Dual Laser Beam Processing of Semiconducting Thin Films by Excited State Absorption
Abstract
1. Introduction
2. Materials and Methods
2.1. Sample Preparation and Characterization
2.2. Laser Processing Setup
2.3. Generation and Analysis of Ablation Spots
3. Results and Discussion
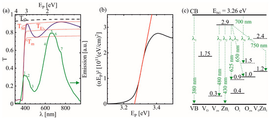
3.1. Optical Characterization of the ZnO Thin Film
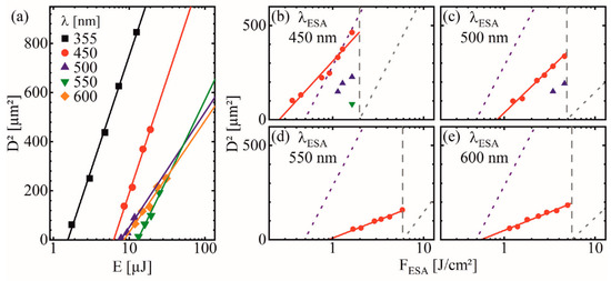
3.2. Single-Beam Ablation
3.3. Dual-Beam Ablation
3.3.1. Influence of the ESA Beam Fluence
3.3.2. Ablation Efficiency
3.3.3. Ablation Quality
3.3.4. Influence of Temporal Pulse Delay
4. Conclusions
Author Contributions
Funding
Conflicts of Interest
References
- Hell, S.W.; Wichmann, J. Breaking the diffraction resolution limit by stimulated emission: Stimulated-emission-depletion fluorescence microscopy. Opt. Lett. 1994, 19, 780–782. [Google Scholar] [CrossRef] [PubMed]
- Klar, T.A.; Hell, S.W. Subdiffraction resolution in far-field fluorescence microscopy. Opt. Lett. 1999, 24, 954–956. [Google Scholar] [CrossRef]
- Rittweger, E.; Han, K.Y.; Irvine, S.E.; Eggeling, C.; Hell, S.W. STED microscopy reveals crystal colour centres with nanometric resolution. Nat. Photon. 2009, 3, 144–147. [Google Scholar] [CrossRef]
- Gottfert, F.; Wurm, C.A.; Mueller, V.; Berning, S.; Cordes, V.C.; Honigmann, A.; Hell, S.W. Coaligned dual-channel STED nanoscopy and molecular diffusion analysis at 20 nm resolution. Biophys. J. 2013, 105, L01–L03. [Google Scholar] [CrossRef]
- Malinauskas, M.; Farsari, M.; Piskarskas, A.; Juodkazis, S. Ultrafast laser nanostructuring of photopolymers: A decade of advances. Phys. Rep. 2013, 533, 1–31. [Google Scholar] [CrossRef]
- Frolich, A.; Fischer, J.; Zebrowski, T.; Busch, K.; Wegener, M. Titania woodpiles with complete three-dimensional photonic bandgaps in the visible. Adv. Mater. 2013, 25, 3588–3592. [Google Scholar] [CrossRef] [PubMed]
- Sugioka, K.; Meunier, M.; Piqué, A. Laser Precision Microfabrication; Springer: Berlin, Germany, 2010; Volume 135. [Google Scholar]
- Engel, S.; Wenisch, C.; Gräf, S.; Müller, F. Sub-diffraction direct laser writing by a combination of STED and ESA. In Laser-Based Micro-and Nanoprocessing XIV; International Society for Optics and Photonics, SPIE LASE: San Francisco, CA, USA, 2020; p. 112680D. [Google Scholar]
- Wenisch, C.; Engel, S.; Gräf, S.; Müller, F.A. Fundamentals of a new sub-diffraction direct laser writing method by a combination of stimulated emission depletion and excited state absorption. J. Laser Micro Nanoeng. 2020, 15, 169–173. [Google Scholar]
- Théberge, F.; Chin, S. Enhanced ablation of silica by the superposition of femtosecond and nanosecond laser pulses. Appl. Phys. A 2005, 80, 1505–1510. [Google Scholar] [CrossRef]
- Zhang, J.; Sugioka, K.; Takahashi, T.; Toyoda, K.; Midorikawa, K. Dual-beam ablation of fused silica by multiwavelength excitation process using KrF excimer and F2 lasers. Appl. Phys. A 2000, 71, 23–26. [Google Scholar]
- Obata, K.; Sugioka, K.; Akane, T.; Midorikawa, K.; Aoki, N.; Toyoda, K. Efficient refractive-index modification of fused silica by a resonance-photoionization-like process using F 2 and KrF excimer lasers. Opt. Lett. 2002, 27, 330–332. [Google Scholar] [CrossRef]
- Sugioka, K.; Wada, S.; Tashiro, H.; Toyoda, K. Ablation of wide band-gap materials by multi-wavelength irradiation using a VUV Raman laser. Appl. Surf. Sci. 1997, 109, 179–183. [Google Scholar] [CrossRef]
