Experimental and Numerical Studies on the Behaviors of Autoclaved Aerated Concrete Panels with Insulation Boards Subjected to Wind Loading
Abstract
:1. Introduction
2. Materials and Methods
2.1. Specimens and Loading Protocols
2.2. Test Setup and Measurement Device
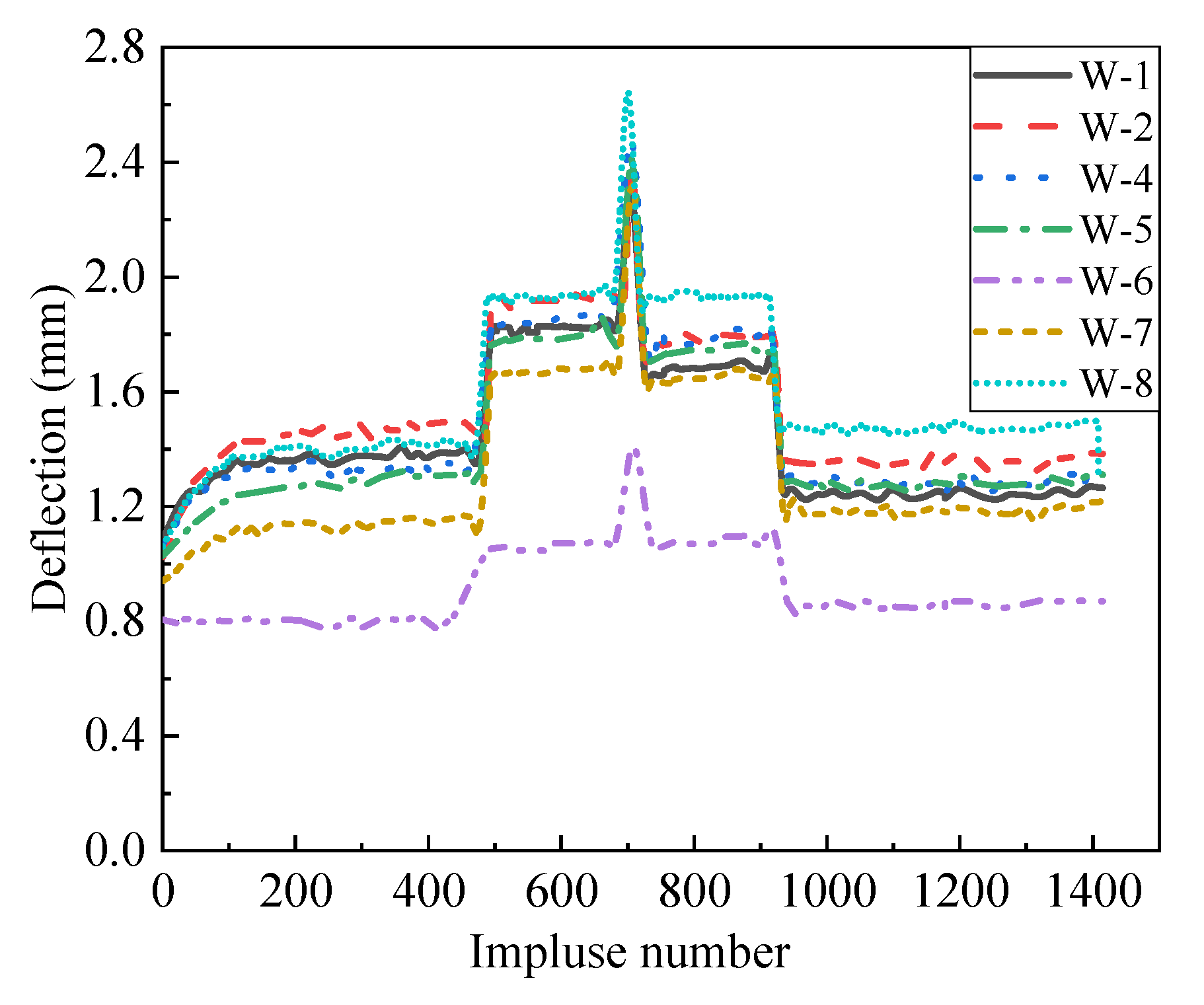
3. Results
4. Numerical Simulations
4.1. Model Description
4.2. Thickness of the AACP
4.3. Reinforcement Ratio
4.4. Strength Grade of AAC
4.5. Comparison of the Theoretical and Finite Element Results
5. Conclusions
Author Contributions
Funding
Data Availability Statement
Conflicts of Interest
References
- Shi, C.J.; Fouad, F.H. Autoclaved Aerated Concrete-Properties and Structural Design; Special Publication; American Concrete Institute: Farmington Hills, MI, USA, 2005; Volume 226. [Google Scholar]
- Ferretti, D.; Michelini, E.; Rosati, G. Mechanical characterization of autoclaved aerated 2 concrete masonry subjected to in-plane loading: 3 experimental investigation and FE modeling. Constr. Build. Mater. 2015, 98, 353–365. [Google Scholar] [CrossRef]
- Wakili, K.G.; Hugi, E.; Karvonen, L.; Schnewlin, P.; Winnefeld, F. Thermal behaviour of autoclaved aerated concrete exposed to fire. Cem. Concr. Compos. 2015, 62, 52–58. [Google Scholar] [CrossRef]
- Uddin, N.; Fouad, F.; Vaida, U.K.; Khotpal, A.; Serrano-Perez, J.C. Structural Characterization of hybrid fiber reinforced polymer (FRP)-autoclave aerated concrete (AAC) panels. J. Reinf. Plast. Compos. 2006, 25, 981. [Google Scholar] [CrossRef]
- Benayoune, A.; Abdul Samad, A.A.; Trikha, D.N.; Ali, A.A.; Ellinna, S.H.M. Flexural behaviour of pre-cast concrete sandwich composite panel-Experimental and theoretical investigations. Constr. Build. Mater. 2008, 22, 580–592. [Google Scholar] [CrossRef]
- Carbonari, G.; Cavalaro, S.H.P.; Cansario, M.M.; Aguado, A. Flexural behaviour of light-weight sandwich panels composed by concrete and EPS. Constr. Build. Mater. 2012, 35, 792–799. [Google Scholar] [CrossRef]
