Thermogelling Behaviors of Aqueous Poly(N-Isopropylacrylamide-co-2-Hydroxyethyl Methacrylate) Microgel–Silica Nanoparticle Composite Dispersions
Abstract
1. Introduction
2. Materials and Methods
2.1. Materials
2.2. Synthesis of p(NiPAm-co-HEMA) Microgels
2.3. Rheological Characterization of p(NiPAm-co-HEMA) Microgels
3. Results and Discussions
3.1. Synthesis and Characterization of p(NiPAm-co-HEMA) Microgels
3.2. Effect of Salt on the Stability of p(NiPAm-co-HEMA) Microgel Dispersion
3.3. Thermogelling Behaviors of p(NiPAm-co-HEMA) Microgel Dispersion
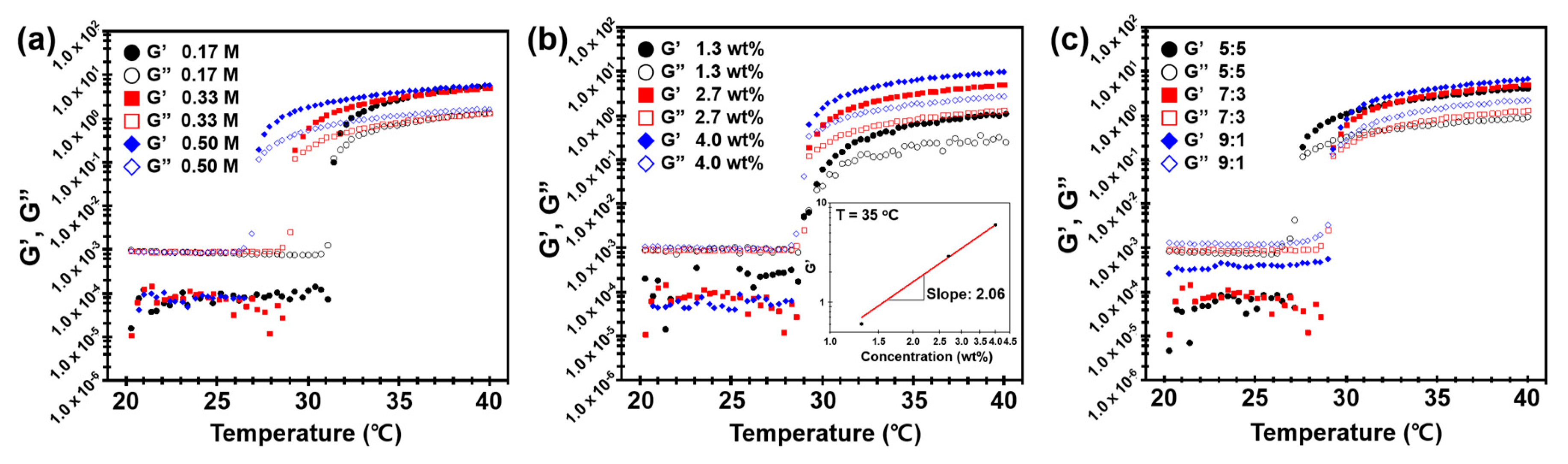
3.3.1. Effect of Salt Concentration
3.3.2. Effect of Microgel Concentration
3.3.3. Effect of NiPAm:HEMA
3.4. Thermogelling Behaviors of p(NiPAm-co-HEMA) Microgel with Silica Nanoparticle Composites
4. Conclusions
Supplementary Materials
Author Contributions
Funding
Institutional Review Board Statement
Informed Consent Statement
Data Availability Statement
Conflicts of Interest
References
- Tian, H.; Liang, J.; Liu, J. Nanoengineering Carbon Spheres as Nanoreactors for Sustainable Energy Applications. Adv. Mater. 2019, 31, 1903886. [Google Scholar] [CrossRef]
- Chen, K.; Xue, D. Colloidal Supercapattery: Redox Ions in Electrode and Electrolyte. Chem. Rec. N. Y. 2017, 18, 282–292. [Google Scholar] [CrossRef] [PubMed]
- Moon, H.J.; Ko, D.Y.; Park, M.H.; Joo, M.K.; Jeong, B. Temperature-Responsive Compounds as in Situ Gelling Biomedical Materials. Chem. Soc. Rev. 2012, 41, 4860–4883. [Google Scholar] [CrossRef]
- Sarwan, T.; Kumar, P.; Choonara, Y.E.; Pillay, V. Hybrid Thermo-Responsive Polymer Systems and Their Biomedical Applications. Front. Mater. 2020, 7, 73. [Google Scholar] [CrossRef]
- Silan, C.; Akcali, A.; Otkun, M.T.; Ozbey, N.; Butun, S.; Ozay, O.; Sahiner, N. Novel Hydrogel Particles and Their IPN Films as Drug Delivery Systems with Antibacterial Properties. Colloids Surf. B Biointerfaces 2012, 89, 248–253. [Google Scholar] [CrossRef]
- Shim, T.S.; Kim, S.; Heo, C.; Jeon, H.C.; Yang, S. Controlled Origami Folding of Hydrogel Bilayers with Sustained Reversibility for Robust Microcarriers. Angew. Chem. Int. Ed. 2012, 51, 1420–1423. [Google Scholar] [CrossRef] [PubMed]
- Wu, Z.L.; Moshe, M.; Greener, J.; Therien-Aubin, H.; Nie, Z.; Sharon, E.; Kumacheva, E. Three-Dimensional Shape Transformations of Hydrogel Sheets Induced by Small-Scale Modulation of Internal Stresses. Nat. Commun. 2013, 4, 1586. [Google Scholar] [CrossRef] [PubMed]
- Lee, S.; Woods, C.N.; Ibrahim, O.; Kim, S.W.; Pyun, S.B.; Cho, E.C.; Fakhraai, Z.; Park, S.J. Distinct Optical Magnetism in Gold and Silver Probed by Dynamic Metamolecules. J. Phys. Chem. C 2020, 124, 20436–20444. [Google Scholar] [CrossRef]
- Zhang, Y.-Z.; Lee, K.H.; Anjum, D.H.; Sougrat, R.; Jiang, Q.; Kim, H.; Alshareef, H.N. MXenes Stretch Hydrogel Sensor Performance to New Limits. Sci. Adv. 2018, 4, eaat0098. [Google Scholar] [CrossRef]
