Abstract
A second melting temperature occurs at a temperature Tn+ higher than Tm in glass-forming melts after heating them from their glassy state. The melting entropy is reduced or increased depending on the thermal history and on the presence of antibonds or bonds up to Tn+. Recent MD simulations show full melting at Tn+ = 1.119Tm for Zr, 1.126Tm for Ag, 1.219Tm for Fe and 1.354Tm for Cu. The non-classical homogeneous nucleation model applied to liquid elements is based on the increase of the Lindemann coefficient with the heating rate. The glass transition at Tg and the nucleation temperatures TnG of glacial phases are successfully predicted below and above Tm. The glass transition temperature Tg increases with the heating rate up to Tn+. Melting and crystallization of glacial phases occur with entropy and enthalpy reductions. A universal law relating Tn+ and TnG around Tm shows that TnG cannot be higher than 1.293Tm for Tn+= 1.47Tm. The enthalpies and entropies of glacial phases have singular values, corresponding to the increase of percolation thresholds with Tg and TnG above the Scher and Zallen invariant at various heating and cooling rates. The G-phases are metastable up to Tn+ because the antibonds are broken by homogeneous nucleation of bonds.
1. Introduction
Glass transition temperatures are observed at a temperature T = Tg during heating of quenched melts. Below Tg, atomic bonds system produces enthalpy relaxation between the two homogeneous nucleation temperatures Tn− of the glassy phase with the highest being Tg [1,2]. The glass formation at the lowest Tn- occurs in hyperquenched glass-forming melts at the departure of the enthalpy relaxation [3,4,5,6]. Heating the glass through Tg breaks the atomic bonds and gives rise to configurons that are always accompanied by a second-order phase transition [7,8,9,10,11,12]. The non-classical homogeneous nucleation (NCHM) model predicts the temperatures of glasses, stable and ultrastable glasses [13,14,15,16,17,18,19,20,21,22,23,24,25], and glacial phases [26,27,28,29,30,31,32,33,34,35] showing that a new phase called Phase 3 appears after heating the quenched liquids through Tg with an enthalpy equal to the difference ∆εlg between those of liquids 1 and 2. Quenched Liquid 1 has an initial enthalpy, before giving rise to the glass state, equal to εls Hm, varying with the square of the reduced temperature θ = T−Tm)/Tm as shown in Equation (1) (Hm being the melting heat of crystals) [36]:
Liquid 2 has an enthalpy equal to εgs Hm in Equation (2):
The reduced temperatures θ0m and θ0g are the Vogel–Fulcher–Tammann temperatures of these two liquids and are defined by the coefficients εls0 and εgs0, depending on the nucleation temperatures in the two liquids equal to [εls (θ) − 2]/3 for ∆ε = 0 [1,36]. The reduced glass transition temperature θg is used to define them [37,38,39]. The coefficient ∆ε only intervenes in the enthalpy of quenched liquids, stable and ultrastable glasses and glacial phases. The melting enthalpy and entropy are Hm and Sm at the melting temperature Tm. The specific heat jump at Tg is Hm d(∆εlg) / dT equal to 1.5 Sm in a wide fraction of glasses [40].
The existence of Phase 3 was discovered for the first time in the supercooled water [41,42] and extended to glacial phases [2,31]. It appeared later that Phase 3 was built by heating the melt from its glassy state and was the congruent configuron phase expected since many years at the percolation threshold of broken bonds at Tg [33,43]. The name of Phase 3 was extended to all phases having a reduced enthalpy which results by cooling from a first-order transition giving rise to an exothermic enthalpy at their nucleation temperature. The first-order character disappears during the second cooling after subsequent heating above this new temperature Tg and leads to the zero enthalpy of glassy phase with an increased transition temperature Tg during the next heating.
Consequently, the formation of stable and ultrastable glasses by vapor deposition and glacial phases by heating or annealing glass-forming melts above Tg induces new liquid states having higher glass transition temperatures. This new point is generally not considered in the analysis of properties attached to polyamorphism. The new glass transition determines the new liquid phases at higher temperatures.
High heating rate increases the glass transition temperature [44]. Recent studies showed two associated transitions to glacial phases for various heating rates [35]. Exothermic transitions were observed during the first heating at the nucleation temperature of glacial phases followed, at higher temperatures, by endothermic glass transitions. Such observations are also found in molecular dynamics simulation of silver and silver alloys [45,46]. These findings confirmed that the glass transition characterizes Liquids 1 and 2 and Phase 3 and any change of Tg induces new liquid state.
Second melting temperatures of pure elements were predicted in 2007 [36]. At this time, it was already known that crystals covered by a solid thin film or imbedded into a matrix could melt at higher temperatures than Tm by homogeneous nucleation in crystal hearts instead of surface melting [47,48,49,50]. This idea was relaunched in glass-forming melts accompanied by predictions of their melting temperatures Tn+ > Tm using the non-classical model of homogeneous nucleation [1,33,34,51] confirmed by experimental observations [52,53,54,55,56,57,58,59,60,61,62,63,64,65,66,67,68]. These predictions had established that the medium-range order persists in liquids from Tg up to Tn+ due to residual bonds producing endothermic enthalpy or due to antibonds producing exothermic enthalpy at Tn+ where the homogeneous state of liquids appears. There are several temperatures Tn+ in non-congruent materials associated with the various solidus and liquidus temperatures [1]. Exothermic enthalpy is always obtained after heating quenched melt far from below Tg or after heating stable and ultrastable glass and during formation of Phase 3 above Tg [33,34]. Residual and new bonds are also associated with slow heating and cooling of the melt. Annealing a melt between Tm and Tn+ induces bonds and may develop bond percolation leading to crystallization at Tm without undercooling. The temperatures Tn+ are not easy to recognize because they are mixed with liquidus temperatures in non-congruent materials [69,70,71].
The glassy state in liquid elements was determined with εls0 and εgs0 = 0.217 corresponding to the mean value 0.103 of their Lindemann coefficient. The enthalpy coefficients ∆εlg0 of Phase 3 being equal to zero at Tm, the glass transition occurs at Tg during cooling through a first-order transition and an exothermic latent heat equal to ∆εlg (θg) [72]. Liquid 4He in a confined space under pressure is amorphous and undergoes a transition during heating which looks like a first-order transition [73,74,75].
The aim of this work is to predict the melting temperatures of pure elements having a Lindemann coefficient around to 0.103 with the NCHM model [72,76]. New values of Lindemann constants for each element [77] are used to calculate the glass transition temperature of elements at low and high heating and cooling rates, the transition temperatures of glacial phases and the various melting temperatures of Ag, Cu, Zr, Ta, Re, Ni and Co compared with those deduced from MD simulations or from crystallization enthalpy of highly supercooled liquid elements.
