Interband Cascade Active Region with Ultra-Broad Gain in the Mid-Infrared Range
Abstract
1. Introduction
2. Materials and Methods
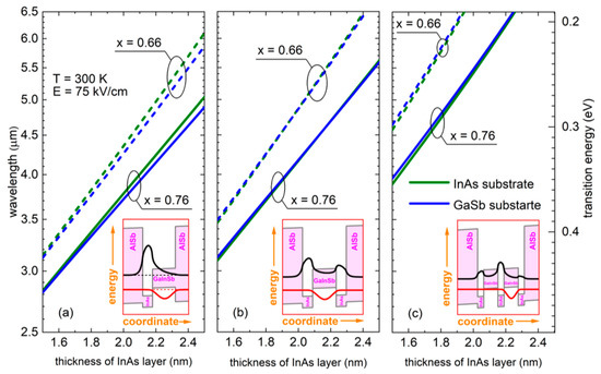
3. Results and Discussion
4. Conclusions
Author Contributions
Funding
Data Availability Statement
Conflicts of Interest
References
- Canedy, C.L.; Bewley, W.W.; Lindle, J.R.; Nolde, J.A.; Larrabee, D.C.; Kim, C.S.; Kim, M.; Vurgaftman, I.; Meyer, J.R. Interband Cascade Lasers with Wavelengths Spanning 2.9 μm to 5.2 μm. J. Electron. Mater. 2008, 37, 1780–1785. [Google Scholar] [CrossRef]
- Bauer, A.; Rößner, K.; Lehnhardt, T.; Kamp, M.; Höfling, S.; Worschech, L.; Forchel, A. Mid-infrared semiconductor heterostructure lasers for gas sensing applications. Semicond. Sci. Technol. 2011, 26, 014032. [Google Scholar] [CrossRef]
- Vurgaftman, I.; Weih, R.; Kamp, M.; Meyer, J.R.; Canedy, C.L.; Kim, C.S.; Kim, M.; Bewley, W.W.; Merritt, C.D.; Abell, J.; et al. Interband cascade lasers. J. Phys. D Appl. Phys. 2015, 48, 123001. [Google Scholar] [CrossRef]
- Jiang, Y.; Li, L.; Tian, Z.; Ye, H.; Zhao, L.; Yang, R.Q.; Mishima, T.D.; Santos, M.B.; Johnson, M.B.; Mansour, K. Electrically widely tunable interband cascade lasers. J. Appl. Phys. 2014, 115, 113101. [Google Scholar] [CrossRef]
- Yang, R.Q. Infrared laser based on intersubband transitions in quantum wells. Superlattices Microstruct. 1995, 17, 77. [Google Scholar] [CrossRef]
- Meyer, J.R.; Bewley, W.W.; Canedy, C.L.; Kim, C.S.; Kim, M.; Merritt, C.D.; Vurgaftman, I. The Interband Cascade Laser. Photonics 2020, 7, 75. [Google Scholar] [CrossRef]
- Motyka, M.; Ryczko, K.; Sęk, G.; Janiak, F.; Misiewicz, J.; Bauer, A.; Höfling, S.; Forchel, A. Type II quantum wells on GaSb substrate designed for laser-based gas sensing applications in a broad range of mid infrared. Opt. Mater. 2012, 34, 1107. [Google Scholar] [CrossRef]
- Tournie’, E.; Baranov, A.N. Chapter 5: Mid-Infrared Semiconductor Lasers: A Review. Semicond. Semimet. 2012, 86, 183. [Google Scholar] [CrossRef]
- Meyer, J.R.; Hoffman, C.A.; Bartoli, F.J.; Ram-Mohan, L.R. Type-II quantum-well lasers for the mid-wavelength infrared. Appl. Phys. Lett. 1995, 67, 757. [Google Scholar] [CrossRef]
- Scheuermann, J.; von Edlinger, M.; Weih, R.; Becker, S.; Nähle, L.; Fischer, M.; Koeth, J.; Kamp, M.; Höfling, S. Single-mode interband cascade laser sources for mid-infrared spectroscopic applications. Proc. SPIE 2016, 9855, 98550G. [Google Scholar]
- Vurgaftman, I.; Bewley, W.W.; Canedy, C.L.; Kim, C.S.; Kim, M.; Merritt, C.D.; Abell, J.; Lindle, J.R. Rebalancing of internally generated carriers for mid-infrared interband cascade lasers with very low power consumption. Nat. Commun. 2011, 2, 585. [Google Scholar] [CrossRef]