- Sarwar, M.S.; Dobashi, Y.; Preston, C.; Wyss, J.K.M.; Mirabbasi, S.; Madden, J.D.W. Bend, Stretch, and Touch: Locating a Finger on an Actively Deformed Transparent Sensor Array. Sci. Adv. 2017, 3, e1602200. [Google Scholar] [CrossRef]
- Tang, F.; Ma, N.; Tong, L.; He, F.; Li, L. Control of Metal-Enhanced Fluorescence with PH- and Thermoresponsive Hybrid Microgels. Langmuir 2011, 28, 883–888. [Google Scholar] [CrossRef]
- Farooqi, Z.H.; Naseem, K.; Ijaz, A.; Begum, R. Engineering of Silver Nanoparticle Fabricated Poly (N-Isopropylacrylamide-Co-Acrylic Acid) Microgels for Rapid Catalytic Reduction of Nitrobenzene. J. Polym. Eng. 2016, 36, 87–96. [Google Scholar] [CrossRef]
- Nakao, T.; Nagao, D.; Ishii, H.; Konno, M. Synthesis of Monodisperse Composite Poly(N-Isopropylacrylamide) Microgels Incorporating Dispersive Pt Nanoparticles with High Contents. Colloids Surf. Physicochem. Eng. Asp. 2014, 446, 134–138. [Google Scholar] [CrossRef]
- Sun, J.-Y.; Zhao, X.; Illeperuma, W.R.K.; Chaudhuri, O.; Oh, K.H.; Mooney, D.J.; Vlassak, J.J.; Suo, Z. Highly Stretchable and Tough Hydrogels. Nature 2012, 489, 133–136. [Google Scholar] [CrossRef] [PubMed]
- Timothy, B.; Kim, D.; Yoo, S.I.; Yoon, J. Tuning of Volume Phase Transition for Poly(N-Isopropylacrylamide) Ionogels by Copolymerization with Solvatophilic Monomers. Soft Matter 2018, 14, 7664–7670. [Google Scholar] [CrossRef] [PubMed]
- Wu, J.; Zhou, B.; Hu, Z. Phase Behavior of Thermally Responsive Microgel Colloids. Phys. Rev. Lett. 2003, 90, 048304. [Google Scholar] [CrossRef]
- Zhang, B.; Sun, S.; Wu, P. Synthesis and Unusual Volume Phase Transition Behavior of Poly(N-Isopropylacrylamide)–Poly(2-Hydroxyethyl Methacrylate) Interpenetrating Polymer Network Microgel. Soft Matter 2013, 9, 1678–1684. [Google Scholar] [CrossRef]
- Wu, C.; Zhou, S. Laser Light Scattering Study of the Phase Transition of Poly(N-Isopropylacrylamide) in Water. 1. Single Chain. Macromolecules 1995, 28, 8381–8387. [Google Scholar] [CrossRef]
- Liao, W.; Zhang, Y.; Guan, Y.; Zhu, X.X. Gelation Kinetics of Thermosensitive PNIPAM Microgel Dispersions. Macromol. Chem. Physic 2011, 212, 2052–2060. [Google Scholar] [CrossRef]
- Liu, W.; Zhang, B.; Lu, W.W.; Li, X.; Zhu, D.; Yao, K.D.; Wang, Q.; Zhao, C.; Wang, C. A Rapid Temperature-Responsive Sol–Gel Reversible Poly(N-Isopropylacrylamide)-g-Methylcellulose Copolymer Hydrogel. Biomaterials 2004, 25, 3005–3012. [Google Scholar] [CrossRef]
- Zhang, H.; Sun, L.; Yang, B.; Zhang, Y.; Zhu, S. A Thermo-Responsive Dual-Crosslinked Hydrogel with Ultrahigh Mechanical Strength. Rsc. Adv. 2016, 6, 63848–63854. [Google Scholar] [CrossRef]
- Zhang, B.; Tang, H.; Wu, P. The Unusual Volume Phase Transition Behavior of the Poly( N -Isopropylacrylamide)–Poly(2-Hydroxyethyl Methacrylate) Interpenetrating Polymer Network Microgel: Different Roles in Different Stages. Polym. Chem. 2014, 5, 5967–5977. [Google Scholar] [CrossRef]
- Gan, T.; Zhang, Y.; Guan, Y. In Situ Gelation of P(NIPAM-HEMA) Microgel Dispersion and Its Applications as Injectable 3D Cell Scaffold. Biomacromolecules 2009, 10, 1410–1415. [Google Scholar] [CrossRef]
