Seismic Behavior of Stone Masonry Joints with ECC as a Filling Material
Abstract
:1. Introduction
2. Experimental Program
2.1. Test Specimens
- (a)
- “M”, “PM”, “ECC”, and “CM” represent the mortar type: Mortar, Polymer Mortar, ECC, and Composite Mortar of ECC and mortar, respectively;
- (b)
- Number “0.3” or “0.5” if the specimen consists of ECC and ordinary mortar with the proportions of ECC as 0.3 or 0.5, respectively;
- (c)
- Number “0.2” and “0.4” to represent the axial compressive stress of 0.2 MPa and 0.4 MPa, respectively.
2.2. Material Properties
2.3. Test Set-Up and Instrumentation
3. Experimental Results and Discussions
3.1. Experimental Observations
3.2. Hysteretic Responses
3.3. Skeleton Curves
3.4. Stiffness Degradation
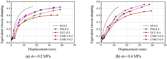
3.5. Energy Dissipation and Equivalent Viscous Damping
4. Mechanical Behavior and Shear Strength of Mortar Joint
4.1. Failure Process
4.2. Shear Strength of Mortar Joint
4.3. Residual Shear Strength of Mortar Joint
5. Conclusions
- The ECC specimens exhibited a more stable hysteretic response than the M and PM specimens, while the contribution of ECC to the specimens’ load-carrying capacity of specimens was comparable to that of polymer mortar. On the other hand, high toughness and strain-hardening ECC concrete exhibited significantly better deformation and strength degradation characteristics in the post-peak region when compared to the conventional mortar specimen.
- The ECC mortar joint maintained integrity even under high axial compressive stress and large displacement, which leads to higher energy consumption capacity and lower axial deformation. Therefore, the ECC mortar is beneficial to maintain the stability of the overall stone structure under earthquakes.
- The partial substitution of ordinary mortar with ECC can effectively improve the shear strength and strength retention capacity of mortar joints, as the ECC on both sides of the mortar provided reinforcement and confinement to prevent mortar failure and peeling. The CM specimens with a substitution rate of 50% exhibited seismic behavior similar to that of the ECC specimens.
- According to the trend of shear strength variations of mortar joints, a shear failure process of ECC and mortar joint was defined. It includes four distinct stages: (I) linear elastic stage, (II) crack-developing stage, (III) interface-debonding stage, and (Ⅳ) friction-sliding stage. The proposed mechanism accounts for the effects of the different shear behaviors of mortar and ECC and the axial compressive stress on the failure modes.
- Based on the testing data and existing research, a set of new equations was proposed for predicting the shear strength and residual shear strength of ECC/M mortar joints. The compressive strength of mortar and axial compressive stress were taken as the main parameters in the proposed equations. The shear strength of CM mortar joint was contributed linearly by ECC and mortar according to their respective combination proportions.
Author Contributions
Funding
Institutional Review Board Statement
Informed Consent Statement
Data Availability Statement
Acknowledgments
Conflicts of Interest
References
- Senthivel, R.; Lourenço, P.B. Finite element modelling of deformation characteristics of historical stone masonry shear walls. Eng. Struct. 2009, 31, 1930–1943. [Google Scholar] [CrossRef] [Green Version]
