Study of a Gate-Engineered Vertical TFET with GaSb/GaAs0.5Sb0.5 Heterojunction
Abstract
1. Introduction
2. Methods
3. Results and Discussion
3.1. The Effects of Composition Changes in GaAsySb1−y on the DMG-HD-VTFET Transfer Characteristics
3.2. The Physical Mechanism of DMG-HD-VTFET
3.3. The Input Characteristics
3.4. The Output Characteristics
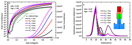
3.5. Effect of Device Parameters on the Transfer Characteristics
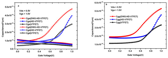
3.6. Comparison in Terms of Analog/RF Performance
4. Conclusions
Author Contributions
Funding
Institutional Review Board Statement
Informed Consent Statement
Data Availability Statement
Conflicts of Interest
References
- Choi, W.Y.; Park, B.G.; Lee, J.D.; Liu, T.J.K. Tunneling field-effect transistors (TFETs) with subthreshold swing (SS) less than 60 mV/Dec. IEEE Electron Device Lett. 2007, 28, 743–745. [Google Scholar] [CrossRef]
- Nagavarapu, V.; Jhaveri, R.; Woo, J.C. The tunnel source (PNPN) n-MOSFET: A novel high performance transistor. IEEE Trans. Electron Devices 2008, 55, 1013–1019. [Google Scholar] [CrossRef]
- Yang, Z. Tunnel Field-Effect Transistor with an L-Shaped Gate. IEEE Trans. Electron Devices 2016, 37, 839–842. [Google Scholar] [CrossRef]
- Luo, Z.; Wang, H.; An, N.; Zhu, Z. A Tunnel Dielectric-Based Tunnel FET. IEEE Electron Device Lett. 2015, 36, 966–968. [Google Scholar] [CrossRef]
- Han, G.; Guo, P.; Yang, Y.; Zhan, C.; Zhou, Q.; Yeo, Y.C. Silicon-based tunneling field-effect transistor with elevated germanium source formed on (110) silicon substrate. Appl. Phys. Lett. 2011, 98, 153502. [Google Scholar] [CrossRef]
- Anghel, C.; Gupta, A.; Amara, A.; Vladimirescu, A. 30-nm Tunnel FET with Improved Performance and Reduced Ambipolar Current. IEEE Trans. Electron Devices 2011, 58, 1649–1654. [Google Scholar] [CrossRef]
- Shaikh, M.R.U.; Loan, S.A. Drain-Engineered TFET with Fully Suppressed Ambipolarity for High-Frequency Application. IEEE Trans. Electron Devices 2019, 66, 1628–1634. [Google Scholar] [CrossRef]
- Rawat, B.; Paily, R. Analysis of Graphene Tunnel Field-Effect Transistors for Analog/RF Applications. IEEE Trans. Electron Devices 2015, 62, 2663–2669. [Google Scholar] [CrossRef]
- Kim, J.H.; Kim, S.; Park, B.-G. Symmetric U-Shaped Gate Tunnel Field-Effect Transistor. IEEE Trans. Electron Devices 2017, 64, 1343–1349. [Google Scholar]
- Min, J.; Wu, J.; Taur, Y. Analysis of Source Doping Effect in Tunnel FETs with Staggered Bandgap. IEEE Electron Device Lett. 2015, 36, 1094–1096. [Google Scholar] [CrossRef]
- Kim, S.W.; Kim, J.H.; Liu, T.J.K.; Choi, W.Y.; Park, B.G. Demonstration of L-Shaped Tunnel Field-Effect Transistors. IEEE Trans. Electron Devices 2016, 63, 1774–1778. [Google Scholar] [CrossRef]
- Li, W.; Liu, H.; Wang, S.; Chen, S.; Yang, Z. Design of High Performance Si/SiGe Heterojunction Tunneling FETs with a T-Shaped Gate. Nanoscale Res. Lett. 2017, 12, 1–8. [Google Scholar] [CrossRef]
