Investigation of Carbon-Based Composites for Elastic Heaters and Effects of Hot Pressing in Thermal Transfer Process on Thermal and Electrical Properties
Abstract
:1. Introduction
2. Materials and Methods
2.1. Materials
2.2. Preparations
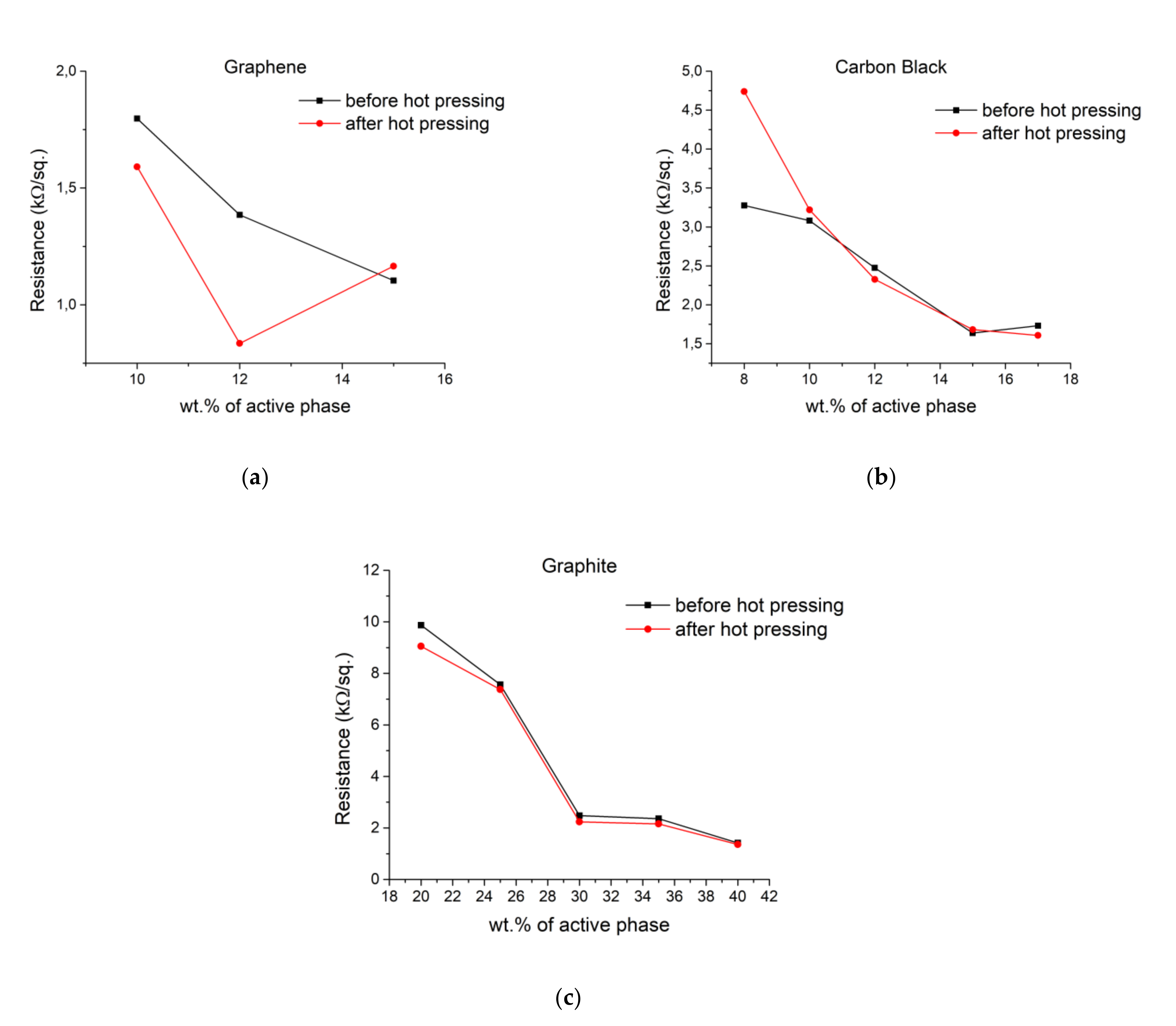
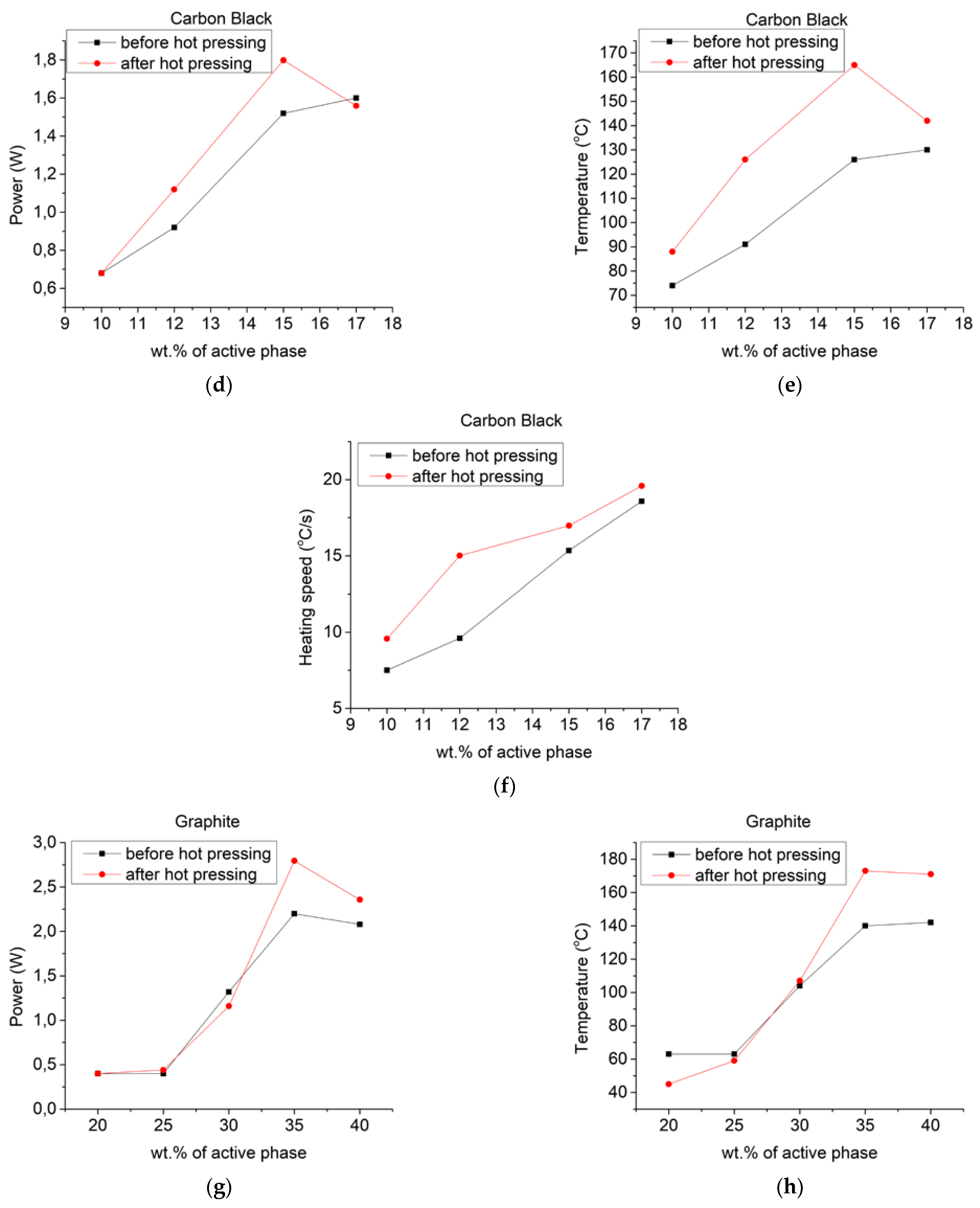
3. Results and Discussion
4. Conclusions
Author Contributions
Funding
Institutional Review Board Statement
Informed Consent Statement
Data Availability Statement
Conflicts of Interest
References
- Matthew, R.; Dutta, J.; Maheswar, R.; Ahmed, K. Intelligent Wearable Electronics: A New Paradigm in Smart Electronics. In Challenges and Solutions for Sustainable Smart City Development EAI/Springer Innovations in Communication and Computing; Springer Nature: Cham, Switzerland, 2021; pp. 169–197. [Google Scholar] [CrossRef]
- Hayward, J. Wearable Technology Forecasts 2019–2029; Report for IDTechEx; IDTechEx: 2019. Available online: https://www.idtechex.com/en/research-report/wearable-technology-forecasts-2019-2029/680 (accessed on 18 December 2020).