- Murano, A.; Ortega, J.; Vasconcelos, G.; Rodrigues, H. Influence of traditional earthquake-resistant techniques on the out-of-plane behaviour of stone masonry walls: Experimental and numerical assessment. Eng. Struct. 2019, 201, 109815. [Google Scholar] [CrossRef]
- Mosallam, A.; Banerjee, S. Enhancement in in-plane shear capacity of unreinforced masonry (URM) walls strengthened with fiber reinforced polymer composites. Compos. Part B Eng. 2011, 42, 1657–1670. [Google Scholar] [CrossRef]
- Guerreiro, J.; Proença, J.; Ferreira, J.G.; Gago, A. Experimental characterization of in-plane behaviour of old masonry walls strengthened through the addition of CFRP reinforced render. Compos. Part B Eng. 2018, 148, 14–26. [Google Scholar] [CrossRef]
- Reboul, N.; Mesticou, Z.; Larbi, A.S.; Ferrier, E. Experimental study of the in-plane cyclic behaviour of masonry walls strengthened by composite materials. Constr. Build. Mater. 2018, 164, 70–83. [Google Scholar] [CrossRef]
- Wang, C.L.; Forth, J.P.; Nikitas, N.; Sarhosis, V. Retrofitting of masonry walls by using a mortar joint technique; experiments and numerical validation. Eng. Struct. 2016, 117, 58–70. [Google Scholar] [CrossRef]
- Rezaie, A.; Godio, M.; Beyer, K. Experimental investigation of strength, stiffness and drift capacity of rubble stone masonry walls. Constr. Build. Mater. 2020, 251, 118972. [Google Scholar] [CrossRef]
- Jiang, Y.F.; Guo, Z.X.; Basha, S.H.; Chai, Z.L. Sliding bed joint for seismic response control of ashlar stone masonry structures. Eng. Struct. 2021, 244, 112734. [Google Scholar] [CrossRef]
- Milosevic, J.; Lopes, M.; Gago, A.S.; Bento, R. In-plane seismic response of rubble stone masonry specimens by means of static cyclic tests. Constr. Build. Mater. 2015, 82, 9–19. [Google Scholar] [CrossRef]
- Binda, L.; Tiraboschi, C.; Abbaneo, S. Experimental research to characterise masonry materials. Mason. Int. 1997, 10, 92–101. [Google Scholar]
- Atkinson, R.; Amadei, B.; Saeb, S.; Sture, S. Response of masonry bed joints in direct shear. J. Struct. Eng. 1989, 115, 2276–2296. [Google Scholar] [CrossRef]
- Mann, W.; Müller, H. Failure of shear-stressed masonry—An enlarged theory, tests and application to shear walls. In Proceedings of the British Ceramic Society: Load-Bearing Brickwork; West, H.W.H., Ed.; British Ceramic Society: Stoke-on-Trent, UK, 1982; pp. 223–235. [Google Scholar]
- Turnšek, V.; Čačovič, F. Some experimental results on the strength of brick masonry walls. In Proceedings of the 2nd International Brick Masonry Conference, Stoke-on-Trent, UK, 12–15 April 1970; British Ceramic Society: Stoke-on-Trent, UK, 1971. [Google Scholar]
- Milosevic, J.; Gago, A.S.; Lopes, M.; Bento, R. Experimental assessment of shear strength parameters on rubble stone masonry specimens. Constr. Build. Mater. 2013, 47, 1372–1380. [Google Scholar] [CrossRef]
- Vasconcelos, G.; Lourenco, P.B. Experimental characterization of stone masonry in shear and compression. Constr. Build. Mater. 2009, 23, 3337–3345. [Google Scholar] [CrossRef]
- Angiolilli, M.; Gregori, A. Triplet test on rubble stone masonry: Numerical assessment of the shear mechanical parameters. Buildings 2020, 10, 49. [Google Scholar] [CrossRef] [Green Version]