- Vurgaftman, I.; Bewley, W.W.; Canedy, C.L.; Kim, C.S.; Kim, M.; Merritt, C.D.; Abell, J.; Meyer, J.R. Interband cascade lasers with low threshold powers and high output powers. IEEE J. Sel. Top. Quantum Electron. 2013, 19, 1200210. [Google Scholar] [CrossRef]
- Spott, A.; Stanton, E.; Torres, A.; Davenport, M.; Canedy, C.; Vurgaftman, I.; Kim, M.; Kim, C.; Merritt, C.; Bewley, W.; et al. Interband cascade laser on silicon. Optica 2018, 5, 996. [Google Scholar] [CrossRef]
- Ryczko, K.; Sȩk, G.; Misiewicz, J. Eight-band k·p modeling of InAs/InGaAsSb type-II W-design quantum well structures for interband cascade lasers emitting in a broad range of mid infrared. J. Appl. Phys. 2013, 114, 223519. [Google Scholar] [CrossRef]
- Ryczko, K.; Sȩk, G. Towards unstrained interband cascade lasers. Appl. Phys. Express 2018, 11, 012703. [Google Scholar] [CrossRef]
- Motyka, M.; Dyksik, M.; Ryczko, K.; Weih, R.; Dallner, M.; Höfling, S.; Kamp, M.; Sȩk, G.; Misiewicz, J. Type-II quantum wells with tensile-strained GaAsSb layers for interband cascade lasers with tailored valence band mixing. Appl. Phys. Lett. 2016, 108, 101905. [Google Scholar] [CrossRef]
- Ryczko, K.; Sȩk, G.; Misiewicz, J. Novel design of type-II quantum wells for mid-infrared emission with tensile-strained GaAsSb layer for confinement of holes. Appl. Phys. Express 2015, 8, 121201. [Google Scholar] [CrossRef]
- Ryczko, K.; Misiewicz, J.; Höfling, S.; Kamp, M.; Sęk, G. Optimizing the active region of interband cascade lasers for passive mode-locking. AIP Adv. 2017, 7, 015015. [Google Scholar] [CrossRef]
- Ryczko, K.; Sȩk, G. Polarization-independent gain in mid-infrared interband cascade lasers. AIP Adv. 2016, 6, 115020. [Google Scholar] [CrossRef]
- Dallner, M.; Hau, F.; Höfling, S.; Kamp, M. InAs-based interband-cascade-lasers emitting around 7 μm with threshold current densities below 1 kA/cm2 at room temperature. Appl. Phys. Lett. 2015, 106, 041108. [Google Scholar] [CrossRef]
- Kim, C.; Bewley, W.; Merritt, C.; Canedy, C.; Warren, M.; Vurgaftman, I.; Meyer, J.; Kim, M. Improved mid-infrared interband cascade light emitting devices. Optical Eng. 2017, 57, 011002. [Google Scholar] [CrossRef]
- Scheuermann, J.; Weih, R.; Edlinger, M.; Nähle, L.; Fischer, M.; Koeth, J.; Kamp, M.; Höfling, S. Single-mode interband cascade lasers emitting below 2.8 μm. Appl. Phys. Lett. 2015, 106, 161103. [Google Scholar] [CrossRef]
- Weih, R.; Kamp, M.; Höfling, S. Interband cascade lasers with room temperature threshold current densities below 100 A/cm2. Appl. Phys. Lett. 2013, 102, 231123. [Google Scholar] [CrossRef]
- Bewley, W.; Canedy, C.; Kim, C.; Kim, M.; Merritt, C.; Abell, J.; Vurgaftman, I.; Meyer, J. Continuous-wave interband cascade lasers operating above room temperature at λ = 4.7–5.6 μm. Opt. Express 2012, 20, 3235. [Google Scholar] [CrossRef] [PubMed]
