Investigation on the Performance of Partial Penetration Welds in Multicell Concrete Filled Steel Tubes
Abstract
:1. Introduction
2. Experimental Program
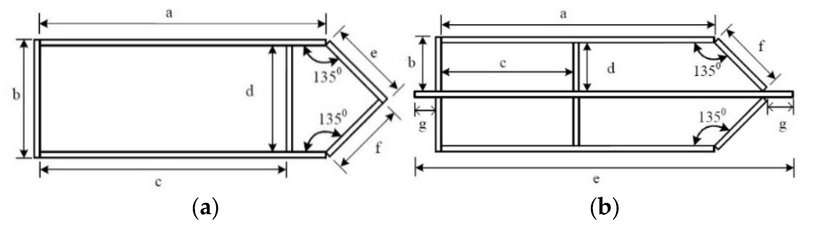
2.1. Description of Test Specimens
2.2. Material Properties
2.3. Employment of Displacement and Strain Gauges
2.4. Overall Behavior of the Tested Specimens
2.4.1. Failure Condition
2.4.2. Influence of Cyclic and Monotonic Loading Procedures
2.4.3. Influence of Vertical and Slantwise Load Orientations
2.4.4. Influence of Cell Number (2-Cell vs. 4-Cell Specimens)
2.5. Performance of Specimens with Different Weld Details
2.5.1. Influence of Weld Detail in Internal Connections
2.5.2. Influence of Corner Weld Details
2.5.3. Influence of Width to Thickness Ratio on the Weld Performance
3. FEM Modeling
3.1. General
3.2. Selection of Step Type in Abaqus
3.3. Material Properties
3.3.1. Modelling of the Confined Concrete
3.3.2. Modelling of the Steel Tube and Welds
3.4. Loading and Boundary Conditions
3.5. Modelling of Residual Stresses
3.6. FEM Results and Verfication
3.6.1. Force-Displacement Curves
3.6.2. Buckling Shapes
4. Evaluation of the Resultant Stress at the Corners with Partial Penetration Welds
4.1. General
4.2. Calculation of the Stress Components at the Weld Throat Plane
4.2.1. Problem Domain
4.2.2. Governing Equations
4.2.3. Transformation to Circular Cross-Section
- The forces acting on the steel plate (load per unit circumference and confinement pressure) are first calculated for the original cross-section.
- The rectangular section is transformed to an equivalent circular section based on Equation (16) and the calculated forces are applied on the transformed section; this step will involve the equivalent thickness of the transformed section and will yield stress components per unit length or circumference.
4.2.4. Calculating the Coefficients of the Buckling Shape Equation
4.2.5. Calculation of the Stress and Bending Components
4.3. Substituting the Stress and Bending Components in EC3 Resultant Stress Formula
4.4. Parametric Analysis
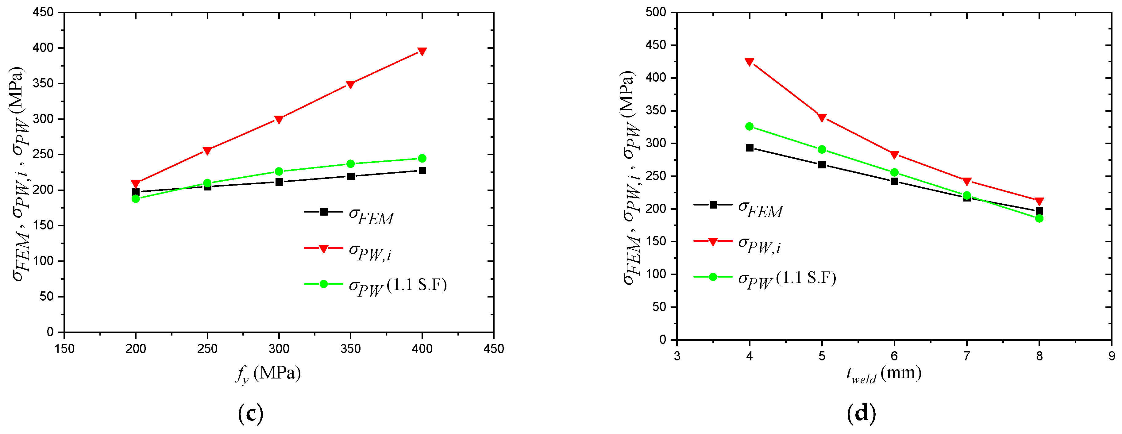
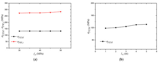
4.4.1. Most Influencing Parameters
Influence of Vertical Load ()
Influence of the Plate Width to Thickness Ratio ()
Influence of Short Plate to Long Plate Ratio ()
Influence of the Yield Strength of Steel ()
Influence of the Weld Throat Thickness ()
4.4.2. Less Influencing Parameters
4.5. Regression Analysis
4.6. Discussion
5. Conclusions
- Using partial penetration weld for internal connections has no influence on the stiffness nor the ultimate capacity of the cross-section. However, when used for external corner connections, the influence on the stiffness of the column becomes more prominent, and tearing of the partial penetration welded corner near the location of elephant foot local buckling is possible, which indicates a necessity to evaluate the performance of this weld detail when used at this location.