- Lee, H.; Park, S.; Lee, Y.; Nam, H.; Shin, C. Random variation analysis and variation-aware design of symmetric tunnel field-effect transistor. IEEE Trans. Electron Devices 2015, 62, 1778–1783. [Google Scholar]
- Bagga, N.; Kumar, A.; Dasgupta, S. Demonstration of a Novel Two Source Region Tunnel FET. IEEE Trans. Electron Devices 2017, 64, 5256–5261. [Google Scholar] [CrossRef]
- Najam, F.; Yu, Y.S. Impact of Quantum Confinement on Band-to-Band Tunneling of Line-Tunneling Type L-Shaped Tunnel Field-Effect Transistor. IEEE Trans. Electron Devices 2019, 66, 2010–2016. [Google Scholar] [CrossRef]
- Amat, E.; Kluepfel, F.; Bausells, J.; Perez-Murano, F. Influence of Quantum Dot Characteristics on the Performance of Hybrid SET-FET Circuits. IEEE Trans. Electron Devices 2019, 66, 4461–4467. [Google Scholar] [CrossRef]
- Tripathy, M.R.; Singh, A.K.; Baral, K.; Singh, P.K.; Jit, S. III-V/Si staggered heterojunction based source-pocket engineered vertical TFETs for low power applications. Superlattices Microstruct. 2020, 142. [Google Scholar] [CrossRef]
- Kim, J.H.; Kim, S.; Park, B.G. Double-gate TFET with Vertical Channel Sandwiched by Lightly Doped Si. IEEE Trans. Electron Devices 2019, 66, 1656–1661. [Google Scholar] [CrossRef]
- Tripathy, M.R.; Singh, A.K.; Samad, A.; Chander, S.; Baral, K.; Singh, P.K.; Jit, S. Device and Circuit-Level Assessment of GaSb/Si Heterojunction Vertical Tunnel-FET for Low-Power Applications. IEEE Trans. Electron Devices 2020, 67, 1285–1292. [Google Scholar] [CrossRef]
- Lee, H.; Park, J.D.; Shin, C. Performance Booster for Vertical Tunnel Field Effect Transistor: Field-Enhanced High-κ Layer. IEEE Electron Device Lett. 2016, 37, 1383–1386. [Google Scholar] [CrossRef]
- Li, W.; Jason, C.; Woo, S. Vertical P-TFET with a P-Type SiGe Pocket. IEEE Trans. Electron Devices 2020, 67, 1480–1484. [Google Scholar] [CrossRef]
- Chen, F.; Ilatikhameneh, H.; Tan, Y.; Klimeck, G.; Rahman, R. Switching mechanism and the scalability of vertical-TFETs. IEEE Trans. Electron Devices 2018, 65, 3065–3068. [Google Scholar] [CrossRef]
- Devi, W.V.; Bhowmick, B.; Pukhrambam, P.D. N+ Pocket-Doped Vertical TFET for Enhanced Sensitivity in Biosensing Applications: Modeling and Simulation. IEEE Trans. Electron Devices 2020, 67, 2133–2139. [Google Scholar] [CrossRef]
- Vanlalawpuia, K.; Bhowmick, B. Investigation of a Ge-Source Vertical TFET with Delta-Doped Layer. IEEE Trans. Electron Devices 2019, 66, 4439–4445. [Google Scholar] [CrossRef]
- Ahn, Y.; Shin, M. Efficient Atomistic Simulation of Heterostructure Field-Effect Transistors. IEEE J. Electron Devices Soc. 2019, 7, 668–676. [Google Scholar] [CrossRef]
- Memisevic, E.; Svensson, J.; Lind, E.; Wernersson, L.E. InAs/InGaAsSb/GaSb Nanowire Tunnel Field-Effect Transistors. IEEE Trans. Electron Devices 2017, 64, 4746–4751. [Google Scholar] [CrossRef]