- Elenko, E.; Underwood, L.; Zohar, D. Defining Digital Medicine. Nat. Biotechnol. 2015, 33, 456–461. [Google Scholar] [CrossRef]
- Janczak, D.; Zych, M.; Raczyński, T.; Dybowska-Sarapuk, Ł.; Pepłowski, A.; Krzemiński, J.; Sosna-Glłȩbska, A.; Znajdek, K.; Sibiński, M.; Jakubowska, M. Stretchable and Washable Electroluminescent Display Screen-printed on Textile. Nanomaterials 2019, 9, 1276. [Google Scholar] [CrossRef] [PubMed] [Green Version]
- Cho, N.-I.; Kim, M.C. Preparation of Cr-Si Multilayer Structures for Thin Film Heater Applications. Thin Solid Films 2005, 475, 235–238. [Google Scholar] [CrossRef]
- Hong, S.; Lee, H.; Lee, J.; Kwon, J.; Han, S.; Suh, Y.D.; Cho, H.; Shin, J.; Yeo, J.; Ko, S.H. Highly Stretchable and Transparent Metal Nanowire Heater for Wearable Electronics Applications. Adv. Mater. 2015, 27, 4744–4751. [Google Scholar] [CrossRef]
- Shin, K.Y.; Hong, J.Y.; Lee, S.; Jang, J. High Electrothermal Performance of Expanded Graphite Nanoplatelet-based Patch Heater. J. Mater. Chem. 2012, 22, 23404–23410. [Google Scholar] [CrossRef]
- He, X.; He, R.; Lan, Q.; Wu, W.; Duan, F.; Xiao, J.; Zhang, M.; Zeng, Q.; Wu, J.; Liu, J. Screen-Printed Fabrication of PEDOT:PSS/Silver Nanowire Composite Films for Transparent Heaters. Materials 2017, 10, 220. [Google Scholar] [CrossRef]
- Maheshwari, N.; Abd-Ellah, M.; Goldthorpe, I.A. Transfer Printing of Silver Nanowire Conductive Ink for e-textile Applications. Flex. Print. Electron. 2019, 4, 025005. [Google Scholar] [CrossRef]
- Elmoughni, H.M.; Menon, A.K.; Wolfe, R.M.W.; Yee, S.K. A Textile-Integrated Polymer Thermoelectric Generator for Body Heat Harvesting. Adv. Mater. Technol. 2019, 4, 10800708. [Google Scholar] [CrossRef]
- Pulanthran, K.; Jizat, N.M.; Islam, M.S. A Low-cost Textile Antenna using Thermal-transfer Printing. In Proceedings of the 16th IEEE International Colloquium on Signal Processing and its Applications, CSPA 2020, Langkawi, Malaysia, 28–29 February 2020; pp. 162–165. [Google Scholar] [CrossRef]
- Kost, L.; Pavec, M.; Michal, D.; Moravcova, D.; Soukup, R.; Hamacek, A. E-textile Piano Fabricated using Several Textile Technologies. In Proceedings of the International Spring Seminar on Electronics Technology, Demanovska Valley, Slovakia, 14–15 May 2020; pp. 1–5. [Google Scholar] [CrossRef]
- Zhang, T.Y.; Zhao, H.M.; Wang, D.Y.; Wang, Q.; Pang, Y.; Deng, N.Q.; Cao, H.W.; Yang, Y.; Ren, T.L. A super flexible and custom-shaped graphene heater. Nanoscale 2017, 9, 14357–14363. [Google Scholar] [CrossRef]
- Lin, S.Y.; Zhang, T.Y.; Lu, Q.; Wang, D.Y.; Yang, Y.; Wu, X.M.; Ren, T.L. High-Performance Graphene-Based Flexible Heater for Wearable Applications. RSC Adv. 2017, 7, 27001–27006. [Google Scholar] [CrossRef] [Green Version]
- Kim, Y.; Lee, H.R.; Saito, T.; Nishi, Y. Ultra-Thin and High-Response Transparent and Flexible Heater Based on Carbon Nanotube Film. Appl. Phys. Lett. 2017, 110, 153301. [Google Scholar] [CrossRef]
- Pyo, K.-H.; Kim, J.-W. Transparent and Mechanically Robust Flexible Heater Based on Compositing of Ag Nanowires and Conductive Polymer. Compos. Sci. Technol. 2016, 133, 7–14. [Google Scholar] [CrossRef]
