Polymer-Bitumen Interaction: A Correlation Study with Six Different Bitumens to Investigate the Influence of SARA Fractions on the Phase Stability, Swelling, and Thermo-Rheological Properties of SBS-PmB
Abstract
1. Introduction
2. Materials and Methods
2.1. Methods
2.2. Materials
3. Results and Discussion
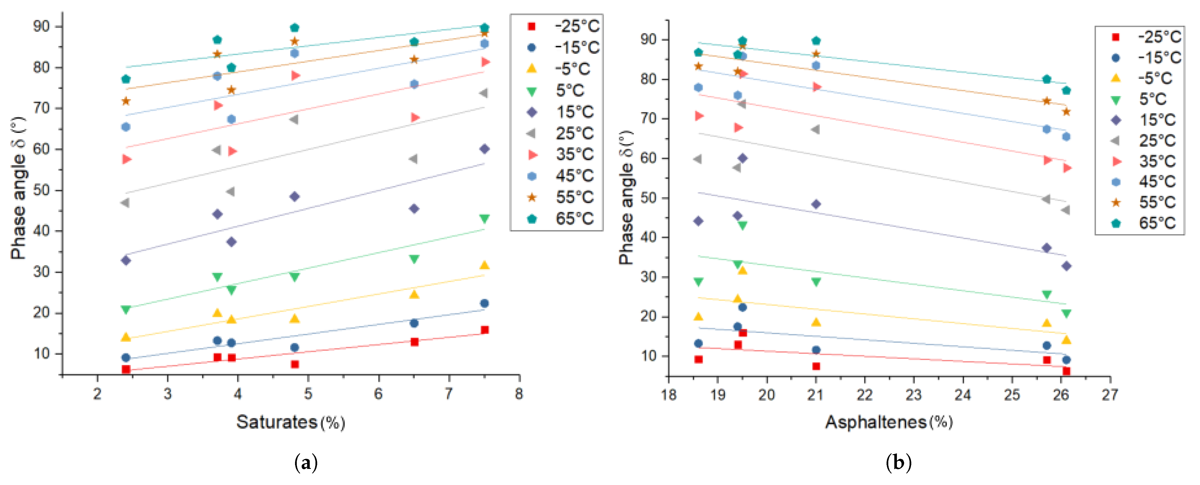
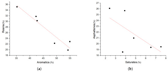
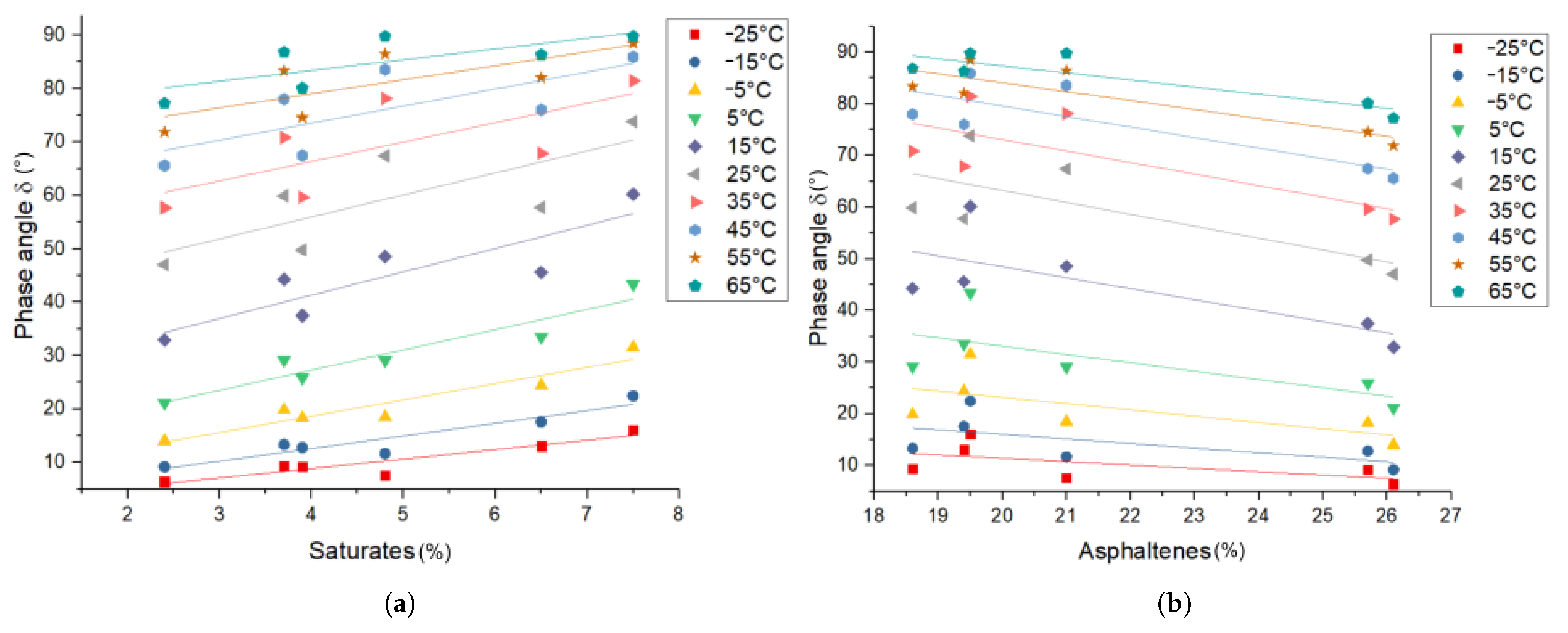
3.1. Crude Bitumen
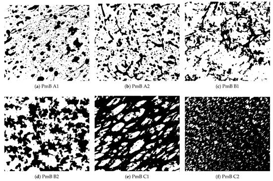
3.2. Polymer Modified Bitumen
4. Conclusions
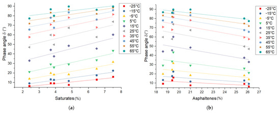
- A higher saturate content decreases |G*| and T and increases the phase angle.