- Su, G.; Zhou, T.; Liu, X.; Ma, Y. Micro-Dynamics Mechanism of the Phase Transition Behavior of Poly(N-Isopropylacrylamide-Co-2-Hydroxyethyl Methacrylate) Hydrogels Revealed by Two-Dimensional Correlation Spectroscopy. Polym. Chem. 2017, 8, 865–878. [Google Scholar] [CrossRef]
- Yildiz, B.; Işik, B.; Kiş, M. Thermoresponsive Poly(N-Isopropylacrylamide-Co-Acrylamide-Co-2-Hydroxyethyl Methacrylate) Hydrogels. React. Funct. Polym. 2002, 52, 3–10. [Google Scholar] [CrossRef]
- Tung, C.M.; Dynes, P.J. Relationship between Viscoelastic Properties and Gelation in Thermosetting Systems. J. Appl. Polym. Sci. 1982, 27, 569–574. [Google Scholar] [CrossRef]
- Bird, R.B.; Armstrong, R.C.; Hassager, O.; Curtiss, C.F.; Middleman, S. Dynamics of Polymeric Liquids, Vols. 1 and 2. Phys. Today 1978, 31, 54–57. [Google Scholar] [CrossRef]
- Mewis, J.; Wagner, N.J. Colloidal Suspension Rheology; Cambridge University Press: Cambridge, UK, 2011. [Google Scholar] [CrossRef]




| NiPAm: HEMA Molar Ratio | NiPAm | HEMA | MBA | SDS | APS | Reaction Time | |||||
|---|---|---|---|---|---|---|---|---|---|---|---|
| mmol | g | mmol | g | mmol | g | mmol | g | mmol | g | h | |
| 10:0 | 250 | 28.290 | 0.00 | 0.000 | 5.00 | 0.771 | 1.00 | 0.288 | 1.50 | 0.342 | 1 |
| 9:1 | 225 | 25.461 | 25.0 | 3.254 | 1 | ||||||
| 8:2 | 200 | 22.632 | 50.0 | 6.507 | 1 | ||||||
| 7:3 | 175 | 19.803 | 75.0 | 9.761 | 1 | ||||||
| 6:4 | 150 | 16.974 | 100 | 13.014 | 0.75 | ||||||
| 5:5 | 75 | 8.487 | 75 | 9.761 | 3.00 | 0.463 | 0.75 | ||||
Publisher’s Note: MDPI stays neutral with regard to jurisdictional claims in published maps and institutional affiliations. |
© 2021 by the authors. Licensee MDPI, Basel, Switzerland. This article is an open access article distributed under the terms and conditions of the Creative Commons Attribution (CC BY) license (http://creativecommons.org/licenses/by/4.0/).
Share and Cite
Hwang, B.S.; Kim, J.S.; Kim, J.M.; Shim, T.S. Thermogelling Behaviors of Aqueous Poly(N-Isopropylacrylamide-co-2-Hydroxyethyl Methacrylate) Microgel–Silica Nanoparticle Composite Dispersions. Materials 2021, 14, 1212. https://doi.org/10.3390/ma14051212
Hwang BS, Kim JS, Kim JM, Shim TS. Thermogelling Behaviors of Aqueous Poly(N-Isopropylacrylamide-co-2-Hydroxyethyl Methacrylate) Microgel–Silica Nanoparticle Composite Dispersions. Materials. 2021; 14(5):1212. https://doi.org/10.3390/ma14051212
Chicago/Turabian StyleHwang, Byung Soo, Jong Sik Kim, Ju Min Kim, and Tae Soup Shim. 2021. "Thermogelling Behaviors of Aqueous Poly(N-Isopropylacrylamide-co-2-Hydroxyethyl Methacrylate) Microgel–Silica Nanoparticle Composite Dispersions" Materials 14, no. 5: 1212. https://doi.org/10.3390/ma14051212
APA StyleHwang, B. S., Kim, J. S., Kim, J. M., & Shim, T. S. (2021). Thermogelling Behaviors of Aqueous Poly(N-Isopropylacrylamide-co-2-Hydroxyethyl Methacrylate) Microgel–Silica Nanoparticle Composite Dispersions. Materials, 14(5), 1212. https://doi.org/10.3390/ma14051212

