Fatigue Life of 7005 Aluminum Alloy Cruciform Joint Considering Welding Residual Stress
Abstract
1. Introduction
2. Framework and Experiments
2.1. Framework Description
2.2. Formulas of Crack Initiation and Propagation Life
2.3. The Boundary between the Crack Initiation and Propagation
2.4. Stress Concentration Model of the Crack Initiation and Propagation Stages
2.4.1. Stress in the Vicinity of Weld Toe under the Tensile Load
2.4.2. Stress Intensity Factor of Crack Propagation Stage under the Tensile Load
2.5. Stress Intensity Factor Considering Welding Residual Stress
2.5.1. Welding Finite Element Model of Cruciform Koint
2.6. Fitting of the Manson–Coffin and the Walker Equations
3. Results and Discussion
3.1. The Effect of Stress Concentration on the Cruciform Joint
3.2. Welding Residual Stress on Crack Plane and Its Stress Intensity Factor
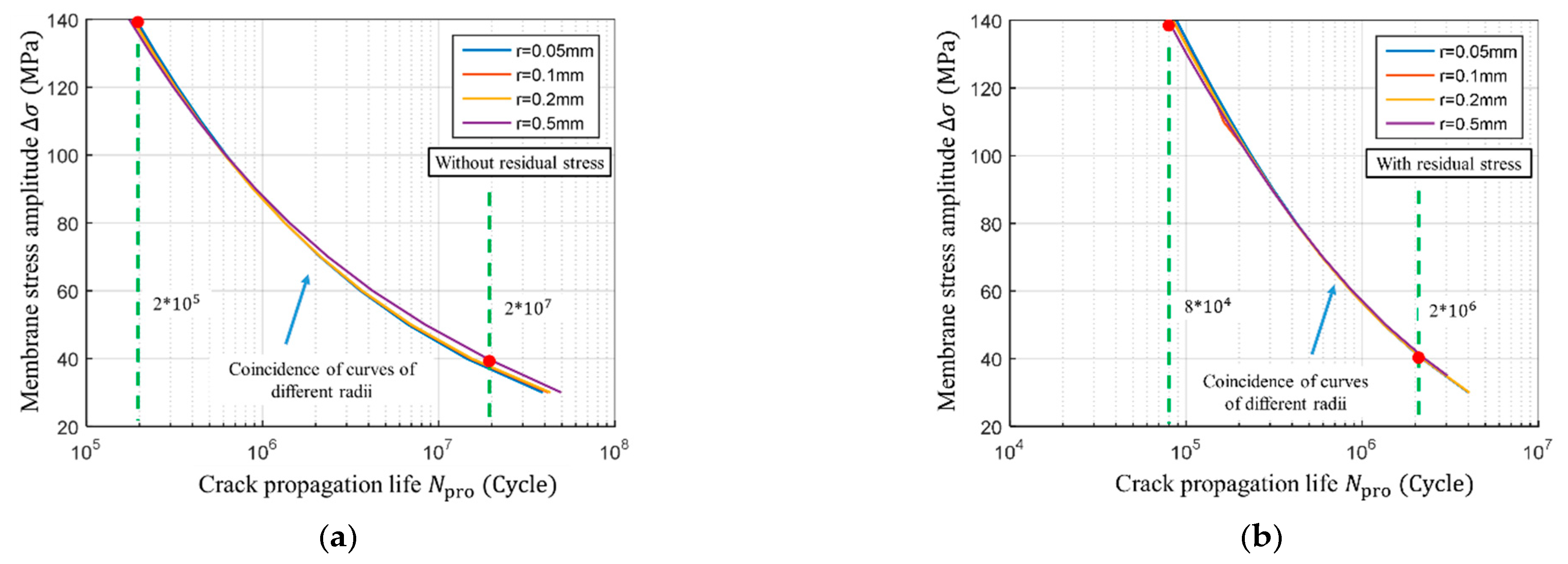
3.3. The Boundary of Crack Initiation and Propagation for the Cruciform Joint
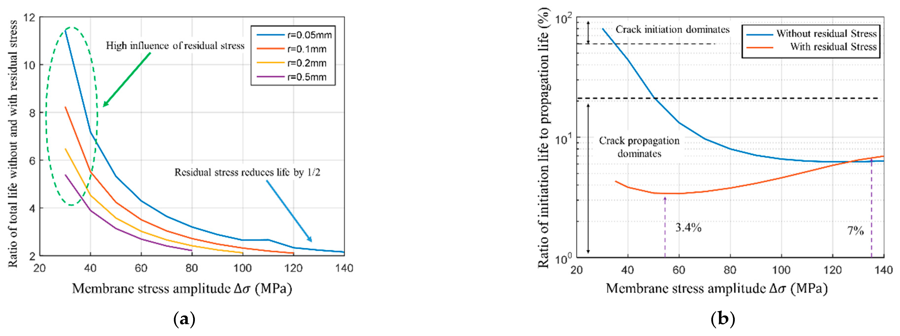
3.4. Crack Initiation and Propagation Life
4. Conclusions
- The boundary between the initiation and propagation stage is not a constant, but a variable value, which will increase when the external load rises. This phenomenon indicates that the microcrack propagation rate during the crack initiation stage is more sensitive to the applied external load than that at the crack propagation.
- In the context of the cruciform joint welded toe, the functional relationship between the residual stress intensity factor calculated by residual stress and the crack length is quite complex, whose functional curve during the period of crack propagation can be divided into three segments. In segment I, because of the rather small crack in the welding toe, although there is a large residual stress in the cruciform joint, stress intensity factor is still at a low level. In segment II, the crack size further increases, and sufficient residual stress is retained in the structure, thereby leading to the maximum of stress intensity factor. Finally, in segment III, whose phenomenon is that the crack size increases continuously, despite an increase in the crack size, the stress intensity factor drops to a low level again because of the release of the residual stress.
- The residual stress caused by welding process of the cruciform joint reduces the fatigue life at the crack initiation and propagation stages, respectively. However, the residual stress has a more significant impact on the crack initiation. The crack initiation stage only accounts for less than 7% of the total fatigue life based on selected metal material and welded joint. From the perspective of engineering practicability, the life of the crack initiation stage can be ignored without unacceptable deviations.