- Raj, S.; Kumar, V.R.; Kumar, B.B.H.; Gopinath, S.; Iyer, N.R. Flexural studies on basalt fiber reinforced composite sandwich panel with profile sheet as core. Constr. Build. Mater. 2015, 82, 391–400. [Google Scholar] [CrossRef]
- Amran, M.; Ali, A.A.; Rashid, R.S.; Hejazi, F.; Safiee, N.A. Structural behavior of laterally Loaded precast foamed concrete sandwich panel. Constr. Build. Mater. 2016, 107, 307–320. [Google Scholar] [CrossRef]
- Pan, G.; Wang, J.; Jia, L.; Wang, W.; Pang, S. Experimental and numerical analysis of flexural behavior of cold-formed thin-walled steel composite walls infilled with light polymer material. J. Hefei Univ. Technol. 2020, 43, 823–829. [Google Scholar]
- Rozylo, P. Failure analysis of thin-walled composite structures using independent advanced damage models. Compos. Struct. 2021, 262, 113598. [Google Scholar] [CrossRef]
- Rozylo, P.; Falkowicz, K. Stability and failure analysis of compressed thin-walled composite structures with central cut-out, using three advanced independent damage models. Compos. Struct. 2021, 273, 114298. [Google Scholar] [CrossRef]
- Zang, M.; Hu, Y.F.; Zhang, J.; Yang, M.; Ye, W.; Mao, G. Experimental and numerical studies on free vibration of CFRP laminate with cutout. Compos. Struct. 2021, 269, 114014. [Google Scholar] [CrossRef]
- Ministry of Housing and Urban-Rural Development. RISN-TG 028-2017: Technical Guideline for External Thermal Insulation Engineering Based on Insulated Decorative Panel; China Architecture & Building Press: Beijing, China, 2017. [Google Scholar]
- Ministry of Construction PRC. GB 50009-2012: Load Code for the Design of Building Structures; China Architecture Building Press: Beijing, China, 2012. [Google Scholar]
- ABAQUS/Standard, Version 6.20; ABAQUS Inc.: Pawtucket, RI, USA, 2020.