2. Thermodynamic Consequences of Bonds or Antibonds Presence above Tm
The enthalpy recovery during heating up to Tn+ is endothermic for bonds and exothermic for antibonds breaking [1]. The new melting entropy S depends on the reduced temperature θn+ because this homogeneous nucleation temperature occurs for the enthalpy change ∆εlg (θn+) [1] and S is given in Equation (3):
The melting entropy S with antibonds is weaker than Sm = Hm/Tm and equal to Hm/Tn+ instead of Hm/Tm while total melting heat at Tn+ is still equal to Hm. Two separate melting temperatures with antibonds exist: the first one at Tm producing an entropy equal to Sm and the second one at Tn+ reducing the total entropy S. Consequently, a full melting temperature Tn+ can exist without changing the total melting heat Hm. This metastable phase could be a glass up to Tn+ if the glass escapes from crystallization with high heating rates. This temperature is observed with high heating rates after the formation of glass and glacial phases at lower temperatures. A residual exothermic latent heat is still observed in some glass-forming melts with heating rates R+ equal to 0.33–0.66 K/s [53,54,62,63] while R+ ≅ 1012–1013 K/s in liquid elements leads to full melting at Tn+ [45,78,79]. The crystallization entropy is expected to be equal to Sm / (1 + θn+) and the crystallization enthalpy Hm / (1 + θn+) after the formation of glacial phases inducing early crystallization at lower cooling rates. Crystallization occurs by heating and formation of a fraction of bonds equal to a new critical threshold after quenching from homogeneous liquid state above Tn+. The melting entropy is increased when a percolation threshold of bonds is achieved at Tn+. This increase is due to the nucleation of a bond percolation threshold by still-lower heating rates following low cooling rates below Tg from above Tn+. The melting is produced when the configurons percolation occurs. The crystallization occurs at Tm after slow cooling from homogeneous melts when the bond number becomes equal to the percolation threshold [34,35,65,66]. It is important to note that the crystallization entropy loss below Tm is expected to be equal and opposite to the melting entropy observed above Tm at the temperature Tn+ [1].
Weakened enthalpies and entropies are also observable for crystallization of highly undercooled glass-forming melts which are initially induced by glacial phase formation below Tm. The cases of tantalum and rhenium droplets, crystallized during free fall are examined as a first example [80]. High magnetic fields now replace free fall towers to study nucleation phenomena. A double transition leading to cobalt crystallization via glacial phase formation revealed a reduction of crystallization enthalpy under B = 12 Tesla and B = 0 [81].
3. Application of NCHN Model to Liquid Elements: First-Order Glass Transition during the First Cooling and Second-Order Transition during Heating
Enthalpy coefficients of liquid states 1, 2 and 3 are given in Equations (4)–(6) with θ0g2 = 1, θ0m2 = 4/9 and εls0 = εgs0 for pure liquid elements using Equations (1) and (2) [72]:
Liquid 1
Liquid 2
Phase 3
New Lindemann coefficients δls have been determined for many elements represented Figure 1 reprinted from [77]. The enthalpy coefficients εls0 = εgs0 of each element depending on δls are given in Equation (7) [72]:
Figure 1.
Lindemann coefficients of liquid elements distributed along columns of periodic table of elements by Mendeleev. The Lindemann coefficients δls along Line 2 for each column. Reprinted with permission from [77]. Copyright 2019 Elsevier.
The reduced glass transition temperature θg occurs at the homogeneous nucleation temperature θn− = [εgs (θn−) − 2] / 3 [1] which is given in Equation (8) equivalent to Equation (2) with ∆ε = 0, θn− = θg and θ20g = 1:
The glass transition reduced temperatures are represented in Figure 2 for all Lindemann coefficients of Figure 1 together with the reduced transformation temperature θD above which the liquid is homogeneous in the absence of glacial phase melting above TD. This temperature TD occurs at the homogeneous nucleation temperature above Tm given in Equation (9) for θ20m = 4/9 applied using Liquid 1 which has a lower enthalpy coefficient εls than that of Liquid 2 above Tm:
Figure 2.
The Lindemann coefficient δls and the reduced homogeneous nucleation temperature θD = (TD − Tm)/Tm of liquid elements in the absence of overheated Phase 3 above TD versus the reduced glass transition temperature θg = (Tg − Tm)/Tm.
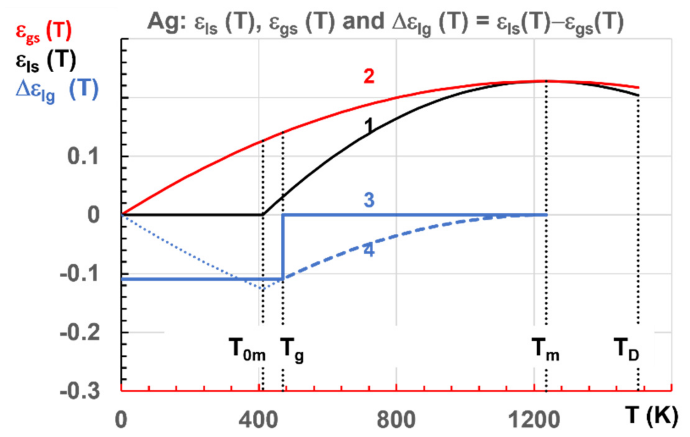
The new Lindemann coefficient δls of Ag and Cu is 0.108 instead of 0.103 used in a previous publication [76]. The new Ag enthalpy coefficients of Liquids 1, 2, and 3 are represented in Figure 3 with εls0 = εgs0 = 0.22766 determined with Equation (7). Line 1 is attached to Liquid 1, 2 to Liquid 2 and 3 and 4 to Phase 3.
Figure 3.
Ag enthalpy coefficients: liquids 1, 2 and 3–4 versus temperature in Kelvins. Tg = 469.34 K, T0m = Tm/3 = 411.63 K, TD = 1489 K, εls0 = εgs0 = 0.22766, θ20m = 0.444445 and θ20g = 1 in Equations (4)–(6).
During the first cooling from homogeneous liquid state [1], Phase 3 follows Line 3 (∆εlg = 0) down to the homogeneous nucleation temperature Tg = 469.34 K where a first-order transition with an exothermic latent heat ∆εlg × Hm = −0.10937Hm occurs, giving rise to a constant enthalpy below Tg [2] (pp. 42,43). The first heating from the glassy state follows line 4 because the formation of configurons leads to a second-order phase transition. Phase 3 in liquid elements would disappear at Tm in the absence of glacial phase. Recent MD simulations show the first-order character of all glacial phase transitions occurring during the first cooling which is confirmed with the NCHN model [45,76]. The various enthalpy reductions are cumulated during the cooling rate and are maintained during heating up to the glass transition temperature of phases. These various events are predicted using the homogeneous nucleation temperatures associated with liquids 1, 2 and 3. The latent heat of glass-phase formation is progressively recovered by heating between Tg and Tm.
The main conclusions of this chapter are the first-order character of the transition from liquids state to the glassy state and the second-order phase transition from the glassy state to the ordered Liquid 3 along Line 4 in Figure 3. This point was not raised in previous publications considering that the first-order character was reversible [72,75,76].