Author Contributions
Funding
Institutional Review Board Statement
Informed Consent Statement
Data Availability Statement
Acknowledgments
Conflicts of Interest
References
- Ma, M.; Wang, B.; Liu, H.; Yi, D.; Shen, F.; Zhai, T. Investigation of fatigue crack propagation behavior of 5083 aluminum alloy under various stress ratios: Role of grain boundary and Schmid factor. Mater. Sci. Eng. A 2020, 773, 138871. [Google Scholar] [CrossRef]
- Mori, T.; Ichimiya, M. Fatigue crack initiation point in load carrying fillet-welded cruciform joints. Weld. Int. 1999, 13, 9. [Google Scholar] [CrossRef]
- Nagai, K.-I.; Iwata, M.; Kang, S.-W.; Arai, M. Fatigue Strength of Fillet Welded Cruciform Joints of Mild Steel under Pulsating Tension Loading. J. Soc. Nav. Arch. Jpn. 1980, 148, 261–267. [Google Scholar] [CrossRef][Green Version]
- Ravindra, B.; Kumar, T.S.; Balasubramanian, V. Fatigue life prediction of gas metal arc welded crucifrom joints of AA7075 aluminium alloy failing from root region. Trans. Nonferrous Met. Soc. China 2011, 21, 1210–1217. [Google Scholar] [CrossRef]
- Xing, S.; Dong, P.; Wang, P. A quantitative weld sizing criterion for fatigue design of load-carrying fillet-welded connections. Int. J. Fatigue 2017, 101, 448–458. [Google Scholar] [CrossRef]
- Tian, B.; Xiong, J.; Liu, J. A new approach for evaluating fatigue lives of multi-fastener mechanical joints based on a nominal stress concept and minimal datasets. Int. J. Fatigue 2015, 80, 257–265. [Google Scholar] [CrossRef]
- Grové, A.P. Development of a Finite Element Based Nominal Stress Extraction Procedure for Fatigue Analysis of Welded Structures; University of Pretoria: Hatfield, Pretoria, South Africa, 2006. [Google Scholar]
- Huang, H.-Z.; Huang, C.-G.; Peng, Z.; Li, Y.-F.; Yin, H. Fatigue Life Prediction of Fan Blade Using Nominal Stress Method and Cumulative Fatigue Damage Theory. Int. J. Turbo Jet-Engines 2017, 37. [Google Scholar] [CrossRef]
- Dong, P. A structural stress definition and numerical implementation for fatigue analysis of welded joints. Int. J. Fatigue 2001, 23, 865–876. [Google Scholar] [CrossRef]
- Fricke, W.; Kahl, A. Comparison of different structural stress approaches for fatigue assessment of welded ship structures. Mar. Struct. 2005, 18, 473–488. [Google Scholar] [CrossRef]
- Niemi, E.; Fricke, W.; Maddox, S.J. Fatigue Analysis of Welded Components-Designer’s Guide to the Hot-Spot Stress Approach; Woodhead Publishing: Cambridge, UK, 2006. [Google Scholar]
