, Ballistic Research Laboratory: Adelphi, MD, USA, 1984. [Google Scholar]
- Mander, J.; Priestley, M.; Park, R. Observed stress-strain behavior of confined concrete. J. Struct. Eng. 1988, 114, 1827–1849. [Google Scholar] [CrossRef]
- Han, L.-H.; Liu, W.; Yang, Y.-F. Behavior of thin walled steel tube confined concrete stub columns subjected to axial local compression. Thin-Walled Struct. 2008, 46, 155–164. [Google Scholar] [CrossRef]
- ACI. Building code requirements for structural concrete and commentary. In ACI 318-14R; American Concrete Institute Farmington Hills: Farmington Hills, MI, USA, 2014. [Google Scholar]
- ASCE. Minimum Design Loads and Associated Criteria for Buildings and Other Structures. In ASCE/SEI 7-16; American Society of Civil Engineers Reston: Reston, VA, USA, 2016. [Google Scholar]































| No. | Study | Year | Methodology | Retrofit Scheme |
|---|---|---|---|---|
| 1 | Cui et al. [15] | 2020 | FE 1 | Steel jacket |
| 2 | Thai et al. [14] | 2020 | FE | Steel jacket |
| 3 | Li et al. [8] | 2019 | FE + EXP. 2 | Concrete-filled double-skin tube |
| 4 | Wang et al. [13] | 2018 | FE | FRP-concrete-steel tube |
| 5 | Wang et al. [7] | 2017 | EXP. | Steel jacket |
| 6 | Omran and Mollaei [12] | 2017 | FE and EXP. | Steel jacket |
| 7 | Kyie and Braimah [9] | 2017 | FE | RC with improved stirrup spacing |
| 8 | Zhang et al. [6] | 2016 | EXP. | Concrete-filled double-skin tube |
| Components | Weight Ratio | Max. Particle Size | |
|---|---|---|---|
| UHPC 1 | NSC 2 | (µm) | |
| Cement (Type I/II) | 1.00 | 1.00 | 200 |
| SF Densified (Gry from Norchem) | 0.25 | 0.00 | 20 |
| Silica Powder (SCS40 from US Silica) | 0.25 | 0.00 | 250 |
| Fine Sand (L60 from US Silica) | 0.40 | 1.20 | 600 |
| Coarse Sand (GS#22 from US Silica) | 0.60 | 2.00 | 2000 |
| Water | 0.27 | 0.40 | - |
| HRWR 3 (Sikament 2110) | 0.02 | 0.00 | - |
| Property | NSC 1 | UHPC 2 | Standard |
|---|---|---|---|
| Compressive Strength (MPa) | 42 | 146.2 | ASTM C39 [18] |
| Split Tensile Strength (MPa) | 4.3 | 15.1 | ASTM C496 [19] |
| Direct Tensile Strength (MPa) | N.A. 3 | 10.2 | N.A. |
| Modulus of Rupture (MPa) | 4.1 | 17.6 | ASTM C78 [20] |
| Modulus of Elasticity (GPa) | 27 | 41 | ASTM C469 [21] |
| Parameter | Notation | NSC 1 | UHPC 2 |
|---|---|---|---|
| Dilation Angle | 38 | 10 | |
| Flow Potential Eccentricity | ϵ | 0.1 | 0.1 |
| Biaxial/Uniaxial Compression Plastic Stress Ratio | fb0/fc | 1.16 | 1.10 |
| Second Stress Invariant Ratio | Κc | 0.667 | 0.667 |
| Viscosity Parameter | µ | 0.0001 | 0.0001 |
| Density (kg/m3) | ρ | 2400 | 2500 |
| Poisson’s Ratio | γ | 0.19 | 0.2 |
| Modulus of Elasticity (GPA) | E | 31 | 39 |
| Compressive Strength (MPa) | f’c | 42 | 146 |
Publisher’s Note: MDPI stays neutral with regard to jurisdictional claims in published maps and institutional affiliations. |
© 2021 by the authors. Licensee MDPI, Basel, Switzerland. This article is an open access article distributed under the terms and conditions of the Creative Commons Attribution (CC BY) license (http://creativecommons.org/licenses/by/4.0/).
Share and Cite
Hanifehzadeh, M.; Aryan, H.; Gencturk, B.; Akyniyazov, D. Structural Response of Steel Jacket-UHPC Retrofitted Reinforced Concrete Columns under Blast Loading. Materials 2021, 14, 1521. https://doi.org/10.3390/ma14061521
Hanifehzadeh M, Aryan H, Gencturk B, Akyniyazov D. Structural Response of Steel Jacket-UHPC Retrofitted Reinforced Concrete Columns under Blast Loading. Materials. 2021; 14(6):1521. https://doi.org/10.3390/ma14061521
Chicago/Turabian StyleHanifehzadeh, Mohammad, Hadi Aryan, Bora Gencturk, and Dovlet Akyniyazov. 2021. "Structural Response of Steel Jacket-UHPC Retrofitted Reinforced Concrete Columns under Blast Loading" Materials 14, no. 6: 1521. https://doi.org/10.3390/ma14061521
APA StyleHanifehzadeh, M., Aryan, H., Gencturk, B., & Akyniyazov, D. (2021). Structural Response of Steel Jacket-UHPC Retrofitted Reinforced Concrete Columns under Blast Loading. Materials, 14(6), 1521. https://doi.org/10.3390/ma14061521