4. Singular Values of Enthalpy of Glacial Phases in Liquid Elements
Glacial phases enthalpy in glass-forming melts have singular values after the first cooling: 0 for the current glass state, −Hm ∆εlg0 = −Hm (εls0 − εgs0), −Hm ∆εlg0/2, Hm ∆εlg (θ0m), and −Hm giving rise to crystals. The nil value could correspond to equal numbers of bonds and antibonds at the percolation threshold of bonds at Tg. The values −∆εlg0 and −∆εlg0/2 were involved in the formation of stable and ultrastable glasses and gave rise to zero enthalpy and an increase of Tg during the second cooling [1,2,33,34]. The value ∆εlg (θ0m) defined the glacial phase enthalpy of Mg69Zn27Yb4 leading to quasi-crystalline phase of same enthalpy [32,33]. These singular values could correspond to higher percolation thresholds leading to higher Tg and to the glassy phases or metastable crystalline phases already analyzed for various ice amorphous phases [82,83].
Singular enthalpies of glacial phases also exist in liquid elements as already shown [76]. The nil enthalpy has disappeared except in the homogeneous liquid state above Tn+. This homogeneous liquid state can be prolongated by rapid cooling down to Tm. Phase 3 has a negative enthalpy equal to the latent heat of vitrification of various elements at Tg. The other enthalpy coefficients are−εls0 = −εgs0, the minimum value −1.25 εls0 at 0 K, and ∆εlg (θ0m). Figure 4 shows these values for Ag. Table 1 gives the singular values of enthalpy coefficients for each element given in Figure 1.
Figure 4.
Enthalpy coefficients of Ag Phase 3 versus Temperature in Kelvins with singular values.
Table 1.
Lindemann coefficients δls, singular values of enthalpy coefficients −εls0 = −εgs0, ∆εlg (θ0m), −1.25εls0, ∆εlg (θg), being fractions of melting enthalpy of liquid elements. All elements, in the same column of Figure 1, have identical singular enthalpy coefficients. Tm, Tg and TD are in Kelvin.
5. Universal Law for the Second Melting Temperature Tn+ Depending on the Homogeneous Nucleation Temperature TnG of Glacial Phases
The glass transition temperature Tg increases with the Lindemann coefficient in Figure 2. Increasing the heating rate rises the Tg. The NCHM model uses an increased Lindemann coefficient to predict Tg and TnG at higher heating rates. Consequently, to each value of θg corresponds a value of εls0 = εgs0 given by Equation (8) with ∆ε = 0 and new laws for εls (θ), εgs (θ) and ∆εlg (θ) are established preserving θ0g2 = 1 and θ0m2 = 4/9. At the homogeneous nucleation reduced temperature θnG of glacial phase, a difference of enthalpy ∆εlg (θnG) = −θn+ must be induced to obtain its melting at θn+ [1]. The values of εgs0 = εls0 are higher than 2 in Table 2 because the melting temperature Tm is used instead of Tn+ to predict Tn+. Using the new melting temperature Tn+, these coefficients would not be higher than 2.
Table 2.
Examples of second melting temperatures Tn+ and nucleation temperatures TnG of glacial phases of Tantalum, Rhenium, Zirconium, Silver, Iron, Copper and Cobalt above Tm. For θg = θn+ equal to singular values of enthalpy coefficients; εgs0 deduced from Equation (8) with ∆ε = 0; θnG the reduced nucleation temperature of glacial phase leading to ∆εlg (θnG) = εls (θnG) − εgs (θnG) = −θn+; εls (θnG) and εgs (θnG) deduced from Equations (4) and (5); temperatures Tn+ in Kelvin; ratios Tn+/Tm and TnG/Tm.
Equations (4)–(8) are applied at a second melting temperature with θg = θn+ for several elements as shown in Table 2. The θn+ values are experimental values applying high heating rates in MD simulations [45,78,79] or observing early crystallization during droplet free fall [80] or under high magnetic field [81]. The reduced temperature θg = θn+ is the highest glass transition temperature in a liquid having a reduced melting temperature equal to θn+. The reduced melting temperatures θn+ are chosen equal to singular values of enthalpy coefficients of various elements in agreement with those of Table 1 respecting the nucleation law ∆εlg = θn+ = θg [1,36]. This calculation is extended to higher values of θg = θn+ up to 1. The highest melting temperature for the highest heating rate is 2 Tm with a total entropy Sm/2. For this the enthalpy ∆εlg is equal to zero and the number of antibonds would be equal to that of bonds. The total enthalpy for two separated melting temperatures at Tm and 2 Tm would be Hm/2.
There is a maximum nucleation temperature of glacial phase equal to 1.2931 Tm even if the existence of much higher glass transition temperatures θg = θn+ above 1.47 Tm is possible as shown in Figure 5. The value of θn+ for Cu is much higher than that given for Ag in Table 1. The coefficient 0.35413 is the sum of 0.22766 and 0.12648. This enhancement is expected for a double transition above Tm. It is difficult to envisage a full melting temperature far above θn+ = 0.47 because triple transitions above Tm would be involved. The transition at θn+ = 1 (not represented in Figure 5) exists because ∆εlg could be equal to the singular value ∆εlg = −1.
Figure 5.
Universal diagram of Tn+/Tm versus TnG/Tm of all liquid elements with higher and higher heating rates. The ratios Tn+/Tm = 1.11896 for Zr (Tn+ = 2378 K, Tm = 2125 K) [79], 1.12648 for Ag (Tn+ = 1391 K, Tm = 1234.9 K) [45], 1.21882 for Fe (Tn+ = 2207 K, Tm = 1811 K) [78], and 1.35413 for Cu (Tn+ = 1839 K, Tm = 1358 K) [78] had been already observed by MD simulations at various high heating rates as shown in Figure 5, Figure 6 and Figure 7.
6. Observations of Second Melting Temperatures Tn+ with MD Simulations
6.1. Zirconium
The nucleation temperature of Zr glassy phase occurred at Tg = 1000 K during the first cooling as shown in Figure 6 by [79] and predicted in Chapter 7. A second melting temperature at Tn+ = 2378 K instead of Tm = 2125 K was obtained during heating after quenching the liquid below Tg and applying a mean heating rate R = +1012 K/s. The glass transition temperature Tg of glacial phase was equal to Tn+ as shown in Figure 6.
Figure 6.
MD simulations of liquid zirconium enthalpy observing a melting temperature of 2378 K instead of Tm = 2125 K. Reprinted with permission from [79]. Copyright American Physical Society 2020.
6.2. Silver
Figure 7 published by [45] represented a sharp transition during heating at Tn+ = 1391 K of liquid silver, corresponding to a liquid-glass transition at Tn+ The nucleation temperature of glacial phase occurred at TnG = 957 K during the heating as predicted in Chapter 7. The glass transition of Liquids 1 and 2 was Tm = 1234.9 K while that of glacial phase was equal to Tn+ corresponding to θn+ (θnG) = 0.12468. A very high enthalpy change resulting from the first-order transitions during previous cooling was observed before undergoing the nucleation temperature TnG of the glacial phase.
Figure 7.
MD simulations of liquid silver observing a melting temperature of 1391 K during heating a 32,000 atoms system instead of Tm = 1234.9 K (5 ns with R = 0.34 × 1012 K/s, 2.5 ns with R = 0.68 × 1012 K/s and 1 ns with R = 1.7 × 1012 K/s). Reprinted with permission from [45]. Copyright 2020 American Chemistry Society ACS.