- Ilkka, P.; Tanskanen, P.; Marquis, G. Finite element methods for structural hot spot stress determination—A comparison of procedures. Int. J. Fatigue 2004, 26, 1147–1157. [Google Scholar]
- Lotsberg, I.; Sigurdsson, G. Hot Spot Stress S-N Curve for Fatigue Analysis of Plated Structures. J. Offshore Mech. Arct. Eng. 2006, 128, 330–336. [Google Scholar] [CrossRef]
- Maddox, S.J. Recommended hot-spot stress design SN curves for fatigue assessment of FPSOs. In Proceedings of the Eleventh International Offshore and Polar Engineering Conference, Stavanger, Norway, 17–22 June 2001; International Society of Offshore and Polar Engineers: Cupertino, CA, USA, 2001. [Google Scholar]
- Meneghetti, G.; Campagnolo, A. State-of-the-art review of peak stress method for fatigue strength assessment of welded joints. Int. J. Fatigue 2020, 139, 105705. [Google Scholar] [CrossRef]
- Al Zamzami, I.; Susmel, L. On the accuracy of nominal, structural, and local stress based approaches in designing aluminium welded joints against fatigue. Int. J. Fatigue 2017, 101, 137–158. [Google Scholar] [CrossRef]
- Tahir, Z.; Aso, R.; Yates, T.; Bell, M.; Muse, A. Aluminium weld fatigue: From characterisation to design rules. Procedia Eng. 2018, 213, 549–570. [Google Scholar] [CrossRef]
- Blacha, Ł.; Karolczuk, A.; Bański, R.; Stasiuk, P. Application of the weakest link analysis to the area of fatigue design of steel welded joints. Eng. Fail. Anal. 2013, 35, 665–677. [Google Scholar] [CrossRef]
- Clark, L.A. Concrete Bridge Design to BS 5400; Construction Press: Snaidero, NY, USA, 1983. [Google Scholar]
- Hobbacher, F.A. Recommendations for Fatigue Design of Welded Joints and Components; Springer International Publishing: Berlin/Heidelberg, Germany, 2016. [Google Scholar]
- Takahashi, I.; Yoshii, T.; Iidaka, H.; Fujii, E.; Matsuoka, K. Fatigue strength of non-load-caring fillet welded joints: Effects of weld residual stresses and stress concentration. Fatigue Fract. Eng. Mater. Struct. 2007, 16, 37–51. [Google Scholar] [CrossRef]
- Xiu, J.; Li, Y.; Cheng, Y. Effects of stress concentration and residual stress on vibration fatigue behavior of socket weld. J. Adhes. Sci. Technol. 2018, 32, 375–389. [Google Scholar] [CrossRef]
- Rozumek, D.; Lewandowski, J.; Lesiuk, G.; Correia, J.A. The influence of heat treatment on the behavior of fatigue crack growth in welded joints made of S355 under bending loading. Int. J. Fatigue 2020, 131, 105328. [Google Scholar] [CrossRef]
- Rizea, N.; Stanciu, L. Standard Practice for Statistical Analysis of Linearized Strain-Life (ε-N) Fatigue Data, for 16Mo5. 3b Steel Submitted to Thermomechanical Fatigue. 2007. Available online: https://imt.uoradea.ro/auo.fmte/files-2007/MECANICA_files/Nicoleta_Rizea_1.pdf (accessed on 6 February 2021).