- Zhang, J.; Sugioka, K.; Wada, S.; Tashiro, H.; Toyoda, K. Direct photoetching of single crystal SiC by VUV-266 nm multiwavelength laser ablation. Appl. Phys. A 1997, 64, 367–371. [Google Scholar] [CrossRef]
- Zhang, J.; Sugioka, K.; Wada, S.; Tashiro, H.; Toyoda, K.; Midorikawa, K. Precise microfabrication of wide band gap semiconductors (SiC and GaN) by VUV–UV multiwavelength laser ablation. Appl. Surf. Sci. 1998, 127, 793–799. [Google Scholar] [CrossRef]
- Akane, T.; Sugioka, K.; Hammura, K.; Aoyagi, Y.; Midorikawa, K.; Obata, K.; Toyoda, K.; Nomura, S. GaN ablation etching by simultaneous irradiation with F 2 laser and KrF excimer laser. J. Vac. Sci. Tech. B Microelectron. Nanometer Struct. Proces. Meas. Phenom. 2001, 19, 1388–1391. [Google Scholar] [CrossRef]
- Obata, K.; Sugioka, K.; Midorikawa, K.; Inamura, T.; Takai, H. Deep etching of epitaxial gallium nitride film by multiwavelength excitation process using F 2 and KrF excimer lasers. Appl. Phys. A 2006, 82, 479–483. [Google Scholar] [CrossRef]
- Zoppel, S.; Zehetner, J.; Reider, G.A. Two color laser ablation: Enhanced yield, improved machining. Appl. Surf. Sci. 2007, 253, 7692–7695. [Google Scholar] [CrossRef]
- Zoppel, S.; Merz, R.; Zehetner, J.; Reider, G.A. Enhancement of laser ablation yield by two color excitation. Appl. Phys. A 2005, 81, 847–850. [Google Scholar] [CrossRef]
- Djurišić, A.; Ng, A.M.C.; Chen, X. ZnO nanostructures for optoelectronics: Material properties and device applications. Prog. Quantum Electron. 2010, 34, 191–259. [Google Scholar] [CrossRef]
- Ogata, K.; Sakurai, K.; Fujita, S.; Fujita, S.; Matsushige, K. Effects of thermal annealing of ZnO layers grown by MBE. J. Cryst. Growth 2000, 214, 312–315. [Google Scholar] [CrossRef]
- Marković, S.; Simatović, I.S.; Ahmetović, S.; Veselinović, L.; Stojadinović, S.; Rac, V.; Škapin, S.D.; Bogdanović, D.B.; Častvan, I.J.; Uskoković, D. Surfactant-assisted microwave processing of ZnO particles: A simple way for designing the surface-to-bulk defect ratio and improving photo (electro) catalytic properties. RSC Adv. 2019, 9, 17165–17178. [Google Scholar] [CrossRef]
- Wang, X.; Lim, G.; Zheng, H.; Ng, F.; Liu, W.; Chua, S. Femtosecond pulse laser ablation of sapphire in ambient air. Appl. Surf. Sci. 2004, 228, 221–226. [Google Scholar] [CrossRef]
- Rudolph, P.; Bonse, J.; Krüger, J.; Kautek, W. Femtosecond-and nanosecond-pulse laser ablation of bariumalumoborosilicate glass. Appl. Phys. A 1999, 69, S763–S766. [Google Scholar] [CrossRef]
- Liu, J. Simple technique for measurements of pulsed Gaussian-beam spot sizes. Opt. Lett. 1982, 7, 196–198. [Google Scholar] [CrossRef]
- Swanepoel, R. Determination of the thickness and optical constants of amorphous silicon. J. Phys. E Sci. Instrum. 1983, 16, 1214. [Google Scholar] [CrossRef]
- Sernelius, B.E.; Berggren, K.-F.; Jin, Z.-C.; Hamberg, I.; Granqvist, C.G. Band-gap tailoring of ZnO by means of heavy Al doping. Phys. Rev. B 1988, 37, 10244. [Google Scholar] [CrossRef]
- Tauc, J.; Grigorovici, R.; Vancu, A. Optical properties and electronic structure of amorphous germanium. Phys. Stat. Solidi B 1966, 15, 627–637. [Google Scholar] [CrossRef]
- Farrag, A.A.-G.; Balboul, M.R. Nano ZnO thin films synthesis by sol–gel spin coating method as a transparent layer for solar cell applications. J. Sol. Gel Sci. Technol. 2017, 82, 269–279. [Google Scholar] [CrossRef]