- Zeng, P.; Tian, B.; Tian, Q.; Yao, W.; Li, M.; Wang, H.; Feng, Y.; Liu, L.; Wu, W. Screen-Printed, Low-Cost, and Patterned Flexible Heater Based on Ag Fractal Dendrites for Human Wearable Application. Adv. Mater. Technol. 2019, 4, 1800453. [Google Scholar] [CrossRef]
- Park, H.K.; Kim, S.M.; Lee, J.S.; Park, J.H.; Hong, Y.K.; Hong, C.H.; Kim, K.K. Flexible Plane Heater: Graphite and Carbon Nanotube Hybrid Nanocomposite. Synth. Met. 2015, 203, 127–134. [Google Scholar] [CrossRef]
- Młyńczak, M.; Zyliński, M.; Janczak, D.; Jakubowska, M.; Niewiadomski, W.; Cybulski, G. Graphene electrodes for long-term impedance pneumography—A feasibility study. In Proceedings of the European Medical and Biological Engineering Conference, Tampere, Finland, 11–15 June 2017; pp. 514–517. [Google Scholar]
- Dybowska-Sarapuk, L.; Janczak, D.; Podsiadly, B.; Jakubowska, M.; Sloma, M. Electrical and Rheological Percolation Threshold of Graphene Pastes for Screen-Printing. Circuit World 2019, 45, 26–30. [Google Scholar] [CrossRef]
- Pepłowski, A.; Rathi, S.; Piotrkowski, B.; Ziółkowski, R.; Janczak, D.; Krzemiński, J.; Brosch, M.; Jakubowska, M. Electrochemistry of Graphene Nanoplatelets Printed Electrodes for Cortical Direct Current Stimulation. Front. Neurosci. 2020, 14. [Google Scholar] [CrossRef]
- Bourrat, X. Electrically Conductive Grades of Carbon Black: Structure and Properties. Carbon 1993, 31, 287–302. [Google Scholar] [CrossRef]
- Gubbels, F.; Jerome, R.; Teyssie, P.; Vanlathem, E.; Deltour, R.; Calderone, A.; Parents, V.; Bredas, J.L. Selective Localization of Carbon Black in Immiscible Polymer Blends: A Useful Tool To Design Electrical Conductive Composites. Macromolecules 1994, 27, 1972–1974. [Google Scholar] [CrossRef]
- Duan, L.; Spoerk, M.; Wieme, T.; Cornillie, P.; Xia, H.; Zhang, J.; Cardon, L.; D’hooge, D.R. Designing Formulation Variables of Extrusion-Based Manufacturing of Carbon Black Conductive Polymer Composites for Piezoresistive Sensing. Compos. Sci. Technol. 2019, 171, 78–85. [Google Scholar] [CrossRef]
- Phillips, C.; Al-Ahmadi, A.; Potts, S.J.; Claypole, T.; Deganello, D. The Effect of Graphite and Carbon Black Ratios on Conductive Ink Performance. J. Mater. Sci. 2017, 52, 9520–9530. [Google Scholar] [CrossRef] [Green Version]
- Sengupta, R.; Bhattacharya, M.; Bandyopadhyay, S.; Bhowmick, A.K. A Review on the Mechanical and Electrical Properties of Graphite and Modified Graphite Reinforced Polymer Composites. Prog. Polym. Sci. 2011, 36, 638–670. [Google Scholar] [CrossRef]
- Kalaitzidou, K.; Fukushima, H.; Drzal, L.T. Multifunctional Polypropylene Composites Produced by Incorporation of Exfoliated Graphite Nanoplatelets. Carbon 2007, 45, 1446–1452. [Google Scholar] [CrossRef]
- Zheng, W.; Wong, S.C. Electrical Conductivity and Dielectric Properties of PMMA/expanded Graphite Composites. Compos. Sci. Technol. 2003, 63, 225–235. [Google Scholar] [CrossRef]