- Fricke, W. Fatigue analysis of welded joints: State of development. Mar. Struct. 2003, 16, 185–200. [Google Scholar] [CrossRef]
- Vishnuvardhan, S.; Raghava, G.; Saravanan, M.; Gandhi, P. Fatigue Life Evaluation of Fillet Welded Cruciform Joints with Load-Carrying Welds. Trans. Indian Inst. Met. 2016, 69, 585–589. [Google Scholar] [CrossRef]
- Ohta, A.; Sasaki, E.; Nihei, M.; Kosuge, M.; Kanao, M.; Inagaki, M. Fatigue crack propagation rates and threshold stress intensity factors for welded joints of HT80 steel at several stress ratios. Int. J. Fatigue 1982, 4, 233–237. [Google Scholar] [CrossRef]
- Lautrou, N.; Thevenet, D.; Cognard, J.-Y. Fatigue crack initiation life estimation in a steel welded joint by the use of a two-scale damage model. Fatigue Fract. Eng. Mater. Struct. 2009, 32, 403–417. [Google Scholar] [CrossRef]
- Dong, Y.; Garbatov, Y.; Soares, C.G. Fatigue crack initiation assessment of welded joints accounting for residual stress. Fatigue Fract. Eng. Mater. Struct. 2018, 41, 1823–1837. [Google Scholar] [CrossRef]
- Liljedahl, C.; Brouard, J.; Zanellato, O.; Lin, J.; Tan, M.; Ganguly, S.; Irving, P.; Fitzpatrick, M.; Zhang, X.; Edwards, L. Weld residual stress effects on fatigue crack growth behaviour of aluminium alloy 2024-T351. Int. J. Fatigue 2009, 31, 1081–1088. [Google Scholar] [CrossRef]
- Shen, F.; Zhao, B.; Li, L.; Chua, C.K.; Zhou, K. Fatigue damage evolution and lifetime prediction of welded joints with the consideration of residual stresses and porosity. Int. J. Fatigue 2017, 103, 272–279. [Google Scholar] [CrossRef]
- Hiroyuki, T. Stress Intensity Factor Analysis and Fatigue Behavior of a Crack in The Residual Stress Field of Welding. Fatigue Aircr. Struct. 2011, 2011, 5–15. [Google Scholar]
- Walker, E.K. The Effect of Stress Ratio during Crack propagation and fatigue for 2024-T3 and 7075-T6 aluminum. In Effects of Environment and Complex Load History on Fatigue Life; ASTM International: Conshohocken, PA, USA, 1970. [Google Scholar]
- Forman, R.; Kearney, V.; Engle, R. Numerical Analysis of Crack Propagation in Cyclic-Loaded Structure. J. Basic Eng. Trans. Am. Soc. Mech. Eng. 1967, 89, 459–464. [Google Scholar] [CrossRef]
- Zerbst, U.; Madia, M. Fracture mechanics based assessment of the fatigue strength: Approach for the determination of the initial crack size. Fatigue Fract. Eng. Mater. Struct. 2015, 38, 1066–1075. [Google Scholar] [CrossRef]
- Xing, J.; Zhong, O.; Hong, Y. A simple log normal random process approach of the fatigue crack growth considering the distribution of initial crack size and loading condition. Int. J. Press. Vessel. Pip. 1997, 74, 7–12. [Google Scholar] [CrossRef]
- Mikulski, Z.; Lassen, T. Fatigue crack initiation and subsequent crack growth in fillet welded steel joints. Int. J. Fatigue 2019, 120, 303–318. [Google Scholar] [CrossRef]