- Moselund, K.E.; Schmid, H.; Bessire, C.; Bjork, M.T.; Ghoneim, H.; Riel, H. InAs–Si Nanowire Heterojunction Tunnel FETs. IEEE Electron Device Lett. 2012, 33, 1453–1455. [Google Scholar] [CrossRef]
- Choi, Y.; Hong, Y.; Ko, E.; Shin, C. Optimization of double metal-gate InAs/Si heterojunction nanowire TFET. Semicond. Sci/ Technol. 2020, 35, 075024. [Google Scholar] [CrossRef]
- Hurkx, G.A.M.; Klaassen, D.B.M.; Knuvers, M.P.G. A New Recombination Model for Device Simulation Including Tunneling. IEEE Trans. Electron Devices 1992, 39, 331–338. [Google Scholar] [CrossRef]
- Schenk, A. Rigorous Theory and Simplified Model of the Band-to-Band Tunneling in Silicon. Solid-State Electron. 1993, 36, 19–34. [Google Scholar] [CrossRef]
- Huldt, L.; Nilsson, N.G.; Svantesson, K.G. The temperature dependence of band to band Auger recombination in silicon. Appl. Phys. Lett. 1979, 35, 776–777. [Google Scholar] [CrossRef]
- Wang, W.; Wang, P.F.; Zhang, C.M.; Lin, X.; Liu, X.Y.; Sun, Q.Q.; Zhou, P.; Zhang, D.W. Design of U-Shape Channel Tunnel FETs With SiGe Source Regions. IEEE Trans. Electron Devices 2014, 61, 193–196. [Google Scholar] [CrossRef]
- Raad, B.R.; Sharma, D.; Kondekar, P.; Nigam, K.; Baronia, S. DC and analog/RF performance optimisation of source pocket dual work function TFET. Int. J. Electron. 2017, 104, 1992–2006. [Google Scholar] [CrossRef]
- Chen, S.; Liu, H.; Wang, S.; Li, W.; Wang, X.; Zhao, L. Analog/RF Performance of T-Shape Gate Dual-Source Tunnel Field-Effect Transistor. Nanoscale Res. Lett. 2020, 13, 1. [Google Scholar] [CrossRef]
- Xie, H.; Liu, H.; Chen, S.; Han, T.; Wang, S. Design and Investigation of a Dual Material Gate Arsenic Alloy Heterostructure Junctionless TFET with a Lightly Doped Source. Appl. Sci. 2019, 9, 4104. [Google Scholar] [CrossRef]
- Xie, H.; Liu, H.; Chen, S.; Han, T.; Wang, S. Electrical performance of InAs/GaAs0.1Sb0.9 heterostructure junctionless TFET with dual-material gate and Gaussian-doped source. Semicond. Sci. Technol. 2020, 35, 095004. [Google Scholar] [CrossRef]
- Xie, H.; Liu, H.; Wang, S.; Chen, S.; Han, T.; Li, W. Improvement of Electrical Performance in Heterostructure Junctionless TFET Based on Dual Material Gate. Appl. Sci. 2020, 10, 126. [Google Scholar] [CrossRef]
- Bryllert, T.; Wernersson, L.E.; Froberg, L.E.; Samuelson, L. Vertical High-Mobility Wrap-Gated InAs Nanowire Transistor. IEEE Electron Device Lett. 2006, 27, 1453–1455. [Google Scholar] [CrossRef]
- Madan, J.; Gupta, R.S.; Chaujar, R. Performance investigation of heterogeneous gate dielectric-gate metal engineered–gate all around-tunnel FET for RF applications. Semicond. Sci. Technol. 2017, 23, 4081–4090. [Google Scholar] [CrossRef]