In Figure 8, the transition at TnG = 917 K with εls0 = εgs0 = 1.53040 induces a liquid phase having an enthalpy coefficient equal to −1 instead of −0.12648 and a melting temperature Tn+ = 1391 K. The enthalpy coefficient varies from −1 to zero at Tn+ = 1391 K.
Figure 8.
Ag Phase 3 enthalpy coefficient ∆εlg (θ) = εls − εgs with εls0 = εgs0 = 1.53040 plotted versus θ. θnG = −0.25713, ∆εlg (θnG) = −0.12648 inducing ∆εlg = −1 due to the proximity of Tm. Melting at Tn+ = 1391 K.
6.3. Iron and Copper
The glassy phases occurred at 800 K for Cu and 1100 K for Fe as reproduced in Figure 9 and predicted in Chapter 7 [78]. Second melting temperatures Tn+ = 1839 K instead of Tm = 1358 K for Cu and Tn+ = 2207 K instead of Tm = 1811 K for Fe were observed, applying heating and cooling rates R = ±1013 K/s. The glass transition temperatures Tg of glacial phases were equal to Tn+.
Figure 9.
MD simulations of liquid copper density observing a melting temperature of 1839 K instead of Tm = 1358 K and MD simulations of liquid iron density observing a melting temperature of 2207 K instead of Tm = 1811 K. R = ±1013 K/s. Reprinted with permission from Ref. [78].
7. Glacial Phases Formation below Tm with Singular Enthalpies with MD Simulations
7.1. Silver
The steady-state relaxation time is given by Equation (10)
with B1 = 1171.35 K, Tm/3 = 411.63 K and ln (τ0 (s)) = −25.714 and where it was used to predict in Table 3 the glacial phase transition temperatures θnG of liquid silver during various heating and cooling rates referring to a system of 256,000 atoms reproduced in Figure 10 for few cooling rates R [45]. The value Ln(R) is used to determine T = Tg with Equation (10).
Table 3.
Nucleation temperatures TnG of Ag glacial phases below Tm. Tg and θg for various values of heating and cooling rates R in K/s; εgs0 deduced from Equation (8) with ∆ε = 0; θnG the reduced nucleation temperature of glacial phase leading to singular values ∆εlg (θnG) = εls (θnG)−εgs (θnG) = −θn+; εls (θnG) and εgs (θnG) deduced from Equations (4) and (5); temperatures TnG; R (K/S) and LnR introduced in Equation (10) to determine Tg (K).
Figure 10.
Cooling of a 256,000 atoms system with various cooling rates. −3.4 × 1012 (0.5 ns), −0.68 × 1012 (2.5 ns), −0.34 × 1012 (5 ns), −1.7 × 1011 (10 ns), and −0.34 × 1011 (50 ns) K/s. These transformation temperatures are predicted in Table 3-cooling. Reprinted with permission from [45]. Copyright 2020 American Chem. Society ACS.
The NCHN model shows that weaker cooling rates induce higher nucleation temperatures of glacial phases with singular enthalpy values in agreement with MD simulations of An Q. et al. in Figure 10. A new singular value −0.15810 is added in Table 3 (Line 8) for the transition at TnG = 806 K. It is equal to the difference between the singular values −0.28458 and −0.12648 given in Table 1, corresponding to the reduction of the enthalpy coefficient of Phase 3 from θ = θ0m to its minimum value at θ = −1 in Figure 4. Other singular values are expected with Tg = Tm in Table 4 (Lines 14–16), −0.10937 (Tn+ = 1370 K), −0.12648 (Tn+ = 1391 K) and −0.15810 (Tn+ = 1460 K), varying the heating rate. The temperatures TnG are equal to 977 K (Line 14), and 957 K (Line 15) in agreement with MD simulations in Figure 7 [45]. The coefficient −0.15810 (Line 16) would lead to TnG = 852 K.
Table 4.
Application of NCHN model to Ta, Zr, Ni, Ag, Cu, Fe and Co. θg and Tg for various heating and cooling rates R in K/s; εgs0 deduced from Equation (8) with ∆ε = 0; θnG the reduced nucleation temperature of glacial phase leading to singular values ∆εlg (θnG) = εls (θnG) − εgs (θnG) = −θn+; εls (θnG) and εgs (θnG) deduced from Equations (4) and (5); temperatures TnG; Tn+ = (1 + ∆εlg (θnG)) × Tm.
7.2. Tantalum
A glass transition temperature Tg of 1650 K of tantalum was observed through ultrafast liquid quenching [84]. This value is used in Table 4 (Lines 4 and 5) to predict two possible values TnG = 1980 K and 1847 K corresponding to the singular enthalpy coefficients −0.13305 and −0.16138 respectively. The same coefficients were obtained for Tg = Tm (Lines 1 and 2).
7.3. Zirconium
Zr MD simulations during various quenching processes revealed two Tg values 1000 K and 890 K and a full melting at 2378 K [79]. The same singular coefficient −0.11896 leads to TnG = 1258 and 1072 K as shown Lines 7 and 9 in Table 4 and full melting occurs at Tn+ = 2378 K. For Tg = 1000 K (Line 8), TnG can also be equal to 1184 K with an enthalpy coefficient of −0.14009 and Tn+ = 2423 K. For Tg = Tm (Lines 5 and 6), the two singular coefficients would be −0.11895 and −0.14009 with TnG = 1661 and 1622 K leading to full melting at Tn+ = 2378 and 2423 K, respectively.
7.4. Nickel
Ni MD simulations revealed two Tg values 1150 and 930 K [85,86]. They result from the same singular enthalpy coefficient −0.11202, Lines 12 and 13 in Table 4, which would lead to TnG = 1240 and 1143 K and to full melting at Tn+ = 1922 K. A glass transition at Tg = Tm would lead to Tn+ = 1922 and 1953 K with singular enthalpy coefficients equal to −0.11202 and −0.13018, respectively (Lines 10 and 11 in Table 4).
7.5. Copper
7.6. Iron
8. The Free Fall Solidification of Tantalum and Rhenium Droplets via Glacial Phases
The Ta and Re solidifications were observed in two steps during the free fall of overheated liquid droplets as shown in Figure 11 [80]. The undercooling (∆T) down to 2770 K was 518 K with Tm = 3288 K and the crystallization occurred with two steps, the first one being the first-order transition of a glacial phase at 2770 K, inducing in the second step at 2930 K full crystallization and coalescence after an incubation time. For an adiabatic process, the coalescence led to the melting temperature Tm with a latent heat equal to (∆T) × Cp = 518 × Cp [87], Cp being the average heat capacity of tantalum between 2770 and 3288 K given by Equation (11) [88]:
Figure 11.
(a) Brightness trace during solidification of a tantalum droplet during its free fall. The two successive recalescence peaks show evidence of a double transformation phenomenon. (b): Brightness trace during solidification of a rhenium droplet during its free fall. The two successive recalescence peaks still show evidence of a double transformation phenomenon. Reprinted with permission from [80]. Copyright 1993 ACS.
Its average value for 2770 < T < 3288 K was 42.83 J/K/mole and the solidification enthalpy 22186 J/mole representing 69.33% of the melting enthalpy 32 KJ/mole at Tm. The experimental reduction was 0.3067 while the sum of two singular values 0.16139 + 0.10294 = 0.29444 are predicted in Table 2. The agreement is good and θn+/(1 + θn+) = 0.29444 leads to θn+ = 0.4424.