- Shaaban, E.; Yahia, I.; El-Metwally, E. Validity of Swanepoel’s method for calculating the optical constants of thick films. Acta Phys. Pol. Ser. A Gen. Phys. 2012, 121, 628. [Google Scholar] [CrossRef]
- Xue, S.; Zu, X.; Zhou, W.; Deng, H.; Xiang, X.; Zhang, L.; Deng, H. Effects of post-thermal annealing on the optical constants of ZnO thin film. J. Alloys Compd. 2008, 448, 21–26. [Google Scholar] [CrossRef]
- Xu, P.; Sun, Y.; Shi, C.; Xu, F.; Pan, H. The electronic structure and spectral properties of ZnO and its defects. Nucl. Instrum. Methods Phys. Res. Sec. B Beam Interact. Mater. Atoms 2003, 199, 286–290. [Google Scholar] [CrossRef]
- Wang, T.; Zheng, S.; Hao, W.; Wang, C. Studies on photocatalytic activity and transmittance spectra of TiO2 thin films prepared by rf magnetron sputtering method. Surf. Coat. Technol. 2002, 155, 141–145. [Google Scholar] [CrossRef]
- Caglar, M.; Caglar, Y.; Ilican, S. The determination of the thickness and optical constants of the ZnO crystalline thin film by using envelope method. J. Optoelectron. Adv. Mater. 2006, 8, 1410. [Google Scholar]
- Han, N.S.; Shim, H.S.; Seo, J.H.; Kim, S.Y.; Park, S.M.; Song, J.K. Defect states of ZnO nanoparticles: Discrimination by time-resolved photoluminescence spectroscopy. J. Appl. Phys. 2010, 107, 084306. [Google Scholar] [CrossRef]
- Lin, B.; Fu, Z.; Jia, Y. Green luminescent center in undoped zinc oxide films deposited on silicon substrates. Appl. Phys. Lett. 2001, 79, 943–945. [Google Scholar] [CrossRef]
- Johnson, J.C.; Knutsen, K.P.; Yan, H.; Law, M.; Zhang, Y.; Yang, P.; Saykally, R.J. Ultrafast carrier dynamics in single ZnO nanowire and nanoribbon lasers. Nano Lett. 2004, 4, 197–204. [Google Scholar] [CrossRef]
- Sugioka, K.; Midorikawa, K. VUV-UV multiwavelength excitation process for high-quality ablation of fused silica. In Damage to VUV, EUV, and X-Ray Optics IV; and EUV and X-Ray Optics: Synergy between Laboratory and Space III; International Society for Optics and Photonics, SPIE OPTICS + OPTOELECTRONICS: Prague, Czech Republic, 2013; p. 877704. [Google Scholar]
- Mardare, D.; Tasca, M.; Delibas, M.; Rusu, G. On the structural properties and optical transmittance of TiO2 rf sputtered thin films. Appl. Surf. Sci. 2000, 156, 200–206. [Google Scholar] [CrossRef]
- Martin, S.; Hertwig, A.; Lenzner, M.; Krüger, J.; Kautek, W. Spot-size dependence of the ablation threshold in dielectrics for femtosecond laser pulses. Appl. Phys. A 2003, 77, 883–884. [Google Scholar] [CrossRef]
- Bonse, J.; Baudach, S.; Krüger, J.; Kautek, W.; Lenzner, M. Femtosecond laser ablation of silicon–modification thresholds and morphology. Appl. Phys. A 2002, 74, 19–25. [Google Scholar] [CrossRef]
- Layek, A.; Manna, B.; Chowdhury, A. Carrier recombination dynamics through defect states of ZnO nanocrystals: From nanoparticles to nanorods. Chem. Phys. Lett. 2012, 539, 133–138. [Google Scholar] [CrossRef]
- Tang, A.-H.; Mei, Z.-X.; Hou, Y.-N.; Du, X.-L. Photodynamics of GaZn–VZn complex defect in Ga-doped ZnO. Chin. Phys. B 2018, 27, 117802. [Google Scholar] [CrossRef]
- Özgür, Ü.; Alivov, Y.I.; Liu, C.; Teke, A.; Reshchikov, M.; Doğan, S.; Avrutin, V.; Cho, S.-J.; Morkoç, A.H. A comprehensive review of ZnO materials and devices. J. Appl. Phys. 2005, 98, 11. [Google Scholar] [CrossRef]
- Huang, Z.X.; Tang, Z.A.; Yu, J.; Bai, S. Thermal conductivity of nanoscale polycrystalline ZnO thin films. Phys. B Condens. Matter 2011, 406, 818–823. [Google Scholar] [CrossRef]
- Akhir, R.M.; Abd Wahab, Z. Thermal diffusivity studies of ZnO-CuO at high temperatures. J. Teknologi 2015, 76, 19–23. [Google Scholar]