- Dong, L.; Tittel, F.K.; Li, C.; Sanchez, N.P.; Wu, H.; Zheng, C.; Yu, Y.; Sampaolo, A.; Griffin, R.J. Compact TDLAS based sensor design using interband cascade lasers for mid-IR trace gas sensing. Opt. Express 2016, 24, A528. [Google Scholar] [CrossRef]
- Fang, B.; Yang, N.; Zhao, W.; Wang, C.; Zhang, W.; Song, W.; Venables, D.S.; Chen, W. Improved spherical mirror multipass-cell-based interband cascade laser spectrometer for detecting ambient formaldehyde at parts per trillion by volume levels. Appl. Opt. 2019, 58, 8743. [Google Scholar] [CrossRef]
- Rena, W.; Luo, L.; Tittel, F.K. Sensitive detection of formaldehyde using an interband cascade laser near 3.6 μm. Sens. Actuators 2015, B 221, 1062. [Google Scholar] [CrossRef]
- Wysocki, G.; Bakhirkin, Y.; So, S.; Tittel, F.K.; Hill, C.; Yang, R.Q.; Fraser, M.P. Dual interband cascade laser based trace-gas sensor for environmental monitoring. Appl. Opt. 2007, 46, 8202. [Google Scholar] [CrossRef]
- Ghorbani, R.; Schmidt, F.M. ICL-based TDLAS sensor for real-time breath gas analysis of carbon monoxide isotopes. Opt. Express 2017, 25, 12743–12752. [Google Scholar] [CrossRef]
- Höfling, S.; Weih, R.; Bauer, A.; Kamp, M.; Forchel, A. Room temperature continuous wave interband cascade lasers for gas sensing. In Proceedings of the SPIE Photonics Europe, Brussels, Belgium, 15 May 2012. [Google Scholar] [CrossRef]
- Kluczynski, P.; Lundqvist, S.; Belahsene, S.; Rouillard, Y.; Nähle, L.; Fischer, M.; Koeth, J. Detection of propane using tunable diode laser spectroscopy at 3.37 μm. Appl. Phys. B 2012, 108, 183. [Google Scholar] [CrossRef]
- Soibel, A.; Wright, M.W.; Farr, W.H.; Keo, S.A.; Hill, C.J.; Yang, R.Q.; Liu, H.C. Midinfrared Interband Cascade Laser for Free Space Optical Communication. IEEE Photonics Technol. Lett. 2010, 22, 121–123. [Google Scholar] [CrossRef]
- Tan, I.H.; Snider, G.L.; Chang, L.D.; Hu, E.L. A self consistent solution of Schrödinger–Poisson equations using a nonuniform mesh. J. Appl. Phys. 1990, 68, 4071. [Google Scholar] [CrossRef]
- Xu, W.; Li, L.L.; Dong, H.M.; Gumbs, G.; Folkes, P.A. Band hybridization and spin-splitting in InAs/AlSb/GaSb type II and broken-gap quantum wells. J. Appl. Phys. 2010, 108, 053709. [Google Scholar] [CrossRef]
- Vurgaftman, I.; Meyer, J.R.; Ram-Mohan, L.R. Band parameters for III–V compound semiconductors and their alloys. J. Appl. Phys. 2001, 89, 5815. [Google Scholar] [CrossRef]
- Chuang, S.L. Physics of Optoelectronic Devices; Wiley Series in Pure and Applied Optics; John Wiley & Sons: New York, NY, USA, 1995; Chapter 9. [Google Scholar]
- Liu, G.; Chuang, S.-L. Modeling of Sb-based type-II quantum cascade lasers. Phys. Rev. 2002, B65, 165220. [Google Scholar] [CrossRef]
- Chow, W.W.; Koch, S.W. Semiconductor-Laser Fundamentals, Physics of the Gain Materials; Springer: Berlin/Heidelberg, Germany, 1999; Chapter 2. [Google Scholar]