- Tripathy, M.R.; Singh, A.K.; Samad, A.; Singh, P.K.; Baral, K.; Jit, S. Impact of heterogeneous gate dielectric on DC, RF and circuit-level performance of source-pocket engineered Ge/Si heterojunction vertical TFET. Semicond. Sci. Technol. 2020, 35, 105014. [Google Scholar] [CrossRef]












| Parameter Name | VTFET | HD-VTFET | DMG-HD-VTFET |
|---|---|---|---|
| Length of source (LS/nm) | 10 | 10 | 10 |
| Length of substrate (LSUB/nm) | 30 | 30 | 30 |
| Height of source (HS/nm) | 20 | 20 | 20 |
| Height of pocket (HP/nm) | 5 | 5 | 5 |
| Height of channel (HC/nm) | 20 | 20 | 20 |
| Height of drain (LD/nm) | 20 | 20 | 20 |
| Length of gate (HG/nm) | 25 | 25 | |
| Length of tunnel gate (HTG/nm) | 5 | ||
| Length of control gate (HCG/nm) | 20 | ||
| Thickness of SiO2 and HfO2 (TOX/nm) | 2 | 2 | 2 |
| Length of high-k dielectric (LHK/nm) | 5 | 5 | |
| Length of SiO2 (LLK/nm) | 25 | 20 | 20 |
| Work function of gate (ΦG/eV) | 4.4 | 4.4 | |
| Work function of tunnel gate (ΦM1/eV) | 4.4 | ||
| Work function of control gate (ΦM2/eV) | 4.1 | ||
| Source doping concentration (NS/cm−3) | 2 × 1019 | 2 × 1019 | 2 × 1019 |
| Pocket doping concentration (NP/cm−3) | 1 × 1019 | 1 × 1019 | 1 × 1019 |
| Channel doping concentration (NC/cm−3) | 5 × 1016 | 5 × 1016 | 5 × 1016 |
| Drain doping concentration (ND/cm−3) | 5 × 1018 | 5 × 1018 | 5 × 1018 |
| VTFET | HD-VTFET | DMG-HD-VTFET | |
|---|---|---|---|
| Vmin (V) | 0.16 | 0.20 | 0 |
| Vt (V) | 0.30 | 0.33 | 0.14 |
| Ion (A/μm) | 9.25 × 10−5 | 1.88 × 10−4 | 2.92 × 10−4 |
| Ioff | 1.30 × 10−17 | 2.43 × 10−17 | 1.1 × 10−16 |
| Ion/Ioff | 7.12 × 1012 | 7.74 × 1012 | 2.66 × 1012 |
| SSave (mV/Dec) | 15.8 | 13.3 | 18.1 |
| gm (S/μm) | 2.31 × 10−4 | 5.55 × 10−4 | 6.46 × 10−4 |
| gds (S/μm) | 4.52 × 10−4 | 6.40 × 10−4 | 1.09 × 10−3 |
Publisher’s Note: MDPI stays neutral with regard to jurisdictional claims in published maps and institutional affiliations. |
© 2021 by the authors. Licensee MDPI, Basel, Switzerland. This article is an open access article distributed under the terms and conditions of the Creative Commons Attribution (CC BY) license (http://creativecommons.org/licenses/by/4.0/).
Share and Cite
Xie, H.; Chen, Y.; Liu, H.; Guo, D. Study of a Gate-Engineered Vertical TFET with GaSb/GaAs0.5Sb0.5 Heterojunction. Materials 2021, 14, 1426. https://doi.org/10.3390/ma14061426
Xie H, Chen Y, Liu H, Guo D. Study of a Gate-Engineered Vertical TFET with GaSb/GaAs0.5Sb0.5 Heterojunction. Materials. 2021; 14(6):1426. https://doi.org/10.3390/ma14061426
Chicago/Turabian StyleXie, Haiwu, Yanning Chen, Hongxia Liu, and Dan Guo. 2021. "Study of a Gate-Engineered Vertical TFET with GaSb/GaAs0.5Sb0.5 Heterojunction" Materials 14, no. 6: 1426. https://doi.org/10.3390/ma14061426
APA StyleXie, H., Chen, Y., Liu, H., & Guo, D. (2021). Study of a Gate-Engineered Vertical TFET with GaSb/GaAs0.5Sb0.5 Heterojunction. Materials, 14(6), 1426. https://doi.org/10.3390/ma14061426