- A higher asphaltene content increases |G*| and decreases the phase angle.
- The aromatics and resin content does not correlate with |G*|, T, or the phase angle, which may be due to them exhibiting opposite effects and being correlated in the considered data set.
- The amount of swelling is found to be determined by the saturate content of bitumen (primarily, saturates migrate into the polymer-rich phase, causing swelling).
- The polymer-rich phase content is stable or increases with temperature, resulting in improved phase stability at higher temperatures for higher saturate contents.
- At a low saturate content, T increases compared to the respective base bitumen due to the depletion of low molecular weight components and therefore the increase of high molecular weight components in the bitumen-rich matrix. At high saturate content, T decreases compared to the respective base bitumen due to phase inversion (the polymer-rich phase exhibits a lower glass transition temperature than the bitumen-rich phase).
- The |G*| of PmBs with a low saturate content increases compared to the respective base bitumen due to the saturate depletion of the bitumen-rich matrix phase.
- The |G*| of PmBs with a high saturate content decreases for lower temperatures and increases for higher temperatures compared to the respective base bitumen since the polymer-rich matrix phase exhibits a lower |G*| at lower temperatures and a higher |G*| at higher temperatures.
- The |G*| of the polymer-rich phase is decreased compared to pure polymer due to saturates’ incorporation.
- Phase angle decreases compared to the respective base bitumen for PmBs with a low saturate content due to the polymer-rich phase acting as an elastic filler in the bitumen-rich matrix phase.
- A high saturate content increases the PmB phase angle for lower temperatures and decreases for higher temperatures compared to the respective base bitumen. This is due to saturates incorporated by the polymer-rich phase reducing the phase angle of the polymer-rich phase for low temperatures, the polymer-rich phase being the matrix phase. At higher temperatures, the polymer-rich phase retains its elastic properties, thus reducing the phase angle compared to the crude bitumen.
Supplementary Materials
Author Contributions
Funding
Institutional Review Board Statement
Informed Consent Statement
Data Availability Statement
Acknowledgments
Conflicts of Interest
Appendix A

References
- Hunter, R.; Self, A.; Read, J. The Shell Bitumen Handbook; Published for Shell Bitumen by ICE Publishing: London, UK, 2015; pp. 50–55. [Google Scholar]
- Lesueur, D. The colloidal structure of bitumen: Consequences on the rheology and on the mechanisms of the bitumen modification. Adv. Colloid Interface Sci. 2009, 145, 42–82. [Google Scholar] [CrossRef] [PubMed]
- Polacco, G.; Filippi, S.; Merusi, F.; Stastna, G. A review of the fundamentals of polymer-modified asphalts: Asphalt/polymer interactions and principles of compatibility. Adv. Colloid Interface Sci. 2015, 224, 72–112. [Google Scholar] [CrossRef] [PubMed]
- Eberhardsteiner, L.; Füssl, J.; Hofko, B.; Handle, F.; Hospodka, M.; Blab, R.; Grothe, H. Influence of asphaltene content on mechanical bitumen behavior: Experimental investigation and micromechanical modeling. Mater. Struct. 2015, 48, 3099–3112. [Google Scholar] [CrossRef]
- Radenberg, M.; Nytus, N.; Gehrke, M. Chemische und physikalische Eigenschaften der in Deutschland verwendeten Straßenbaubitumen. Straße Autobahn 2014, 11, 851–860. [Google Scholar]
- Weigel, S.; Stephan, D. Relationships between the chemistry and the physical properties of bitumen. Road Mater. Pavement Des. 2017, 19, 1636–1650. [Google Scholar] [CrossRef]