| Material | Production Method | Resistance, Ω/sq. | Voltage, V | Temperature, °C | Source |
|---|---|---|---|---|---|
| Graphene Oxide | Laser patterning | 1000 | 18 | 247.3 | [13] |
| Graphene Oxide, silver particles | Drop coating | 158 | 15 | 160 | [14] |
| Single-walled carbon nanotubes | Doctor-blade | 93 | 7 | 140 | [15] |
| Silver nanowire | Polymer casting | 30 | 10 | 200 | [6] |
| Silver nanowire | Polymer casting | 30 | 16 | 131 | [16] |
| Silver nanowire | Screen-printing | 380 | 40 | 99 | [8] |
| Silver fractal dendrites | Screen-printing | 0.83 | 2 | 107.4 | [17] |
| Graphene, carbon nanotubes | Screen-printing and lamination | 500 | 12 | 57 | [18] |
| Material | Diameter, µm | Thickness, nm | Surface Area, m2/g |
|---|---|---|---|
| GNP C | 2 | 8–15 | 500–700 |
| CB | 0.3 | 30 | 254 |
| Graphite | 10 | 10,000 | ~1.5 |
| Sample Name | Resistance Before Hot Pressing, kΩ/sq. | Resistance After Hot Pressing, kΩ/sq. |
|---|---|---|
| GNPC_10 | 1.80 ± 0.4085 | 1.59 ± 0.13608 |
| GNPC_12 | 1.38 ± 0.48518 | 0.84 ± 0.31876 |
| GNPC_15 | 1.10 ± 0.31062 | 1.17 ± 0.31077 |
| CB_10 | 3.08 ± 0.12073 | 3.22 ± 0.38048 |
| CB_12 | 2.48 ± 0.23937 | 2.33 ± 0.2547 |
| CB_15 | 1.64 ± 0.23031 | 1.68 ± 0.22878 |
| CB_17 | 1.73 ± 0.23592 | 1.61 ± 0.25223 |
| G_20 | 9.87 ± 1.33997 | 9.05 ± 1.87091 |
| G_25 | 7.56 ± 1.45489 | 7.37 ± 1.61598 |
| G_30 | 2.48 ± 0.48055 | 2.24 ± 0.23633 |
| G_35 | 2.36 ± 1.37034 | 2.16 ± 1.21135 |
| G_40 | 1.42 ± 0.43242 | 1.36 ± 0.19569 |
Publisher’s Note: MDPI stays neutral with regard to jurisdictional claims in published maps and institutional affiliations. |
© 2021 by the authors. Licensee MDPI, Basel, Switzerland. This article is an open access article distributed under the terms and conditions of the Creative Commons Attribution (CC BY) license (https://creativecommons.org/licenses/by/4.0/).
Share and Cite
Raczyński, T.; Janczak, D.; Szałapak, J.; Walter, P.; Jakubowska, M. Investigation of Carbon-Based Composites for Elastic Heaters and Effects of Hot Pressing in Thermal Transfer Process on Thermal and Electrical Properties. Materials 2021, 14, 7606. https://doi.org/10.3390/ma14247606
Raczyński T, Janczak D, Szałapak J, Walter P, Jakubowska M. Investigation of Carbon-Based Composites for Elastic Heaters and Effects of Hot Pressing in Thermal Transfer Process on Thermal and Electrical Properties. Materials. 2021; 14(24):7606. https://doi.org/10.3390/ma14247606
Chicago/Turabian StyleRaczyński, Tomasz, Daniel Janczak, Jerzy Szałapak, Piotr Walter, and Małgorzata Jakubowska. 2021. "Investigation of Carbon-Based Composites for Elastic Heaters and Effects of Hot Pressing in Thermal Transfer Process on Thermal and Electrical Properties" Materials 14, no. 24: 7606. https://doi.org/10.3390/ma14247606
APA StyleRaczyński, T., Janczak, D., Szałapak, J., Walter, P., & Jakubowska, M. (2021). Investigation of Carbon-Based Composites for Elastic Heaters and Effects of Hot Pressing in Thermal Transfer Process on Thermal and Electrical Properties. Materials, 14(24), 7606. https://doi.org/10.3390/ma14247606