- The behavior of the Partial penetration welded corner is mostly influenced by the plate width to thickness ratio, and for smaller width to thickness ratios, the use of partial penetration weld for external corner connections becomes more feasible.
- An equation to calculate the stress at the partial penetration welded corner was proposed based on the presented empirical procedure and with respect to the most influencing parameters. The safety of the proposed equation was strictly controlled, which guarantees a lower bound solution for at least 95% of the considered parameters range, with the stress in none of the cases being underestimated by more than 10%.
Author Contributions
Funding
Institutional Review Board Statement
Informed Consent Statement
Data Availability Statement
Acknowledgments
Conflicts of Interest
Appendix A. Buckling Shape Equations for Part 1 and Part 2 in Figure 16
Appendix B. Enforcing the Boundary Conditions in Figure 16
Appendix C. Coefficients of and in Equation (17)
References
- Han, L.-H.; An, Y.-F. Performance of Concrete-Encased CFST Stub Columns under Axial Compression. J. Constr. Steel Res. 2014, 93, 62–76. [Google Scholar] [CrossRef]
- Lai, M.H.; Ho, J.C.M. A Theoretical Axial Stress-Strain Model for Circular Concrete-Filled-Steel-Tube Columns. Eng. Struct. 2016, 125, 124–143. [Google Scholar] [CrossRef]
- Lai, M.H.; Ho, J.C.M. Confinement Effect of Ring-Confined Concrete-Filled-Steel-Tube Columns under Uni-Axial Load. Eng. Struct. 2014, 67, 123–141. [Google Scholar] [CrossRef]
- Susantha, K.A.S.; Ge, H.; Usami, T. Uniaxial Stress–Strain Relationship of Concrete Confined by Various Shaped Steel Tubes. Eng. Struct. 2001, 23, 1331–1347. [Google Scholar] [CrossRef]
- Ge, H.B.; Susantha, K.A.S.; Satake, Y.; Usami, T. Seismic Demand Predictions of Concrete-Filled Steel Box Columns. Eng. Struct. 2003, 25, 337–345. [Google Scholar] [CrossRef]
- Thai, H.-T.; Uy, B.; Khan, M.; Tao, Z.; Mashiri, F. Numerical Modelling of Concrete-Filled Steel Box Columns Incorporating High Strength Materials. J. Constr. Steel Res. 2014, 102, 256–265. [Google Scholar] [CrossRef]
- Bai, Y.-L.; Dai, J.-G.; Mohammadi, M.; Lin, G.; Mei, S.-J. Stiffness-Based Design-Oriented Compressive Stress-Strain Model for Large-Rupture-Strain (LRS) FRP-Confined Concrete. Compos. Struct. 2019, 223, 110953. [Google Scholar] [CrossRef]
- Li, P.; Wu, Y.-F.; Zhou, Y.; Xing, F. Stress-Strain Model for FRP-Confined Concrete Subject to Arbitrary Load Path. Compos. Part B Eng. 2019, 163, 9–25. [Google Scholar] [CrossRef]