- Weigel, S.; Stephan, D. Modelling of rheological and ageing properties of bitumen based on its chemical structure. Mater. Struct. 2017, 50, 1–15. [Google Scholar] [CrossRef]
- Cheraghian, G.; Wistuba, M.P. Effect of Fumed Silica Nanoparticles on Ultraviolet Aging Resistance of Bitumen. Nanomaterials 2021, 11, 454. [Google Scholar] [CrossRef]
- Jin, J.; Chen, B.; Liu, R.; Qian, G.; Wei, H.; Zheng, J. A Study on Modified Bitumen with Metal Doped Nano-TiO2 Pillared Montmorillonite. Materials 2019, 12, 1910. [Google Scholar] [CrossRef] [PubMed]
- Wu, S.; Zhao, Z.; Li, Y.; Pang, L.; Amirkhanian, S.; Riara, M. Evaluation of Aging Resistance of Graphene Oxide Modified Asphalt. Appl. Sci. 2017, 7, 702. [Google Scholar] [CrossRef]
- Chen, Z.; Zhang, H.; Liu, X.; Duan, H. A novel method for determining the time-temperature superposition relationship of SBS modified bitumen: Effects of bitumen source, modifier type and aging. Constr. Build. Mater. 2021, 280, 122549. [Google Scholar] [CrossRef]
- Feng, Z.; Cai, F.; Yao, D.; Li, X. Aging properties of ultraviolet absorber/SBS modified bitumen based on FTIR analysis. Constr. Build. Mater. 2021, 273, 121713. [Google Scholar] [CrossRef]
- Kaya, D.; Topal, A.; McNally, T. Relationship between processing parameters and aging with the rheological behaviour of SBS modified bitumen. Constr. Build. Mater. 2019, 221, 345–350. [Google Scholar] [CrossRef]
- Kaya, D.; Topal, A.; Gupta, J.; McNally, T. Aging effects on the composition and thermal properties of styrene-butadiene-styrene (SBS) modified bitumen. Constr. Build. Mater. 2020, 235, 117450. [Google Scholar] [CrossRef]
- Kaya Ozdemir, D.; Topal, A.; McNally, T. Relationship between microstructure and phase morphology of SBS modified bitumen with processing parameters studied using atomic force microscopy. Constr. Build. Mater. 2021, 268, 121061. [Google Scholar] [CrossRef]
- Zhang, H.; Yu, J.; Wang, H.; Xue, L. Investigation of microstructures and ultraviolet aging properties of organo-montmorillonite/SBS modified bitumen. Mater. Chem. Phys. 2011, 129, 769–776. [Google Scholar] [CrossRef]
- Nian, T.; Li, P.; Wei, X.; Wang, P.; Li, H.; Guo, R. The effect of freeze-thaw cycles on durability properties of SBS-modified bitumen. Constr. Build. Mater. 2018, 187, 77–88. [Google Scholar] [CrossRef]
- Laukkanen, O.V.; Winter, H.; Soenen, H.; Seppälä, J. Systematic broadening of the viscoelastic and calorimetric glass transitions in complex glass forming liquids. J. Non-Cryst. Solids 2018, 483, 10–17. [Google Scholar] [CrossRef]
- Singh, S.K.; Kumar, Y.; Ravindranath, S.S. Thermal degradation of SBS in bitumen during storage: Influence of temperature, SBS concentration, polymer type and base bitumen. Polym. Degrad. Stab. 2018, 147, 64–75. [Google Scholar] [CrossRef]
- Li, Z.; Xu, X.; Yu, J.; Wu, S. Assessment on Physical and Rheological Properties of Aged SBS Modified Bitumen Containing Rejuvenating Systems of Isocyanate and Epoxy Substances. Materials 2019, 12, 618. [Google Scholar] [CrossRef] [PubMed]
- Schaur, A.; Unterberger, S.H.; Lackner, R. Impact of molecular structure of SBS on thermomechanical properties of polymer modified bitumen. Eur. Polym. J. 2017, 96, 256–265. [Google Scholar] [CrossRef]
- Masson, J.; Polomark, G.; Collins, P. Glass transitions and amorphous phases in SBS-bitumen blends. Thermochim. Acta 2005, 436, 96–100. [Google Scholar] [CrossRef]
- Rajeshwar, K. The kinetics of the thermal decomposition of green river oil shale kerogen by non-isothermal thermogravimetry. Thermochim. Acta 1981, 45, 253–263. [Google Scholar] [CrossRef]