- Hoffman, C.A.; Meyer, J.R.; Youngdale, E.R.; Bartoli, F.J.; Miles, R.H. Interface roughness scattering in semiconducting and semimetallic InAs-Ga1−xInxSb superlattices. Appl. Phys. Lett. 1993, 63, 2210. [Google Scholar] [CrossRef]
- Bauer, A.; Dallner, M.; Kamp, M.; Höfling, S.; Worschech, L.; Forchel, A. Shortened injector interband cascade lasers for 3.3- to 3.6-µm emission. Opt. Eng. 2010, 49, 111117. [Google Scholar] [CrossRef]
- Ryczko, K.; Sȩk, G. M-shaped quantum wells for active region of interband cascade laser. Optical Mater. 2019, 88, 252–255. [Google Scholar] [CrossRef]
- Mu, Y.-M.; Yang, R. Theoretical investigation of mid-infrared interband cascade lasers based on type II quantum wells. J. Appl. Phys. 1998, 84, 5357. [Google Scholar] [CrossRef]




| Parameter/Material | Symbol (Unit) | InAs | AlSb | GaSb |
|---|---|---|---|---|
| Band gap | Eg (eV) (300 K) | 0.356 | 2.300 | 0.726 |
| Spin-orbit energy | Δ (eV) | 0.390 | 0.676 | 0.760 |
| Interband matrix energy parameter | EP (eV) | 21.5 | 18.7 | 27.0 |
| Electron effective mass | me (mo) | 0.023 | 0.140 | 0.039 |
| Luttinger parameters | γ1 | 20.0 | 5.18 | 13.40 |
| γ2 | 8.5 | 1.19 | 4.70 | |
| γ3 | 9.2 | 1.97 | 6.00 | |
| Lattice constant | a (nm) | 0.60583 | 0.61355 | 0.60959 |
| Elastic stiffness constant | C11 (1011 dyn·cm−2) | 8.329 | 8.769 | 8.842 |
| C12 (1011 dyn·cm−2) | 4.526 | 4.341 | 4.026 | |
| Hydrostatic deformation potential | ||||
| for conduction band | ac (eV) | −5.08 | −4.50 | −7.50 |
| for valence band | av (eV) | −1.00 | −1.40 | −0.80 |
| Shear deformation potential for valence band | b (eV) | −1.80 | −1.35 | −2.00 |
Publisher’s Note: MDPI stays neutral with regard to jurisdictional claims in published maps and institutional affiliations. |
© 2021 by the authors. Licensee MDPI, Basel, Switzerland. This article is an open access article distributed under the terms and conditions of the Creative Commons Attribution (CC BY) license (http://creativecommons.org/licenses/by/4.0/).
Share and Cite
Ryczko, K.; Zielińska, A.; Sęk, G. Interband Cascade Active Region with Ultra-Broad Gain in the Mid-Infrared Range. Materials 2021, 14, 1112. https://doi.org/10.3390/ma14051112
Ryczko K, Zielińska A, Sęk G. Interband Cascade Active Region with Ultra-Broad Gain in the Mid-Infrared Range. Materials. 2021; 14(5):1112. https://doi.org/10.3390/ma14051112
Chicago/Turabian StyleRyczko, Krzysztof, Agata Zielińska, and Grzegorz Sęk. 2021. "Interband Cascade Active Region with Ultra-Broad Gain in the Mid-Infrared Range" Materials 14, no. 5: 1112. https://doi.org/10.3390/ma14051112
APA StyleRyczko, K., Zielińska, A., & Sęk, G. (2021). Interband Cascade Active Region with Ultra-Broad Gain in the Mid-Infrared Range. Materials, 14(5), 1112. https://doi.org/10.3390/ma14051112