- Yamashita, Y.; Honda, K.; Yagi, T.; Jia, J.; Taketoshi, N.; Shigesato, Y. Thermal conductivity of hetero-epitaxial ZnO thin films on c-and r-plane sapphire substrates: Thickness and grain size effect. J. Appl. Phys. 2019, 125, 035101. [Google Scholar] [CrossRef]
- Alvarez-Quintana, J.; Martínez, E.; Pérez-Tijerina, E.; Pérez-García, S.; Rodríguez-Viejo, J. Temperature dependent thermal conductivity of polycrystalline ZnO films. J. Appl. Phys. 2010, 107, 063713. [Google Scholar] [CrossRef]
- Xu, Y.; Goto, M.; Kato, R.; Tanaka, Y.; Kagawa, Y. Thermal conductivity of ZnO thin film produced by reactive sputtering. J. Appl. Phys. 2012, 111, 084320. [Google Scholar] [CrossRef]
- Nedyalkov, N.; Koleva, M.; Nikov, R.; Atanasov, P.; Nakajima, Y.; Takami, A.; Shibata, A.; Terakawa, M. Laser nanostructuring of ZnO thin films. Appl. Surf. Sci. 2016, 374, 172–176. [Google Scholar] [CrossRef]
- Diez, M.; Ametowobla, M.; Graf, T. Time-resolved reflectivity and temperature measurements during laser irradiation of crystalline silicon. J. Laser Micro Nanoeng. 2017, 12, 230–234. [Google Scholar]
- Jiang, P.; Qian, X.; Yang, R. Time-domain thermoreflectance (TDTR) measurements of anisotropic thermal conductivity using a variable spot size approach. Rev. Sci. Instrum. 2017, 88, 074901. [Google Scholar] [CrossRef] [PubMed]
- Zhong, Y.; Djurisic, A.B.; Hsu, Y.F.; Wong, K.S.; Brauer, G.; Ling, C.C.; Chan, W.K. Exceptionally long exciton photoluminescence lifetime in ZnO tetrapods. J. Phys. Chem. C 2008, 112, 16286–16295. [Google Scholar] [CrossRef]





| λ [nm] | 355 | 450 | 500 | 550 | 600 |
|---|---|---|---|---|---|
| TE | 0.04 | 0.82 | 0.82 | 0.83 | 0.83 |
| n | - | 2.07 | 2.05 | 2.04 | 2.03 |
| α [1/cm] | 1.6 × 105 | 9.7 × 103 | 9.5 × 103 | 9.4 × 103 | 9.2 × 103 |
| dp [nm] | 62 | 1027 | 1047 | 1065 | 1088 |
| 2ωf [µm] | 28.4 | 28.5 | 20.2 | 23.6 | 19.8 |
| Eth [µJ] | 1.6 | 6.2 | 7.8 | 12.9 | 8.5 |
| Fth [J/cm²] | 0.49 | 1.96 | 4.86 | 5.90 | 5.51 |
| λ [nm] | 450 | 500 | 550 | 600 |
|---|---|---|---|---|
| 2ωfeff [µm] | 21.4 | 20.1 | 12.8 | 13 |
| Ftheff [J/cm²] | 0.26 | 0.83 | 0.90 | 0.55 |
| FE | 0.86 | 2.03 | 2.16 | 1.46 |
| FET | 0.39 | 0.50 | 0.48 | 0.43 |
Publisher’s Note: MDPI stays neutral with regard to jurisdictional claims in published maps and institutional affiliations. |
© 2021 by the authors. Licensee MDPI, Basel, Switzerland. This article is an open access article distributed under the terms and conditions of the Creative Commons Attribution (CC BY) license (http://creativecommons.org/licenses/by/4.0/).
Share and Cite
Wenisch, C.; Engel, S.; Gräf, S.; Müller, F.A. Dual Laser Beam Processing of Semiconducting Thin Films by Excited State Absorption. Materials 2021, 14, 1256. https://doi.org/10.3390/ma14051256
Wenisch C, Engel S, Gräf S, Müller FA. Dual Laser Beam Processing of Semiconducting Thin Films by Excited State Absorption. Materials. 2021; 14(5):1256. https://doi.org/10.3390/ma14051256
Chicago/Turabian StyleWenisch, Christoph, Sebastian Engel, Stephan Gräf, and Frank A. Müller. 2021. "Dual Laser Beam Processing of Semiconducting Thin Films by Excited State Absorption" Materials 14, no. 5: 1256. https://doi.org/10.3390/ma14051256
APA StyleWenisch, C., Engel, S., Gräf, S., & Müller, F. A. (2021). Dual Laser Beam Processing of Semiconducting Thin Films by Excited State Absorption. Materials, 14(5), 1256. https://doi.org/10.3390/ma14051256