- Socie, D.F.; Morrow, J.; Chen, W.-C. A procedure for estimating the total fatigue life of notched and cracked members. Eng. Fract. Mech. 1979, 11, 851–859. [Google Scholar] [CrossRef]
- Nijin, I.; Kumar, R.S.; Banerjee, A. Role of stress-state on initiation and growth of a fatigue crack. Int. J. Fatigue 2019, 118, 298–306. [Google Scholar] [CrossRef]
- Lebahn, J.; Heyer, H.; Sander, M. Numerical stress intensity factor calculation in flawed round bars validated by crack propagation tests. Eng. Fract. Mech. 2013, 108, 37–49. [Google Scholar] [CrossRef]
- Alshoaibi, A.M.; Hadi, M.S.A.; Ariffin, A.K. Two-dimensional numerical estimation of stress intensity factors and crack propagation in linear elastic analysis. Sid Struct. Integr. Durab. 2007, 3, 15–27. [Google Scholar]
- Vatne, I.R.; Stukowski, A.; Thaulow, C.; Østby, E.; Marian, J. Three-dimensional crack initiation mechanisms in bcc-Fe under loading modes I, II and III. Mater. Sci. Eng. A 2013, 560, 306–314. [Google Scholar] [CrossRef]
- Zeng, Y.P.; Fan, H.M.; Wang, X.S.; Xie, X.S. Study on Micro-Mechanism of Crack Initiation and Propagation Induced by Inclusion in Ultra-High Strength Steel. Key Eng. Mater. 2007, 353–358 Pt 2, 1185–1190. [Google Scholar] [CrossRef]
- Waterkotte, R.; Baumgartner, J.; Ai, Q. Fatigue Assessment of Weld Ends Considering Crack Initiation and Crack Propagation. Materialprufung 2013, 55, 529–536. [Google Scholar]
- Li, P.; Marchand, N.; Ilschner, B. Crack initiation mechanisms in low cycle fatigue of aluminium alloy 7075 T6. Mater. Sci. Eng. A 1989, 119, 41–50. [Google Scholar] [CrossRef]
- Gillis, P. Manson-Coffin fatigue. Acta Met. 1966, 14, 1673–1676. [Google Scholar] [CrossRef]
- Jaap, S. Fatigue of Structures and Materials; Springer: Berlin/Heidelberg, Germany, 2009. [Google Scholar]
- Hong, J.K. The Development of a Simplified Spot Weld Model for Battelle Structural Stress Calculation. SAE Int. J. Mater. Manuf. 2011, 4, 602–612. [Google Scholar] [CrossRef]
- Cui, W.; Huang, X.; Wang, F. Towards a Unified Fatigue Life Prediction Method for Marine Structures; Springer: Berlin/Heidelberg, Germany, 2014. [Google Scholar]
- Hobbacher, A. Stress intensity factors of welded joints. Eng. Fract. Mech. 1993, 46, 173–182. [Google Scholar] [CrossRef]
- Wang, P.; Pei, X.; Dong, P.; Yu, Y.; Li, X. Analysis of weld root fatigue cracking in load-carrying high-strength aluminum alloy cruciform joints. Int. J. Fatigue 2020, 139, 105735. [Google Scholar] [CrossRef]
- ASTM. Standard Test Method for Plane-Strain Fracture Toughness of Metallic Materials; Annual Book of ASTM Standards; American Society of Testing and Materials: West Conshohocken, PA, USA, 1985; pp. 547–582. [Google Scholar]
