Effect of Deep Cryogenic Treatment on Wear and Galling Properties of High-Speed Steels
Abstract
:1. Introduction
2. Materials and Methods
2.1. Materials and Heat Treatment
2.2. Testing Methods
2.2.1. Reciprocating Sliding Tests
2.2.2. Galling
2.2.3. Dynamic Impact Wear
2.2.4. Microstructure of Selected High-Speed Steels
3. Results
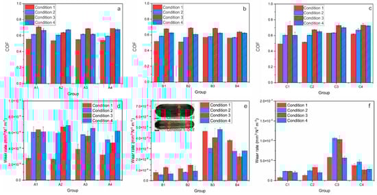
3.1. Sliding Wear Resistance
3.1.1. Conditions Favoring Abrasive Wear (Al2O3 Counter-Body)
3.1.2. Conditions Favoring Combination of Abrasive and Adhesive Wear (AISI 52100 Counter-Body)
3.1.3. Conditions Favoring Combination of Abrasive and Adhesive Wear (AISI 304L Counter-Body)
3.2. Galling
3.3. Dynamic Impact Wear
4. Discussion
4.1. Sliding Wear Resistance (Abrasive and Adhesive Wear)
4.2. Galling Resistance
4.3. Dynamic Impact Wear
5. Conclusions
- The positive effect of DCT on the tribological properties of HSS is attributed to a more homogenous microstructure, an increase in precipitation of finer carbides, the modification of different carbide types, and the generally reduced mean carbide diameter that, consequently, led to better mechanical properties.
- The eventual negative effect of DCT is related to the combined effect of increased volume fraction of carbides and a tougher matrix, which, under certain contact conditions (combined abrasive/adhesive wear), may lead to the sticking and tearing of the matrix material, and the microcracking and pull-outs of carbides. This exposes carbide–matrix boundaries, which act as the starting locations for oxidative wear, while loose carbides may act as abrasive third-body particles.
- Through the homogeneous distribution of fine carbides over the contact surface, DCT greatly reduces the adhesion and galling of counter-material, while a tougher matrix and increased volume fraction of carbides provides an improved impact wear resistance of HSS. Under sliding, DCT generally reduces abrasive wear. However, the presence of an adhesive component and carbides pull-out may shift the trend in the opposite direction, especially when combined with milder contact conditions.
- The selection of the heat treatment regime influences the performance of DCT and, consequently, the changes in the microstructure, mechanical properties and tribological properties of HSS. The most optimal heat treatment regime promoting wear resistance improvement by DCT is hardening from lower austenitizing temperature and high temperature tempering, which promotes carbides precipitation and high toughness over hardness.
- Alloying elements and steel type influence the type, shape and precipitation of carbides, and thus affect the wear and galling properties. The most positive effect of DCT on wear resistance is obtained for high-alloyed Co-containing steel C (AISI M35), with DCT mainly resulting in the refinement of carbides. At lower alloying element contents (steel A; AISI M2), the effect of DCT diminishes, while, for PM steels with very uniform carbides, the positive effect of DCT becomes a negative effect when abrasive wear is accompanied with adhesion.
Supplementary Materials
Author Contributions
Funding
Institutional Review Board Statement
Informed Consent Statement
Data Availability Statement
Acknowledgments
Conflicts of Interest
References
- Podgornik, B.; Majdic, F.; Leskovsek, V.; Vizintin, J. Improving tribological properties of tool steels through combination of deep-cryogenic treatment and plasma nitriding. Wear 2012, 288, 88–93. [Google Scholar] [CrossRef]
- Porter, D.A.; Easterling, K.E.; Sherif, M.Y.A. Phase Transformations in Metals and Alloys, 3rd ed.; CRC Press, Taylor & Francis Group: Boca Raton, FL, USA, 2009; ISBN 978-1-4398-8357-0. [Google Scholar]
- Senthilkumar, D. Cryogenic Treatment: Shallow and Deep. In Encyclopedia of Iron, Steel, and Their Alloys; Totten, G.E., Colas, R., Eds.; Taylor and Francis: New York, NY, USA, 2016; pp. 995–1007. ISBN 9781351254496. [Google Scholar]