The Re solidification was observed at 2620 K for Tm = 3458 K with undercooling (∆T) = 838 K. The heat capacity was given [89] by Equation (12):
The average heat capacity being 35.117 J/K/mole between 2620 and 3458 K, the solidification enthalpy was 29428 J/mole instead of 33230 Joules/mole for the melting enthalpy at Tm. The reduction was 11.44% corresponding to the singular coefficient of 0.11981 in Table 1. The temperature Tn+ would be equal to 1.1361 Tm = 3929 K. The heat capacity depends on the sample purity because a weaker value had been measured at low temperatures [88]. Its average value for 2620 < T < 3458K was 31.96 J/K/mole. The enthalpy change was 31.96 × 838 = 26782 J/mole instead of 33230 J/mole corresponding to a total reduction of 19.4%. This reduction coefficient is too far from the singular coefficients of rhenium in Table 1.
9. The Two Peaks of Recalescence of Undercooled Cobalt in High Magnetic Field B = 12 Tesla and B = 0
The undercooling (∆T) of liquid cobalt was increased after 20 cycles of temperature between 1873 K and 1073 K at 1 K/s [81]. These cycles tended to melt surviving nuclei due to cumulated times of annealing at 1873 K equal to the cycle number multiplied by 300 s [90]. The maximum undercooling was (∆T) = 328 ± 6 K. The annealing temperature was too weak compared to Tn+ = Tm × (1 + θn+). Many cycling cannot fully replace an annealing above Tn+ because there is a first-order phase transition due to the formation of colloids [1]. The minimum value of θn+ is 0.0805 in Table 1 and Tn+ = 1910 K is 37 K higher than the annealing temperature 1873 K. The specific heat Cp of Co crystals is constant from 1440 K to Tm = 1768 K and equal to 40.6 J/K/mole [91] (p. 60). The solid fraction formed by recalescence was proportional to the temperature rising and the maximum undercooling was expected to be (∆T) = Hm/Cp = 399 K instead of 328 K [87]. All the melt was crystallized here. The missing enthalpy represented a fraction equal to 0.178 ± 0.015 of that of melting 16190 J/mole. The reduced temperature θn+ was equal to 0.21655 corresponding to the singular coefficients sum (0.14490 + 0.07368) given in Table 2 for Co. The temperature rising after crystallization at 1440 K, and being much weaker than Tm, was not suitable because it was due to non-adiabaticity of the processing [81]. Two peaks of recalescence characterized by temperature rising (∆T) were observed. The first one in Figure 12 would correspond to the first glacial phase formation through a first-order transition inducing the second peak of full crystallization after an incubation time. The first peak corresponded to two values of (∆T) = 23 and 91 K for B = 12 Tesla and B = 0 representing 5.76 and 22.8% of the melting heat. The values of θn+ were 0.0623 instead of 0.0805 and 0.26147 in good agreement with 0.26163 = 0.0805 + 0.18113 in Table 1.
Figure 12.
First peak of recalescence: Undercooling (∆T) of Co at different cycling times under different magnetic fields B = 0 and B = 12 Tesla. Reprinted with permission from [81]. Copyright 2019 Elsevier.
The conclusions of this chapter are: (i) the full crystallization of liquid elements can occur with reduced entropy and enthalpy at temperatures weaker than Tm in glass-forming melts after heating the material from the glassy state or in the presence of a glacial phase resulting from a high undercooling rate (ii) enthalpy and entropy reductions are also expected for crystallization of quenched glass-forming melts at the well-known temperature called TX < Tm [92] which could reveal the existence of a second melting temperature at Tn+. This crystallization at TX results from the initial formation of glacial phases by homogeneous nucleation in one or few steps. Two crystallization processes have already been observed above Tg in salol and triphenylethene leading to the same crystal phase with the first one attributed to homogeneous-nucleation-based crystallization at temperatures weaker than Tm [93,94]. Early crystallization following high undercooling shows that the enthalpies of crystallization and melting are reduced. Experiments above Tm to detect the value of Tn+ and the recovered enthalpy and entropy at this temperature after early crystallization below Tm are necessary to confirm these proposals.
10. Thermodynamics of Configurons
Configurons are broken chemical bonds in condensed materials [7,8,9,10,11,12]. In crystalline materials, the configurons are highly mobile and their condensation causes the arrest of temperature at the melting point Tm whereas, in amorphous substances, they move with difficulties and therefore the glass-liquid transition occurs at the glass transition temperature Tg typically as a second order phase transformation. Following the configuron percolation theory (CPT) [7,8,9,10,11,12], the melting of a material occurs when the percolation via configurons occurs. Therefore, the melting temperature of a material (either Tg for amorphous or Tm for crystalline substances) is:
where Hd is the enthalpy and Sd is the entropy of formation of configurons, R is the absolute gas constant and fc is the percolation threshold which is taken at low heating rates as the Scher and Zallen invariant fc = 0.15 [7,8,9,10,11,12]. The second melting temperature Tn+ that the CPT treats as percolation via unbroken chemical bonds is:
Taking the ratios
we can find the entropies of configurons in metallic elements as
Thereafter we can calculate the enthalpies of elements as
Table 5 gives numerical data of configuron entropies and enthalpies and enthalpies H and entropies S of melting as calculated, decreasing with Tn+/Tm.
Table 5.
Thermodynamic data for configurons in metals. Tm the melting temperature in Kelvin; Tn+/Tm the second melting temperature divided by Tm; Sd the configuron entropy in units of R = 8.34 J; Hd the configuron enthalpy in KJ/mol; S/Sm = H/Hm the ratio of the second melting entropy and Sm equal to the ratio of the second melting enthalpy and Hm.
11. A New Panorama for Melting and Solidification
A melting heat Hm is measured by melting a solid element at Tm. The melting entropy is Sm = Hm/Tm. Various thermal histories can lead to at least three liquid states: the first one has a complementary exothermic melting temperature at Tn+, the second one has a complementary endothermic melting temperature at Tn+ and the third one is homogeneous above Tn+. The reduced temperature θn+ is multiple and equal to singular values of enthalpy coefficients which are predicted by glacial phase formation leading to more numerous liquid states having various enthalpy differences with that of homogeneous liquid above θn+. High heating rates rise the temperature of full melting up to Tn+ which can attain and even exceed 1.47 Tm for liquids having high enthalpy excesses. The liquid states can be more than three depending in the number of singular enthalpies of glacial phases.
These phenomena of new liquid formation are characterized by variations of the enthalpy Hm and the entropy Sm accompanying melting and crystallization. The melting temperature rising is not only due to high heating rates and is observable in highly undercooled systems close to crystallization. Melting temperature increase at high heating rate observed in MD simulations cannot be due to overheating of the solid phase because the classical nucleation equation predicts a full melting at Tm without residual crystals in the melt [95]. Our description is based on the melting of superheated glassy phase at the temperature Tn+ having an enthalpy of melting equal to that of crystalline phase.