- National Technical Committee on Cement Products of Standardization Administration. GB/T 15762-2020: Autoclaved Aerated Concrete Slabs; China Quality Inspection Press: Beijing, China, 2020. [Google Scholar]
- Chen, B.S. Experimental Research and Numerical Simulation on Mechanical Behavior of Autoclaved Aerated Concrete Panel; Beijing University of Civil Engineering and Architecture: Beijing, China, 2016. [Google Scholar]
- Ministry of Housing and Urban-Rural Development of the People’s Republic of China. GB 50010-2010: Code for Design of Concrete Structures; China Architecture & Building Press: Beijing, China, 2010. [Google Scholar]
- Ministry of Housing and Urban-Rural Development of the People’s Republic of China. JGJ/T 17-2008: Technical Specification for Application of Autoclaved Aerated Concrete; China Architecture & Building Press: Beijing, China, 2008. [Google Scholar]
- Wittman, F.H. Autoclaved Aerated Concrete-Properties Testing and Design (RILEM Recommended Practice); Spon Press: London, UK, 1993. [Google Scholar]























| Height (m) | βgz | μsl | μz | ω0 | ωk (kN/m2) | ω (kN/m2) |
|---|---|---|---|---|---|---|
| 15 | 1.57 | −1.4 | 1.42 | 0.80 | −2.50 | −3.50 |
| 40 | 1.51 | −1.4 | 1.79 | 0.80 | −3.03 | −4.24 |
| 80 | 1.47 | −1.4 | 2.18 | 0.80 | −3.59 | −5.02 |
| ψ | ϵ | σb0/σc0 | K | μ |
|---|---|---|---|---|
| 30° | 0.1 | 1.16 | 0.6667 | 0.0005 |
| Category/Material Grade | Elastic Modulus (×105 MPa) | Yield Strength (MPa) | Tensile Strength (MPa) | Compressive Strength (MPa) | Poisson’s Ratio |
|---|---|---|---|---|---|
| AAC | 0.02 | - | 0.28 | 2.88 | 0.2 |
| Rebar | 2.10 | 350 | - | - | 0.3 |
Publisher’s Note: MDPI stays neutral with regard to jurisdictional claims in published maps and institutional affiliations. |
© 2021 by the authors. Licensee MDPI, Basel, Switzerland. This article is an open access article distributed under the terms and conditions of the Creative Commons Attribution (CC BY) license (https://creativecommons.org/licenses/by/4.0/).
Share and Cite
Lu, J.; Chen, J.; Zhu, K.; Xu, H.; Zhang, W.; Deng, Q. Experimental and Numerical Studies on the Behaviors of Autoclaved Aerated Concrete Panels with Insulation Boards Subjected to Wind Loading. Materials 2021, 14, 7651. https://doi.org/10.3390/ma14247651
Lu J, Chen J, Zhu K, Xu H, Zhang W, Deng Q. Experimental and Numerical Studies on the Behaviors of Autoclaved Aerated Concrete Panels with Insulation Boards Subjected to Wind Loading. Materials. 2021; 14(24):7651. https://doi.org/10.3390/ma14247651
Chicago/Turabian StyleLu, Junkai, Jie Chen, Kun Zhu, Hang Xu, Wenjia Zhang, and Qing Deng. 2021. "Experimental and Numerical Studies on the Behaviors of Autoclaved Aerated Concrete Panels with Insulation Boards Subjected to Wind Loading" Materials 14, no. 24: 7651. https://doi.org/10.3390/ma14247651
APA StyleLu, J., Chen, J., Zhu, K., Xu, H., Zhang, W., & Deng, Q. (2021). Experimental and Numerical Studies on the Behaviors of Autoclaved Aerated Concrete Panels with Insulation Boards Subjected to Wind Loading. Materials, 14(24), 7651. https://doi.org/10.3390/ma14247651