- Larsen, D.; Alessandrini, J.; Bosch, A.; Cortizo, M. Micro-structural and rheological characteristics of SBS-asphalt blends during their manufacturing. Constr. Build. Mater. 2009, 23, 2769–2774. [Google Scholar] [CrossRef]
- Jiménez-Matteos, J.; Quintero, L.; Rial, C. Characterization of petroleum bitumen and their fractions by thermogravimetric analysis and differential scanning calorimetry. Fuel 1996, 75, 1691–1700. [Google Scholar] [CrossRef]
- Polomark, J.M.G.; Collins, P. Time-Dependent Microstructure of Bitumen and Its Fractions by Modulated Differential Scanning Calorimetry. Energy Fuels 2002, 16, 470–476. [Google Scholar]
- Lu, X.; Isacsson, U. Effect of ageing on bitumen chemistry and rheology. Constr. Build. Mater. 2002, 16, 15–22. [Google Scholar] [CrossRef]
- Sultana, S.; Bhasin, A. Effect ofchemical composition on rheology and mechanical properties of asphalt binder. Constr. Build. Mater. 2014, 72, 293–300. [Google Scholar] [CrossRef]
- Wang, J.; Wang, T.; Hou, X.; Xiao, F. Modelling of rheological and chemical properties of asphalt binder considering SARA fraction. Fuel 2019, 238, 320–330. [Google Scholar] [CrossRef]
- Fawcett, A.; McNally, T. Blends of Bitumen with Polymers Having a Styrene Component. Polym. Eng. Sci. 2001, 41, 1251–1264. [Google Scholar] [CrossRef]











| Bitumen Code | Penetration Grade | Saturates (%) | Aromatics (%) | Resins (%) | Asphaltenes (%) |
|---|---|---|---|---|---|
| A1 | 20/30 | 2.4 | 49.2 | 22.3 | 26.1 |
| A2 | 30/45 | 3.9 | 35.2 | 35.2 | 25.7 |
| B1 | 50/70 | 3.7 | 54.9 | 22.9 | 18.6 |
| B2 | 70/100 | 4.8 | 42.3 | 31.8 | 21 |
| C1 | 70/100 | 6.5 | 54.2 | 19.9 | 19.4 |
| C2 | 160/220 | 7.5 | 42.7 | 30.3 | 19.5 |
| Crude Bitumen | Crude Bitumen T (°C) | PmB T (°C) |
|---|---|---|
| A1 | −22.6 | −2.5 |
| A1 | −18.2 | −17.0 |
| B1 | −15.4 | −13.3 |
| B2 | −11 | −15.0 |
| C1 | −22.7 | −29.8 |
| C2 | −26.7 | −27.8 |
| Crude Bitumen | Temperature (°C) |
|---|---|
| A1 | 20 |
| A2 | 18 |
| B1 | 15 |
| B2 | 15 |
| C1 | 10 |
| C2 | 6 |
Publisher’s Note: MDPI stays neutral with regard to jurisdictional claims in published maps and institutional affiliations. |
© 2021 by the authors. Licensee MDPI, Basel, Switzerland. This article is an open access article distributed under the terms and conditions of the Creative Commons Attribution (CC BY) license (http://creativecommons.org/licenses/by/4.0/).
Share and Cite
Wieser, M.; Schaur, A.; Unterberger, S.H. Polymer-Bitumen Interaction: A Correlation Study with Six Different Bitumens to Investigate the Influence of SARA Fractions on the Phase Stability, Swelling, and Thermo-Rheological Properties of SBS-PmB. Materials 2021, 14, 1273. https://doi.org/10.3390/ma14051273
Wieser M, Schaur A, Unterberger SH. Polymer-Bitumen Interaction: A Correlation Study with Six Different Bitumens to Investigate the Influence of SARA Fractions on the Phase Stability, Swelling, and Thermo-Rheological Properties of SBS-PmB. Materials. 2021; 14(5):1273. https://doi.org/10.3390/ma14051273
Chicago/Turabian StyleWieser, Martin, Andreas Schaur, and Seraphin Hubert Unterberger. 2021. "Polymer-Bitumen Interaction: A Correlation Study with Six Different Bitumens to Investigate the Influence of SARA Fractions on the Phase Stability, Swelling, and Thermo-Rheological Properties of SBS-PmB" Materials 14, no. 5: 1273. https://doi.org/10.3390/ma14051273
APA StyleWieser, M., Schaur, A., & Unterberger, S. H. (2021). Polymer-Bitumen Interaction: A Correlation Study with Six Different Bitumens to Investigate the Influence of SARA Fractions on the Phase Stability, Swelling, and Thermo-Rheological Properties of SBS-PmB. Materials, 14(5), 1273. https://doi.org/10.3390/ma14051273