- Uy, B.; Bradford, M.A. Elastic Local Buckling of Steel Plates in Composite Steel-Concrete Members. Eng. Struct. 1996, 18, 193–200. [Google Scholar] [CrossRef]
- Hu, H.-S.; Fang, P.-P.; Liu, Y.; Guo, Z.-X.; Shahrooz, B.M. Local Buckling of Steel Plates in Composite Members with Tie Bars under Axial Compression. Eng. Struct. 2020, 205, 110097. [Google Scholar] [CrossRef]
- Song, Y.; Li, J.; Chen, Y. Local and Post-Local Buckling of Normal/High Strength Steel Sections with Concrete Infill. Thin-Walled Struct. 2019, 138, 155–169. [Google Scholar] [CrossRef]
- Uy, B. Local and Post-Local Buckling of Concrete Filled Steel Welded Box Columns. J. Constr. Steel Res. 1998, 47, 47–72. [Google Scholar] [CrossRef]
- Liang, Q.Q.; Uy, B. Theoretical Study on the Post-Local Buckling of Steel Plates in Concrete-Filled Box Columns. Comput. Struct. 2000, 75, 479–490. [Google Scholar] [CrossRef] [Green Version]
- Zhang, H.; Wu, K.; Xu, C.; Ren, L.; Chen, F. Buckling Analysis and Section Optimum for Square Thin-Wall CFST Columns Sealed by Self-Tapping Screws. Adv. Civ. Eng. 2019, 1–14. [Google Scholar] [CrossRef]
- Chen, C.-C.; Ko, J.-W.; Huang, G.-L.; Chang, Y.-M. Local Buckling and Concrete Confinement of Concrete-Filled Box Columns under Axial Load. J. Constr. Steel Res. 2012, 78, 8–21. [Google Scholar] [CrossRef]
- Yan, Y.; Xu, L.; Li, B.; Chi, Y.; Yu, M.; Zhou, K.; Song, Y. Axial Behavior of Ultra-High Performance Concrete (UHPC) Filled Stocky Steel Tubes with Square Sections. J. Constr. Steel Res. 2019, 158, 417–428. [Google Scholar] [CrossRef]
- Timoshenko, S.; Krieger, S. Theory of Plates and Shells; McGraw-Hill: New York, NY, USA, 1959. [Google Scholar]
- Batikha, M.; Chen, J.F.; Rotter, J.M.; Teng, J.G. Strengthening Metallic Cylindrical Shells against Elephant’s Foot Buckling with FRP. Thin-Walled Struct. 2009, 47, 1078–1091. [Google Scholar] [CrossRef]
- Chen, J.F.; Rotter, J.M.; Teng, J.G. A Simple Remedy for Elephant’s Foot Buckling in Cylindrical Silos and Tanks. Adv. Struct. Eng. 2006, 9, 409–420. [Google Scholar] [CrossRef]
- ABAQUS Standard. User’s Manual; Version 6.14; Dassault Systems Corp: Providence, RI, USA, 2014. [Google Scholar]
- British Standards Institution. Welding. Fusion-Welded Joints in Steel, Nickel, Titanium and Their Alloys (Beam Welding Excluded): Quality Levels for Imperfections; BSI, Standard BS EN ISO 5817 from 2014; BSI: London, UK, 2014. [Google Scholar]
- Hassanein, M.F.; Elchalakani, M.; Karrech, A.; Patel, V.I.; Yang, B. Behaviour of Concrete-Filled Double-Skin Short Columns under Compression through Finite Element Modelling: SHS Outer and SHS Inner Tubes. Structures 2018, 14, 358–375. [Google Scholar] [CrossRef]