The existence of temperatures Tn+ in glass-forming melts was recently confirmed at heating rates of about 0.5 K/s [1,51,52,53,54,55,56,57,58,59,60,61,62,63,64,65,66,67,68]. They are due to the formation of antibonds increasing the liquid enthalpy above Tm up to Tn+ or bonds decreasing the liquid enthalpy in the interval (Tm,Tn+). Recent review confirms the existence of liquid-liquid structure transitions in melts above Tm and their impact on the following microstructure and properties after solidification [96]. A liquid-liquid transition is observed at 1575 ± 6 K in Co81.5B18.5 eutectics above a melting temperature Tm = 1406 K which could correspond to Tg = 869 ± 19 K in this fragile liquid [97].
The liquid microstructure is changed by cooling the melt through Tn+ which is induced by a first-order transition from homogeneous liquid to various colloids of various compositions [54,66,68]. The colloids result from the formation of melted superatoms containing magic atom numbers discontinuously varying shell by shell with temperature [98,99]. At the temperature Tn+, the Gibbs free energy change during cooling, favorizing the colloids formation [1], is higher than that of a continuous variation, enhanced by nucleation of bonds versus time at temperatures weaker than Tn+, building clusters-bound colloids. These colloids contain more and more bonds and give rise to crystallization at Tm at low cooling rate or to glassy phase after quenching to escape from crystallization. These formations of colloids of various compositions were observed many years ago for eutectic and off-eutectic compositions [54,100,101].
12. Conclusions
Recent molecular dynamics simulations observed second melting temperatures Tn+ of pure elements varying from 1.11896 Tm for zirconium to 1.35413 Tm for copper applying very high heating rates. The non-classical model of homogeneous nucleation (NCHN model) predicted these temperatures as melting temperatures of glassy glacial phases formed by homogeneous nucleation at temperatures TnG weaker than Tn+. These nucleation temperatures TnG cannot be higher than 1.2931 Tm. A universal law of Tn+/Tm versus (TnG/Tm) was obtained for all liquid elements with a Lindemann coefficient weaker than 0.137.
These glacial phases had singular constant values of enthalpy up to their upper glass transitions equal to Tn+. The NCHN model needed singular values of enthalpy to be applied at well-defined temperatures. They corresponded to singular values of the enthalpy coefficient ∆εlg (θ) of a new phase called Phase 3 or configuron phase. These percolation threshold values must be singular to represent various organizations of elementary bricks in a glass.
The NCHN model agreed with existing MD simulations using recent values of the Lindemann coefficient of elements presented in the columns of Figure 1 to predict the value of Tg. Consequently, this figure and the universal law could be used to control MD simulations of other elements.
Phase 3 was induced by a first-order transition at TnG by cooling and was accompanied by a second-order phase transition during reheating as predicted by formation of percolation threshold of broken bonds named configurons.
Second melting temperatures Tn+ have been already observed in several glass-forming melts accompanied by exothermic or endothermic latent heats at lower heating rates. They corresponded to the melting of antibonds or bonds induced by thermal history depending on cooling and heating rates from the homogeneous liquid state down to the glassy phase and from the glassy phase to high temperatures.
The existence of temperatures Tn+ in liquid elements has for consequence entropy and enthalpy reductions for melting. These effects are observed in all situations already described. They need to be confirmed by early crystallization of highly undercooled melts having previously undergone a glacial phase transition. We have looked at two experiments: (i) the free fall solidification of Tantalum and Rhenium droplets with two recalescence peaks and (ii) those of undercooled cobalt in a high magnetic field B = 12 Tesla and B = 0. These experiments confirmed these reductions. Observations of Tn+ above Tm are expected after observing these crystallizations at TX below Tm.
The NCHN and configuron models successfully predicted liquid–glass and liquid–liquid transformations in multicomponent glass-forming melts. These predictions are possible when the glass transition temperature Tg and the melting temperatures Tm are sufficiently precise to be able to determine the singular values of Phase 3 enthalpy. The universal law relating the nucleation temperatures TnG of glacial phases and the second melting temperatures Tn+ in multicomponent alloys could be the same to that of pure elements.
Author Contributions
Conceptualization, R.F.T. and M.I.O.; methodology, R.F.T.; software, R.F.T.; validation, R.F.T., and M.I.O.; formal analysis, R.F.T.; investigation, R.F.T.; resources, R.F.T. and M.I.O.; data curation, R.F.T.; writing—original draft preparation, R.F.T.; writing—review and editing, R.F.T. and M.I.O.; visualization, R.F.T.; supervision, R.F.T. and M.I.O. All authors have read and agreed to the published version of the manuscript.
Funding
This research received no external funding.
Institutional Review Board Statement
Not Applicable.
Informed Consent Statement
Not applicable.
Data Availability Statement
Data supporting reported results are available from the authors.
Conflicts of Interest
The authors declare no conflict of interest.
References
- Tournier, R.F.; Ojovan, M.I. Building and breaking bonds by homogenous nucleation in glass-forming melts leading to three liquid states. Materials 2021, 14, 2287. [Google Scholar] [CrossRef]
- Tournier, R.F. First-order transitions in glasses and melts induced by solid superclusters nucleated by homogeneous nucleation instead of surface melting. Chem. Phys. 2019, 524, 40–54. [Google Scholar] [CrossRef]
- Wang, L.-M.; Borick, S.; Angell, C.A. An electrospray technique for hyperquenched glass calorimetry studies: Propylene glycol and di-n-butylphthalate. J. Non-Cryst. Solids 2007, 353, 3829–3837. [Google Scholar] [CrossRef]