- Jovičević-Klug, P.; Podgornik, B. Comparative study of conventional and deep cryogenic treatment of AISI M3:2 (EN 1.3395) high-speed steel. J. Mater. Res. Technol. 2020, 9, 13118–13127. [Google Scholar] [CrossRef]
- Oppenkowski, A.; Weber, S.; Theisen, W. Evaluation of factors influencing deep cryogenic treatment that affect the properties of tool steels. J. Mater. Process. Technol. 2010, 210, 1949–1955. [Google Scholar] [CrossRef]
- Leskovšek, V.; Kalin, M.; Vižintin, J. Influence of deep-cryogenic treatment on wear resistance of vacuum heat-treated HSS. Vacuum 2006, 80, 507–518. [Google Scholar] [CrossRef]
- Pellizzari, M.; Molinari, A.; Girardini, L.; Maldarelli, L. Deep cryogenic treatment of AISI M2 high-speed steel. Int. J. Microstruct. Mater. Prop. 2008, 3, 383–390. [Google Scholar] [CrossRef]
- Pellizzari, M. Influence of deep cryogenic treatment on the properties of conventional and PM high speed steels. Metall. Ital. 2008, 100, 17–22. [Google Scholar]
- Pellizzari, M.; Caliskanoglu, D.; Fernández, A.; Barbero, J.I.; Pena, B.; Uemit, T.; Pizarro Sanz, R.; Elvira Eguizabal, R.; Alava, L.A. Influence of different deep cryogenic treatment routes on the properties of high speed steel. HTM J. Heat Treat. Mater. 2012, 67, 111–117. [Google Scholar] [CrossRef]
- Fantineli, D.G.; Parcianello, C.T.; Rosendo, T.S.; Reguly, A.; Tier, M.D. Effect of heat and cryogenic treatment on wear and toughness of HSS AISI M2. J. Mater. Res. Technol. 2020, 9, 12354–12363. [Google Scholar] [CrossRef]
- Zhou, L.; Min, N.; Li, H.; Wu, X. Nanoscratch and internal friction investigations of deep cryogenic treated M2 high-speed steel. Heat Treat. Surf. Eng. 2020, 1, 109–114. [Google Scholar] [CrossRef]
- Candane, D. Effect of Cryogenic Treatment on Microstructure and Wear Characteristics of AISI M35 HSS. Int. J. Mater. Sci. Appl. 2013, 2, 60. [Google Scholar] [CrossRef]
- Cicek, A.; KIvak, T.; Uygur, I.; Ekici, E.; Turgut, Y. Performance of cryogenically treated M35 HSS drills in drilling of austenitic stainless steels. Int. J. Adv. Manuf. Technol. 2012, 60, 65–73. [Google Scholar] [CrossRef]
- Jovičević-Klug, P.; Jovičević-Klug, M.; Sever, T.; Feizpour, D.; Podgornik, B. Impact of Steel Type, Composition and Heat Treatment Parameters on Effectiveness of Deep Cryogenic Treatment. J. Mater. Res. Technol. 2021, 14, 1007–1020, in progres. [Google Scholar] [CrossRef]
- Jeleńkowski, J.; Ciski, A.; Babul, T. Effect of deep cryogenic treatment on substructure of HS6-5-2 high speed steel. J. Achiev. Mater. Manuf. Eng. 2010, 43, 80–87. [Google Scholar]
- Jovičević-Klug, P.; Jovičević-Klug, M.; Podgornik, B. Effectiveness of deep cryogenic treatment on carbide precipitation. J. Mater. Res. Technol. 2020, 9, 13014–13026. [Google Scholar] [CrossRef]
- Jovičević-Klug, P.; Puš, G.; Jovičević-Klug, M.; Žužek, B.; Podgornik, B. Influence of heat treatment parameters on effectiveness of deep cryogenic treatment on properties of high-speed steels. Mater. Sci. Eng. A 2022, 829, 142157. [Google Scholar] [CrossRef]
- Podgornik, B.; Žužek, B.; Leskovšek, V. Experimental Evaluation of Tool Steel Fracture Toughness Using Circumferentially Notched and Precracked Tension Bar Specimen. Mater. Perform. Charact. 2014, 3, 87–103. [Google Scholar] [CrossRef]
- Williams, J. Engineering Tribology; Cambridge University Press: New York, NY, USA, 2005; ISBN 978-0-521-60988-3. [Google Scholar]
- Podgornik, B.; Hogmark, S.; Pezdirnik, J. Comparison between different test methods for evaluation of galling properties of surface engineered tool surfaces. Wear 2004, 257, 843–851. [Google Scholar] [CrossRef]
- Jovičević-Klug, P.; Jenko, M.; Jovičević-Klug, M.; Šetina Batič, B.; Kovač, J.; Podgornik, B. Effect of Deep Cryogenic Treatment on Surface Chemistry and Microstructure of Selected High-Speed Steels. Appl. Surf. Sci. 2021, 548, 149257. [Google Scholar] [CrossRef]