- Guo, Z.X.; Chai, Z.L.; Liu, Y.; Hu, Y.D. Experimental study on the mortar joint shear behavior of machine-cutting stone walls. Eng. Mech. 2012, 29, 92–97. (In Chinese) [Google Scholar]
- Wang, L.; Guo, Z.X.; Ye, Y.; Chai, Z.L. Experimental study on seismic and mechanical behavior of stone masonry joints. China Civil Eng. J. 2018, 51, 63–71. (In Chinese) [Google Scholar]
- Zhang, Y.; Deng, M.; Dong, Z. Seismic response and shear mechanism of engineered cementitious composite (ECC) short columns. Eng. Struct. 2019, 192, 296–304. [Google Scholar] [CrossRef]
- Zheng, P.D.; Guo, Z.X.; Hou, W.; Lin, G. Compressive behavior of steel stirrups-confined square Engineered Cementitious Composite (ECC) columns. Adv. Concr. Constr. 2021, 11, 193–206. [Google Scholar] [CrossRef]
- Zhou, J.K.; Shen, W.; Wang, S.F. Experimental study on torsional behavior of FRC and ECC beams reinforced with GFRP bars. Constr. Build. Mater. 2017, 152, 74–81. [Google Scholar] [CrossRef]
- Hou, W.; Li, Z.Q.; Gao, W.Y.; Zheng, P.D.; Guo, Z.X. Flexural behavior of RC beams strengthened with BFRP bars-reinforced ECC. Compos. Struct. 2020, 241, 112092. [Google Scholar] [CrossRef]
- Hou, W.; Xu, S.L.; Ji, D.S.; Li, Q.H.; Lin, G. Cyclic performance of steel plate-reinforced high toughness-concrete coupling beams with different span-to-depth ratios. J. Struct. Eng. 2018, 144, 04018170. [Google Scholar] [CrossRef]
- Huang, B.T.; Li, Q.H.; Xu, S.L.; Zhou, B. Strengthening of reinforced concrete structure using sprayable fiber-reinforced cementitious composites with high ductility. Compos. Struct. 2019, 220, 940–952. [Google Scholar] [CrossRef]
- CMC (China Ministry of Construction). Standard for Test Method of Performance on Building Mortar; JGJ/T70-2009; China Architecture & Building Press: Beijing, China, 2009. (In Chinese) [Google Scholar]
- CMC (China Ministry of Construction). Standard Test Method for the Mechanical Properties of Ductile Fiber Reinforced Cementitious Composites; JC/T 2461-2018; Ministry of Industry & Information Technology: Beijing, China, 2018. (In Chinese)
- CMC (China Ministry of Construction). Specification for Seismic Test of Buildings; JGJ/T101-2015; China Architecture & Building Press: Beijing, China, 2015. (In Chinese) [Google Scholar]
- ISO (International Organization for Standardization). Timber Structures—Joints Made with Mechanical Fasteners—Quasi-Static Reversed-Cyclic Test Method; ISO 16670-2003; ISO: Geneva, Switzerland, 2003. [Google Scholar]
- Li, V.C.; Wu, H.C. Conditions for pseudo strain-hardening in fiber reinforced brittle matrix composites. Appl. Mech. Rev. 1992, 45, 390. [Google Scholar] [CrossRef]
- Li, V.C.; Mishra, D.K.; Wu, H.C. Matrix design for pseudo-strain-hardening fibre reinforced cementitious composites. Mater. Struct. 1995, 28, 586–595. [Google Scholar] [CrossRef]
- ATC (Applied Technology Council). Evaluation of Earthquake Damaged Concrete and Masonry Wall Buildings—Basic Procedures Manual; FEMA: Washington, DC, USA, 1999.
- Hou, W.; Xu, S.L.; Ji, D.S.; Li, Q.H.; Zhang, P. Seismic performance of steel plate reinforced high toughness concrete coupling beams with different steel plate ratios. Compos. Part B 2019, 159, 199–210. [Google Scholar] [CrossRef]
- CMC (China Ministry of Construction). Code for Design of Concrete Structure; GB 50010–2010; China Architecture & Building Press: Beijing, China, 2011. (In Chinese) [Google Scholar]