- Alatshan, F.; Osman, S.A.; Mashiri, F.; Hamid, R. Explicit Simulation of Circular CFST Stub Columns with External Steel Confinement under Axial Compression. Materials 2019, 13, 23. [Google Scholar] [CrossRef] [Green Version]
- EN 1994-1-1. Eurocode 4. Design of Composite Steel and Concrete Structures–Part 1-1: General Rules and Rules for Buildings; European Committee for Standardization (CEN): Brussels, Belgium, 2004. [Google Scholar]
- Tasdemir, M.A.; Tasdemir, C.; Akyüz, S.; Jefferson, A.D.; Lydon, F.D.; Barr, B.I.G. Evaluation of Strains at Peak Stresses in Concrete: A Three-Phase Composite Model Approach. Cem. Concr. Compos. 1998, 20, 301–318. [Google Scholar] [CrossRef]
- American Concrete Institute. Building Code Requirements for Structural Concrete (ACI 318-11); American Concrete Institute: Farmington Hills, MI, USA, 2011. [Google Scholar]
- Xiao, Q.; Teng, J.G.; Yu, T. Behavior and Modeling of Confined High-Strength Concrete. J. Compos. Constr. 2010, 14, 249–259. [Google Scholar] [CrossRef]
- Popovics, S. A Numerical Approach to the Complete Stress-Strain Curve of Concrete. Cem. Concr. Res. 1973, 3, 583–599. [Google Scholar] [CrossRef]
- Mander, J.B.; Priestley, M.J.N.; Park, R. Theoretical Stress-Strain Model for Confined Concrete. J. Struct. Eng. 1988, 114, 1804–1826. [Google Scholar] [CrossRef] [Green Version]
- Binici, B. An Analytical Model for Stress–Strain Behavior of Confined Concrete. Eng. Struct. 2005, 27, 1040–1051. [Google Scholar] [CrossRef]
- Tao, Z.; Wang, Z.-B.; Yu, Q. Finite Element Modelling of Concrete-Filled Steel Stub Columns under Axial Compression. J. Constr. Steel Res. 2013, 89, 121–131. [Google Scholar] [CrossRef]
- EN 1993-1-8. Eurocode 3. Design of Steel Structures—Part 1–8: Design of Joints; European Committee for Standardization (CEN): Brussels, Belgium, 2005. [Google Scholar]



























| Specimen | a (mm) | b (mm) | c (mm) | d (mm) | e (mm) | f (mm) | g (mm) |
|---|---|---|---|---|---|---|---|
| PEN1 | 680 | 283 | 586 | 255 | 194 | 180 | - |
| PEN2 | 680 | 283 | 586 | 255 | 194 | 180 | - |
| PEN3 | 680 | 283 | 586 | 255 | 194 | 180 | - |
| PEN4 | 680 | 283 | 586 | 255 | 194 | 180 | - |
| PEN5 | 680 | 134 | 329 | 120 | 941 | 170 | 50 |
| PEN6 | 680 | 134 | 329 | 120 | 941 | 170 | 50 |
| Sample | Thickness (mm) | fy (MPa) | fu (MPa) | Elongation (%) |
|---|---|---|---|---|
| S-1 | 14 | 319.71 | 472.39 | 41.11 |
| S-2 | 14 | 295.91 | 457.80 | 38.89 |
| S-3 | 14 | 297.54 | 458.33 | 36.67 |
| S-4 | 14 | 299.28 | 464.23 | 38.89 |
| S-5 | 14 | 272.16 | 435.32 | 38.89 |
| S-6 | 14 | 290.68 | 452.74 | 36.67 |
| Average | 14 | 295.88 | 456.80 | 38.52 |
| Mix Group | Concrete Class | Maximum Load (kN) | Compressive Strength (MPa) | Average (MPa) |