- Roberts, G.A.; George, A.; Cary, R.A. Tool Steels; American Society for Metals: San Marcos, CA, USA, 1980; ISBN 0871700964. [Google Scholar]
- Wilmes, S.; Zwick, G. Effect of Niobium and Vanadium As an Alloying Element in Tool Steels With High Chromium Content. In Proceedings of the 6th International Tooling Conference: The Use of Tool Steels: Experience and Research, Karlstad, Sweden, 10–13 September 2002; pp. 269–287. [Google Scholar]
- Inoue, A.; Arakawa, S.; Masumoto, T. Effect of Alloying Elements on Defect Structure and Hardness of M23C6 Type Carbides. Trans. Jpn. Inst. Met. 1979, 20, 585–592. [Google Scholar] [CrossRef]
- Vardavoulias, M. The role of hard second phases in the mild oxidational wear mechanism of high-speed steel-based materials. Wear 1994, 173, 105–114. [Google Scholar] [CrossRef]
- Jovicevic-Klug, M.; Jovicevic-Klug, P.; McCord, J.; Podgornik, B. Investigation of microstructural attributes of steel surfaces through magneto-optical Kerr effect. J. Mater. Res. Technol. 2021, 11, 1245–1259. [Google Scholar] [CrossRef]









| Steel (AISI) | C | Mn | S | Cr | Mo | W | V | Co | Fe |
|---|---|---|---|---|---|---|---|---|---|
| M2 | 0.90 | 0.28 | 0.002 | 4.00 | 4.70 | 6.00 | 1.70 | - | base |
| M3:2 | 1.29 | 0.31 | 0.006 | 3.90 | 4.80 | 6.75 | 3.00 | 0.69 | base |
| M35 | 0.90 | 0.34 | 0.004 | 4.10 | 5.20 | 6.20 | 2.01 | 4.50 | base |
| Steel (AISI) | Subgroup | Austenitizing (°C/min) | DCT (°C/h) | Tempering (°C/h) | HRC | KIc * (MPa√m) | KV ** (J) |
|---|---|---|---|---|---|---|---|
| M2 (A) | A1-CHT (A1) | 1230/2 | - | 3x 550/1 | 66 | 10 | 3 |
| A2-DCT (A2) | 1230/2 | −196/24 | 1x 550/1 | 65 | 11 | 3 | |
| A3-CHT (A3) | 1180/2 | - | 3x 620/1 | 58 | 12 | 3 | |
| A4-DCT (A4) | 1180/2 | −196/24 | 1x 620/1 | 60 | 14 | 3 | |
| M3:2 (B) | B1-CHT (B1) | 1180/2 | - | 3x 540/2 | 66 | 10 | 3 |
| B2-DCT (B2) | 1180/2 | −196/24 | 1x 540/2 | 65 | 10 | 4 | |
| B3-CHT (B3) | 1050/2 | - | 3x 600/2 | 53 | 15 | 4 | |
| B4-DCT (B4) | 1050/2 | −196/24 | 1x 600/2 | 56 | 12 | 4 | |
| M35 (C) | C1-CHT (C1) | 1230/2 | - | 3x 550/2 | 66 | 13 | 3 |
| C2-DCT (C2) | 1230/2 | −196/24 | 1x 550/2 | 65 | 13 | 4 | |
| C3-CHT (C3) | 1160/2 | - | 3x 620/2 | 53 | 13 | 3 | |
| C4-DCT (C4) | 1160/2 | −196/24 | 1x 620/2 | 57 | 13 | 3 |
| Sliding Condition | Speed (m/s) | Contact Pressure (GPa) |
|---|---|---|
| Condition 1 (Al2O3/AISI 52100/AISI 304L) | 0.12 | 102/40/40 |
| Condition 2 (Al2O3/AISI 52100/AISI 304L) | 0.01 | 102/40/40 |
| Condition 3 (Al2O3/AISI 52100/AISI 304L) | 0.12 | 30/20/20 |
| Condition 4 (Al2O3/AISI 52100/AISI 304L) | 0.01 | 30/20/20 |
Publisher’s Note: MDPI stays neutral with regard to jurisdictional claims in published maps and institutional affiliations. |
© 2021 by the authors. Licensee MDPI, Basel, Switzerland. This article is an open access article distributed under the terms and conditions of the Creative Commons Attribution (CC BY) license (https://creativecommons.org/licenses/by/4.0/).
Share and Cite
Jovičević-Klug, P.; Sedlaček, M.; Jovičević-Klug, M.; Podgornik, B. Effect of Deep Cryogenic Treatment on Wear and Galling Properties of High-Speed Steels. Materials 2021, 14, 7561. https://doi.org/10.3390/ma14247561
Jovičević-Klug P, Sedlaček M, Jovičević-Klug M, Podgornik B. Effect of Deep Cryogenic Treatment on Wear and Galling Properties of High-Speed Steels. Materials. 2021; 14(24):7561. https://doi.org/10.3390/ma14247561
Chicago/Turabian StyleJovičević-Klug, Patricia, Marko Sedlaček, Matic Jovičević-Klug, and Bojan Podgornik. 2021. "Effect of Deep Cryogenic Treatment on Wear and Galling Properties of High-Speed Steels" Materials 14, no. 24: 7561. https://doi.org/10.3390/ma14247561
APA StyleJovičević-Klug, P., Sedlaček, M., Jovičević-Klug, M., & Podgornik, B. (2021). Effect of Deep Cryogenic Treatment on Wear and Galling Properties of High-Speed Steels. Materials, 14(24), 7561. https://doi.org/10.3390/ma14247561