- Singh, H.K.; Basu, A. Evaluation of existing criteria in estimating shear strength of natural rock discontinuities. Eng. Geol. 2018, 232, 171–181. [Google Scholar] [CrossRef]
- Papaliangas, T.T.; Hencher, S.R.; Lumsden, A.C. A comprehensive peak shear strength criterion for rock joint. In Proceedings of the 8th International Congress on Rock Mechanics, Tokyo, Japan, 25–30 September 1995; Fuji, T., Ed.; pp. 359–366. [Google Scholar]
- Jang, H.S.; Jang, B.A. New method for shear strength determination of unfilled, unweathered rock joint. Rock Mech. Rock Eng. 2015, 48, 1515–1534. [Google Scholar] [CrossRef]
























| Specimens | Axial Compressive Stress σn (MPa) | Types of Mortar | Cube Strength of Mortar fc′ (MPa) | Modulus of Mortar |
|---|---|---|---|---|
| M-0.2 | 0.2 | Mortar | 2.1 | 2.17 |
| M-0.4 | 0.4 | |||
| PM-0.2 | 0.2 | Polymer mortar | 34.8 | 3.45 |
| PM-0.4 | 0.4 | |||
| ECC-0.2 | 0.2 | ECC | 22.8 | 6.67 |
| ECC-0.4 | 0.4 | |||
| CM0.3-0.2 | 0.2 | ECC & Mortar (0.3:0.7) | 22.8 & 2.1 | 6.67 & 2.17 |
| CM0.3-0.4 | 0.4 | |||
| CM0.5-0.2 | 0.2 | ECC & Mortar (0.5:0.5) | 22.8 & 2.1 | 6.67 & 2.17 |
| CM0.5-0.4 | 0.4 |
| Mortar Types | Cement (kg/m3) | Silica Fume (kg/m3) | Grade Ⅱ Fly Ash (kg/m3) | Quick Lime (kg/m3) | Sand (kg/m3) | Water (kg/m3) | Super Plasticizer (kg/m3) |
|---|---|---|---|---|---|---|---|
| Mortar | 80 (P.O 32.5) | – | – | 240 | 1300 | 270 | – |
| Polymer mortar | 490 (P.O 42.5) | – | – | – | 1300 | 185 | 8 |
| ECC | 240 (P.O 42.5) | 160 | 800 | – | 550 | 300 | 6 |
| Specimen | τ0 (MPa) | Δ0 (mm) | τm (Mpa) | Δm (mm) | τ0.8m (Mpa) | Δu (mm) | τm/σn | μ | Spalling of Mortar Joint | |
|---|---|---|---|---|---|---|---|---|---|---|
| M-0.2 | 0.17 | 1.15 | 0.19 | 2.55 | 0.16 | 6.30 | 1.32 | 0.96 | 5.48 | YES |
| M-0.4 | 0.25 | 1.39 | 0.26 | 2.52 | 0.23 | 7.60 | 1.82 | 0.66 | 5.47 | YES |
| PM-0.2 | 0.24 | 2.32 | 0.27 | 3.10 | 0.22 | 6.85 | 0.46 | 1.37 | 2.95 | NO |
| PM-0.4 | 0.37 | 2.73 | 0.53 | 4.66 | 0.42 | 6.07 | 0.90 | 1.33 | 2.22 | YES |
| ECC-0.2 | 0.25 | 1.72 | 0.32 | 2.48 | 0.26 | 4.30 | 0.68 | 1.62 | 2.50 | NO |
| ECC-0.4 | 0.39 | 2.49 | 0.53 | 4.32 | 0.42 | 9.81 | 1.11 | 1.32 | 3.94 | NO |
| CM0.3-0.2 | 0.21 | 1.76 | 0.28 | 2.77 | 0.22 | 4.40 | 0.96 | 1.38 | 2.50 | NO |
| CM0.3-0.4 | 0.34 | 2.22 | 0.43 | 4.15 | 0.35 | 8.51 | 1.47 | 1.06 | 3.83 | YES |
| CM0.5-0.2 | 0.18 | 0.99 | 0.24 | 1.83 | 0.18 | 5.74 | 0.67 | 1.18 | 5.80 | NO |
| CM0.5-0.4 | 0.34 | 2.10 | 0.45 | 4.92 | 0.37 | 11.11 | 1.26 | 1.12 | 5.29 | NO |
| Specimens | Total Dissipated Energy (kNm) | D-Value |
|---|---|---|
| M-0.2 | 11.40 | 19% |
| M-0.4 | 13.51 | |
| PM-0.2 | 40.94 | −23% |
| PM-0.4 | 31.38 | |
| ECC-0.2 | 39.31 | 96% |
| ECC-0.4 | 77.21 | |
| CM0.3-0.2 | 31.03 | 112% |
| CM0.3-0.4 | 65.71 | |
| CM0.5-0.2 | 41.90 | 70% |
| CM0.5-0.4 | 71.43 |
| Research | Specimen | σn (MPa) | Types of Mortar | fc′ (MPa) | τe (MPa) | τp (MPa) | τp/τe |
|---|---|---|---|---|---|---|---|
| Present study | M-0.2 | 0.2 | Mortar | 2.1 | 0.19 | 0.21 | 1.12 |
| M-0.4 | 0.4 | 0.26 | 0.37 | 1.41 | |||
| PM-0.2 | 0.2 | Polymer mortar | 34.8 | 0.27 | 0.39 | 1.43 | |
| PM-0.4 | 0.4 | 0.53 | 0.54 | 1.02 | |||
| ECC-0.2 | 0.2 | ECC | 22.8 | 0.32 | 0.37 | 1.01 | |
| ECC-0.4 | 0.4 | 0.53 | 0.54 | 1.00 | |||
| CM0.3-0.2 | 0.2 | ECC and mortar (0.3:0.7) | 22.8; 2.1 | 0.28 | 0.27 | 1.11 | |