|---|---|---|---|---|
| PEN2 & PEN3 | C35 | 984.64 | 43.76 | 41.48 |
| 864.85 | 38.43 | |||
| 950.61 | 42.25 | |||
| PEN1 & PEN6 | C35 | 779.90 | 34.66 | 34.35 |
| 763.67 | 33.94 | |||
| 775.14 | 34.45 | |||
| PEN4 & PEN5 | C35 | 958.11 | 42.58 | 43.48 |
| 948.42 | 42.15 | |||
| 1028.53 | 45.71 |
| Specimen | Load Type | Load Direction | Failure Load (kN) |
|---|---|---|---|
| PEN1 | Cyclic | Vertical | 13,992 |
| PEN2 | Monotonic | Slantwise | 12,543 |
| PEN3 | Monotonic | Slantwise | 11,980 |
| PEN4 | Cyclic | Slantwise | 12,002 |
| PEN5 | Cyclic | Slantwise | 16,023 |
| PEN6 | Cyclic | Slantwise | 15,338 |
| Specimen | FEM Ultimate Load (kN) | FEM Axial Displacement (mm) | Experiment Ultimate Load (kN) | Experiment Axial Displacement (mm) | Load Relative Error (%) | Displacement Relative Error (%) |
|---|---|---|---|---|---|---|
| PEN1 | 13,830 | 5.70 | 13,992 | 6.20 | 1.2 | 8.8 |
| PEN3 | 12,023 | 4.20 | 11,980 | 4.50 | 0.4 | 7.1 |
| PEN5 | 16,623 | 3.00 | 16,023 | 3.20 | 3.7 | 6.7 |
| PEN6 | 15,519 | 3.00 | 15,338 | 3.00 | 1.2 | 0 |
| Parameter | Range |
|---|---|
| Long plate width () | 300–1000 mm |
| Short plate width () | 150–500 mm |
| Plate thickness () | 6–20 mm |
| Load () | 0-section capacity |
| Weld throat thickness () | 4–8 mm |
| Column height () | 1000–5000 mm |
| Concrete compressive strength () | 30–50 MPa |
| Steel yield strength () | 200–400 MPa |
Publisher’s Note: MDPI stays neutral with regard to jurisdictional claims in published maps and institutional affiliations. |
© 2021 by the authors. Licensee MDPI, Basel, Switzerland. This article is an open access article distributed under the terms and conditions of the Creative Commons Attribution (CC BY) license (https://creativecommons.org/licenses/by/4.0/).
Share and Cite
Bao, L.-J.; Sun, F.-F.; Mughrabi, O.; Li, L.-L.; Li, G.-Q. Investigation on the Performance of Partial Penetration Welds in Multicell Concrete Filled Steel Tubes. Materials 2021, 14, 7543. https://doi.org/10.3390/ma14247543
Bao L-J, Sun F-F, Mughrabi O, Li L-L, Li G-Q. Investigation on the Performance of Partial Penetration Welds in Multicell Concrete Filled Steel Tubes. Materials. 2021; 14(24):7543. https://doi.org/10.3390/ma14247543
Chicago/Turabian StyleBao, Lian-Jin, Fei-Fei Sun, Osama Mughrabi, Liu-Lian Li, and Guo-Qiang Li. 2021. "Investigation on the Performance of Partial Penetration Welds in Multicell Concrete Filled Steel Tubes" Materials 14, no. 24: 7543. https://doi.org/10.3390/ma14247543
APA StyleBao, L.-J., Sun, F.-F., Mughrabi, O., Li, L.-L., & Li, G.-Q. (2021). Investigation on the Performance of Partial Penetration Welds in Multicell Concrete Filled Steel Tubes. Materials, 14(24), 7543. https://doi.org/10.3390/ma14247543