- Gaur, V.; Enoki, M.; Okada, T.; Yomogida, S. A study on fatigue behavior of MIG-welded Al-Mg alloy with different filler-wire materials under mean stress. Int. J. Fatigue 2018, 107, 119–129. [Google Scholar] [CrossRef]
- Ma, J.; Wang, P.; Meng, J.; Fang, H. Quantitative analysis of overload effect at crack tip on crack growth rate of 7005 aluminum alloy. Int. J. Fatigue 2020, 139, 105783. [Google Scholar] [CrossRef]
- Chong, L.; Xie, L.; Zhao, H.; Song, J.; Zhao, Z. A Transition Size of Dividing Crack Initiation and Propagation Phases and the Fatigue Total Life Prediction Approach. J. Fail. Anal. Prev. 2019, 19, 1380–1388. [Google Scholar]
- Zheng, M. Approaches for characterizing crack initiation with accounting for the microstructural characteristic size of material. J. Adv. Mater. 2003, 35, 39–45. [Google Scholar]





















| Si | Fe | Cu | Mn | Mg | Zn | Ti | Cr | Al |
|---|---|---|---|---|---|---|---|---|
| 0.07 | 0.15 | 0.15 | 0.35 | 1.2 | 4.4 | 0.05 | 0.18 | Bal. |
| 0.25 | 0.4 | 0.1 | 0.3 | 0.12 | 0.1 | 0.14 | 0.13 | Bal. |
| Yield Strength/MPa | Thermal Conductivity/W·m−1·K−1 | Specific Heat Capacity/mJ·t−1·K−1 | Elastic Modulus/MPa | Thermal Expansion Coefficient/K−1 | Density/t·m−3 | Poisson’s Ratio |
|---|---|---|---|---|---|---|
| 295 | 129 | 9.0 × 108 | 6.7 × 104 | 2.38×10−5 | 209 | 0.33 |
| 167 | 119 | 9.0 × 108 | 6.7 × 104 | 2.23×10−5 | 2.75 × 10−9 | 0.33 |
| Test Piece Number | ||
|---|---|---|
| 1# | 0.2 | 25,427 |
| 2# | 0.3 | 1563 |
| 3# | 0.4 | 368 |
| 4# | 0.5 | 264 |
| 5# | 0.6 | 162 |
| 6# | 0.8 | 113 |
| 7# | 1 | 53 |
| Parameters | |||||||
|---|---|---|---|---|---|---|---|
| fitted value | 0.2298 | 388.6 | −0.1083 | −0.7063 | 3.766 × 10−13 | 0.561 | 3.111 |
Publisher’s Note: MDPI stays neutral with regard to jurisdictional claims in published maps and institutional affiliations. |
© 2021 by the authors. Licensee MDPI, Basel, Switzerland. This article is an open access article distributed under the terms and conditions of the Creative Commons Attribution (CC BY) license (http://creativecommons.org/licenses/by/4.0/).
Share and Cite
Ma, J.; Wang, P.; Fang, H. Fatigue Life of 7005 Aluminum Alloy Cruciform Joint Considering Welding Residual Stress. Materials 2021, 14, 1253. https://doi.org/10.3390/ma14051253
Ma J, Wang P, Fang H. Fatigue Life of 7005 Aluminum Alloy Cruciform Joint Considering Welding Residual Stress. Materials. 2021; 14(5):1253. https://doi.org/10.3390/ma14051253
Chicago/Turabian StyleMa, Jianxiao, Ping Wang, and Hongyuan Fang. 2021. "Fatigue Life of 7005 Aluminum Alloy Cruciform Joint Considering Welding Residual Stress" Materials 14, no. 5: 1253. https://doi.org/10.3390/ma14051253
APA StyleMa, J., Wang, P., & Fang, H. (2021). Fatigue Life of 7005 Aluminum Alloy Cruciform Joint Considering Welding Residual Stress. Materials, 14(5), 1253. https://doi.org/10.3390/ma14051253