| CM0.3-0.4 | 0.4 | 0.42 | 0.45 | 1.00 | |||
| CM0.5-0.2 | 0.2 | ECC and mortar (0.5:0.5) | 22.8; 2.1 | 0.24 | 0.23 | 0.97 | |
| CM0.5-0.4 | 0.4 | 0.45 | 0.39 | 0.88 | |||
| Wang’s study [18] | M9-0.2 | 0.2 | Mortar | 9.28 | 0.27 | 0.27 | 1.02 |
| M9-0.4 | 0.4 | 0.44 | 0.43 | 0.98 | |||
| M9-0.6 | 0.6 | 0.61 | 0.59 | 0.96 | |||
| M4-0.2 | 0.2 | 3.58 | 0.24 | 0.23 | 0.96 | ||
| M4-0.4 | 0.4 | 0.40 | 0.38 | 0.96 | |||
| M4-0.6 | 0.6 | 0.54 | 0.54 | 1.00 | |||
| M0-0.2 | 0.2 | 0.39 | 0.22 | 0.18 | 0.82 | ||
| M0-0.4 | 0.4 | 0.37 | 0.34 | 0.91 | |||
| M0-0.6 | 0.6 | 0.49 | 0.49 | 1.00 |
| Research | Specimen | σn (MPa) | Types of Mortar | fc′ (MPa) | τe,r (MPa) | τp,r (MPa) | τp,r0 (MPa) | τp,r/τe,r | τp,r0/τe,r |
|---|---|---|---|---|---|---|---|---|---|
| Present study | M-0.2 | 0.2 | Mortar | 2.1 | 0.13 | 0.16 | 0.12 | 1.17 | 0.87 |
| M-0.4 | 0.4 | 0.23 | 0.31 | 0.23 | 1.33 | 0.99 | |||
| PM-0.2 | 0.2 | Polymer mortar | 34.8 | 0.17 | 0.16 | 0.12 | 0.93 | 0.69 | |
| PM-0.4 | 0.4 | 0.31 | 0.31 | 0.23 | 1.00 | 0.74 | |||
| ECC-0.2 | 0.2 | ECC | 22.8 | 0.20 | 0.21 | 0.16 | 1.08 | 0.82 | |
| ECC-0.4 | 0.4 | 0.32 | 0.42 | 0.32 | 1.29 | 0.98 | |||
| CM0.3-0.2 | 0.2 | ECC and mortar (0.3:0.7) | 22.8; 2.1 | 0.14 | 0.17 | 0.13 | 1.19 | 0.89 | |
| CM0.3-0.4 | 0.4 | 0.29 | 0.34 | 0.26 | 1.17 | 0.88 | |||
| CM0.5-0.2 | 0.2 | ECC and mortar (0.5:0.5) | 22.8; 2.1 | 0.15 | 0.18 | 0.14 | 1.23 | 0.92 | |
| CM0.5-0.4 | 0.4 | 0.29 | 0.37 | 0.27 | 1.27 | 0.95 | |||
| Wang’s study [18] | M9-0.2 | 0.2 | Mortar | 9.28 | 0.18 | 0.16 | 0.12 | 0.86 | 0.64 |
| M9-0.4 | 0.4 | 0.28 | 0.31 | 0.23 | 1.11 | 0.83 | |||
| M9-0.6 | 0.6 | 0.44 | 0.47 | 0.35 | 1.06 | 0.79 | |||
| M4-0.2 | 0.2 | 3.58 | 0.19 | 0.16 | 0.12 | 0.82 | 0.61 | ||
| M4-0.4 | 0.4 | 0.27 | 0.31 | 0.23 | 1.15 | 0.86 | |||
| M4-0.6 | 0.6 | 0.43 | 0.47 | 0.35 | 1.09 | 0.81 | |||
| M0-0.2 | 0.2 | 0.39 | 0.17 | 0.16 | 0.12 | 0.92 | 0.68 | ||
| M0-0.4 | 0.4 | 0.26 | 0.31 | 0.23 | 1.20 | 0.89 | |||
| M0-0.6 | 0.6 | 0.40 | 0.47 | 0.35 | 1.17 | 0.87 |
Publisher’s Note: MDPI stays neutral with regard to jurisdictional claims in published maps and institutional affiliations. |
© 2021 by the authors. Licensee MDPI, Basel, Switzerland. This article is an open access article distributed under the terms and conditions of the Creative Commons Attribution (CC BY) license (https://creativecommons.org/licenses/by/4.0/).
Share and Cite
Hou, W.; Dai, X.; Yang, Z.; Huang, H.; Wang, X.; Zheng, P.; Zhang, Y.; Guo, Z. Seismic Behavior of Stone Masonry Joints with ECC as a Filling Material. Materials 2021, 14, 6671. https://doi.org/10.3390/ma14216671
Hou W, Dai X, Yang Z, Huang H, Wang X, Zheng P, Zhang Y, Guo Z. Seismic Behavior of Stone Masonry Joints with ECC as a Filling Material. Materials. 2021; 14(21):6671. https://doi.org/10.3390/ma14216671
Chicago/Turabian StyleHou, Wei, Xinghua Dai, Zheyu Yang, Hanhuang Huang, Xiaoli Wang, Pandeng Zheng, Yixin Zhang, and Zixiong Guo. 2021. "Seismic Behavior of Stone Masonry Joints with ECC as a Filling Material" Materials 14, no. 21: 6671. https://doi.org/10.3390/ma14216671
APA StyleHou, W., Dai, X., Yang, Z., Huang, H., Wang, X., Zheng, P., Zhang, Y., & Guo, Z. (2021). Seismic Behavior of Stone Masonry Joints with ECC as a Filling Material. Materials, 14(21), 6671. https://doi.org/10.3390/ma14216671