- Hornboll, L.; Yue, Y. Enthalpy relaxation in hyperquenched glasses of different fragility. J. Non-Cryst. Solids 2008, 354, 1832–1870. [Google Scholar] [CrossRef]
- Inoue, A.; Zhang, T.; Masumoto, T. The structural relaxation and glass transition of La-Al-Ni and Zr-Al-Cu amorphous alloys with a significant supercooled liquid region. J. Non-Cryst. Solids 1992, 150, 396. [Google Scholar] [CrossRef]
- Hu, L.; Zhang, C.; Yue, Y. Thermodynamic anomaly of the sub-Tg relaxation in hyperquenched metallic glasses. J. Chem. Phys. 2013, 138, 174508. [Google Scholar] [CrossRef] [PubMed]
- Ozhovan, M.I. Topological characteristics of bonds in SiO2 and GeO2 oxide systems at glass-liquid transition. J. Exp. Theor. Phys. 2006, 103, 819–829. [Google Scholar] [CrossRef]
- Ojovan, M.I.; Travis, K.P.; Hand, R.J. Thermodynamic parameters of bonds in glassy materials from viscosity temperature relationships. J. Phys. Cond. Matter. 2007, 19, 415107. [Google Scholar] [CrossRef]
- Ojovan, M.I.; Lee, W.E. Connectivity and glass transition in disordered oxide systems. J. Non-Cryst. Solids 2010, 356, 2534–2540. [Google Scholar] [CrossRef]
- Ojovan, M.I. Ordering and structural changes at the glass-liquid transition. J. Non-Cryst. Solids 2013, 382, 79. [Google Scholar] [CrossRef]
- Ojovan, M.I.; Louzguine-Luzgin, D.V. Revealing Structural Changes at Glass Transition via Radial Distribution Functions. Phys. B 2020, 124, 3186–3194. [Google Scholar] [CrossRef]
- Ojovan, M.I.; Tournier, R.F. On structural rearrangements in amorphous silica at the glass transition. Materials 2021, 14, 5235. [Google Scholar] [CrossRef]
- Kearns, K.L.; Whiteker, K.R.; Ediger, M.D.; Huth, H.; Schick, C. Observation of low heat capacities for vapor-deposited glasses of indomethacin as determined by AC nanocalorimetry. J. Chem. Phys. 2010, 133, 014702. [Google Scholar] [CrossRef] [PubMed]
- Kearns, K.L.; Swallen, S.F.; Ediger, M.D.; Wu, T.; Sun, Y.; Yu, L. Hiking down the energy landscape: Progress toward the Kauzmann temperature via vapor deposition. J. Phys. Chem. B. 2008, 112, 4934–4942. [Google Scholar] [CrossRef] [PubMed]
- Kearns, K.L.; Swallen, S.F.; Ediger, M.D.; Wu, T.; Yu, L. Influence of substrate temperature on the stability of glasses prepared by vapor deposition. J. Chem. Phys. 2007, 127, 154702. [Google Scholar] [CrossRef]
- Whiteker, K.R.; Scifo, D.J.; Ediger, M.D.; Ahrenberg, M.; Schick, C. High stable glasses of cis-decalin and cis/trans-decalin mixtures. J. Phys. Chem. 2013, 117, 12724–12733. [Google Scholar] [CrossRef]
- Whiteker, K.R.; Tylinski, M.; Ahrenberg, M.; Schick, C.; Ediger, M.D. Kinetic stability and heat capacity of vapor-deposited glass of o-terphenyl. J. Chem. Phys. 2015, 143, 084511. [Google Scholar] [CrossRef]
- Ahrenberg, M.; Chua, Y.Z.; Whitaker, R.; Huth, H.; Ediger, M.D.; Schick, C. In situ investigation of vapor-deposited glasses of toluene and ethylbenzene via alternating current chip-nanocalorimetry. J. Chem. Phys. 2013, 138, 024501. [Google Scholar] [CrossRef]
- Tylinski, M.; Chua, Y.Z.; Beasley, M.S.; Ediger, M.D. Vapor-deposited alcohol glasses reveal a wide-range of kinetic stability. J. Chem. Phys. 2016, 145, 174506. [Google Scholar] [CrossRef]
- Ramos, S.L.; Oguni, M.; Ishii, K.; Nakayama, H. Character of devitrification, viewed from enthalpic paths, of the vapor-deposited ethylbenzene glasses. J. Phys. Chem. B. 2011, 115, 14327–14332. [Google Scholar] [CrossRef]
- Leon-Gutierrez, E.; Sepulveda, A.; Garcia, G.; Clavaguera-Mora, M.T.; Rodriguez-Vieja, J. Stability of thin film glasses of toluene and ethylbenzene formed by vapor deposition: An in-situ nanocalorimetric study. Phys. Chem. Chem. Phys. 2010, 12, 14693–14698. [Google Scholar] [CrossRef]
- Yu, H.-B.; Luo, Y.; Samwer, K. Ultrastable metallic glass. Adv. Mater. 2013, 25, 5904–5908. [Google Scholar] [CrossRef]
- Wang, J.Q.; Shen, Y.; Perepezko, J.H.; Ediger, M.D. Increasing the kinetic stability of bulk metallic glasses. Acta Mater. 2016, 104, 25–32. [Google Scholar] [CrossRef]
- Beasley, M.S.; Tylinski, M.; Chua, Y.Z.; Schick, C.; Ediger, M.D. Glasses of three alkyl phosphates show a range of kinetic stabilities when prepared by physical vapor deposition. J. Chem. Phys. 2018, 148, 174503. [Google Scholar] [CrossRef]
- Chua, Y.Z.; Ahrenberg, M.; Tylinski, M.; Ediger, M.D.; Schick, C. How much time is needed to form a kinetically stable glass? Ac calorimetric study of vapor-deposited glasses of ethylcyclohexane. J. Chem. Phys. 2015, 142, 054506. [Google Scholar] [CrossRef] [PubMed]
- Kivelson, D.; Kivelson, S.A.; Zhao, X.; Nussinov, Z.; Tarjus, G. A thermodynamic theory of supercooled liquids. Phys. A 1995, 219, 27–38. [Google Scholar] [CrossRef]
- Ha, A.; Cohen, I.; Zhao, X.; Lee, M.; Kivelson, D. Supercooled liquids and polyamorphism. J. Phys. Chem. Lett. 1996, 100, 1–4. [Google Scholar] [CrossRef]
- Kurita, R.; Tanaka, H. On the abundance and general nature of the liquid-liquid phase transition in molecular systems. J. Phys. Condens. Matter. 2005, 17, L293–L302. [Google Scholar] [CrossRef]
- Kobayashi, M.; Tanaka, H. The reversibility and first-order nature of liquid-liquid transition in a molecular liquid. Nat. Comm. 2016, 7, 13438. [Google Scholar] [CrossRef]
- Zhu, M.; Wang, J.-Q.; Perepezko, J.H.; Yu, L. Possible existence of two amorphous phases of D-Mannitol related by a first-order transition. J. Chem. Phys. 2015, 142, 244504. [Google Scholar] [CrossRef]
- Tournier, R.F. Homogeneous nucleation of phase transformations in supercooled water. Phys. B 2020, 579, 411895. [Google Scholar] [CrossRef]
- Kurtuldu, G.; Shamlaye, K.F.; Löffler, J. Metastable quasi-crystal-induced nucleation in a bulk glass-forming melt. Proc. Natl. Acad. Sci. USA 2018, 115, 6123–6128. [Google Scholar] [CrossRef] [PubMed]
- Tournier, R.F.; Ojovan, M.I. Undercooled Phase Behind the Glass Phase with Superheated Medium-Range Order above Glass Transition Temperature. Physica B 2021, 602, 412542. [Google Scholar] [CrossRef]
- Tournier, R.F.; Ojovan, M.I. Dewetting Temperatures of Prefrozen and Grafted Layers in Ultrathin Films Viewed as Melt-Memory Effects. Physica B 2021, 611, 412796. [Google Scholar] [CrossRef]
- Shen, J.; Lu, Z.; Wang, J.Q.; Lan, S.; Zhang, F.; Chen, M.W.; Wang, X.L.; Wen, P.; Sun, Y.H.; Bai, H.Y.; et al. Metallic glacial glass formation by a first-order liquid-liquid transition. J. Phys. Chem. Lett. 2020, 11, 6718–6723. [Google Scholar] [CrossRef] [PubMed]
- Tournier, R.F. Presence of intrinsic growth nuclei in overheated and undercooled liquid elements. Physica B 2007, 392, 79–91. [Google Scholar] [CrossRef]
- Tournier, R.F. Crystal growth nucleation and Fermi energy equalization of intrinsic spherical nuclei in glass-forming melts. Sci. Technol. Adv. Mater. 2009, 10, 014617. [Google Scholar] [CrossRef]
- Tournier, R.F. Thermodynamic origin of the vitreous transition. Materials 2011, 4, 869–892. [Google Scholar] [CrossRef]
- Tournier, R.F. Thermodynamic and kinetic origin of the vitreous transition. Intermetallics 2012, 30, 104–110. [Google Scholar] [CrossRef]
- Tournier, R.F. Fragile-to-fragile liquid transition at Tg and stable-glass phase nucleation rate maximum at the Kauzmann temperature. Physica B 2014, 454, 253–271. [Google Scholar] [CrossRef]
- Tournier, R.F. Predicting glass-to-glass and liquid-to-liquid phase transitions in supercooled water using non-classical nucleation theory. Chem. Phys. 2018, 500, 45–53. [Google Scholar] [CrossRef]
- Tournier, R.F. Amorphous ices. In Encyclopedia of Glass Science, Technology, History, and Culture; Richet, P., Ed.; Wiley & Sons: Hoboken, NJ, USA, 2021; Volume 1, p. 3.14. [Google Scholar]
- Angell, C.A.; Rao, K.J. Configurational excitations in condensed matter and the “bond lattice”. Model for the liquid-glass transition. J. Chem. Phys. 1972, 57, 470–481. [Google Scholar] [CrossRef]
- Kuchemann, S.; Gibbins, G.; Corkerton, J.; Brug, E.; Ruebsam, J.; Samwer, K. From ultrafast to slow: Heating rate dependence of the glass transition temperature in metallic systems. Phil. Mag. Lett. 2016, 96, 454–460. [Google Scholar] [CrossRef]
- An, Q.; Johnson, W.L.; Samwer, K.; Corona, S.L.; Goddard, W.A., III. First-order transition in liquid Ag to the heterogeneous G-Phase. J. Phys. Chem. Lett. 2020, 11, 632–645. [Google Scholar] [CrossRef]
- An, Q.; Johnson, W.L.; Samwer, K.; Corona, S.L.; Goddard, W.A., III. Formation of two glass phases in binary Cu-Ag liquid. Acta Mater. 2020, 195, 274–281. [Google Scholar] [CrossRef]
- Daeges, J.; Gleiter, H.; Perepezko, J.H. Superheating of metal crystals. Phys. Lett. A. 1986, 119, 79–82. [Google Scholar] [CrossRef]
- Lu, K.; Sheng, H.; Jin, Z. Melting and superheating of crystals. Chin. J. Mater. Res. 1997, 11, 658–665. [Google Scholar]
- Zhang, D.L.; Cantor, B. Melting behaviour of In and Pb particles embedded in an Al Matrix. Acta Metall. Mater. 1991, 39, 1595–1602. [Google Scholar] [CrossRef]
- Lu, K.; Li, Y. Homogeneous nucleation catastroph as a kinetic stability limit for superheated crystal. Phys. Rev. Lett. 1998, 80, 4474–4477. [Google Scholar] [CrossRef]
- Tournier, R.F. Glass phase and other multiple liquid-to-liquid transitions resulting from two-liquid competition. Chem. Phys. Lett. 2016, 665, 64–70. [Google Scholar] [CrossRef]
- Li, J.J.Z.; Rhim, W.K.; Zeng, X.R.; Samwer, K.; Johnson, W.L. Evidence for a liquid-liquid phase transition in metallic fluid observed by electrostatic levitation. Acta Mater. 2011, 59, 2166–2171. [Google Scholar] [CrossRef]
- Hu, Q.; Sheng, H.C.; Fu, M.W.; Zeng, X.R. Influence of melt temperature on the Invar effect in (Fe71.2B.024Y4.8)96Nb4 bulk metallic glasses. J. Mater. Sci. 2019, 48, 6900–6906. [Google Scholar]
- Popel, P.S.; Sidorov, V.E. Microheterogeneity of liquid metallic solutions and its influence on the structure and propertes of rapidly quenched alloys. Mater.Sci. Eng. 1997, 226–228, 237–244. [Google Scholar] [CrossRef]
- Lan, S.; Blodgett, M.; Kelton, K.F. Structural crossover in a supercooled metallic liquid and the link to a liquid-to-liquid phase transition. Appl. Phys. Lett. 2016, 108, 211907. [Google Scholar] [CrossRef]
- Mukherjee, S.; Zhou, Z.; Schroers, J.; Johnson, W.L.; Rhim, W.K. Overheating threshold and its effect on time-temperature-transformation diagrams of zirconium based bulk metallic glasses. Appl. Phys. Lett. 2004, 84, 5010–5012. [Google Scholar] [CrossRef]
- Busch, R.; Kim, H.J.; Johnson, W.L. Thermodynamic and kinetics of the undercoolerd liquid and the glazss transition of the Zr41.2Ti13.6Cu12.5Ni10.0Be22.5 alloy. J. Appl. Phys. 1995, 77, 4039–4043. [Google Scholar] [CrossRef]
- He, Y.; Li, J.; Wang, J.; Kou, H.; Beaugnon, E. Liquid-liquid structure transition and nucleation in undercooled Co-B eutectic alloys. Appl. Phys. A. 2017, 123, 391. [Google Scholar] [CrossRef]
- Yang, B.; Perepezko, J.H.; Schmelzer, J.W.P.; GaO, Y.; Schick, C. Dependence of crystal nucleation on prior liquid overheating by differential fast scanning calorimetry. J. Chem. Phys. 2014, 140, 104513. [Google Scholar] [CrossRef]
- Wei, S.; Yang, F.; Bednarcik, J.; Kaban, I.; Shuleshova, O.; Meyer, A.; Busch, R. Liquid-liquid transition in a strong bulk metallic glass-forming liquid. Nat. Commun. 2013, 4, 2083. [Google Scholar] [CrossRef]
- Way, C.; Wadhwa, P.; Busch, R. The influence of shear rate and temperature on the viscosity and fragility of the Zr41.2Ti13.6Cu12.5Ni10.0Be22.5 metallic-glass-forming liquid. Acta Mater. 2007, 55, 2977–2983. [Google Scholar] [CrossRef]
- Jiang, H.-R.; Bochtler, B.; Riegler, S.S.; Wei, X.-S.; Neuber, N.; Frey, M.; Gallino, I.; Busch, R.; Shen, J. Thermodynamic and kinetic studies of the Cu-Zr-Al(-Sn) bulk metallic glasses. J. All. Comp. 2020, 844, 156126. [Google Scholar] [CrossRef]
- Kim, Y.H.; Kiraga, K.; Inoue, A.; Masumoto, T.; Jo, H.H. Crystallization and high mechanical strength of Al-based amorphous alloys. Mater. Trans. 1994, 35, 293–302. [Google Scholar] [CrossRef]
- Dahlborg, U.; Calvo-Dahlborg, M.; Popel, P.S.; Sidorov, V.R. Structure and properties of some glass-forming liquid alloys. Eur. Phys. J. 2000, B14, 639–648. [Google Scholar] [CrossRef]
- Yue, Y. Experimental evidence for the existence of an ordered structure in a silicate liquid above its liquidus temperature. J. Non-Cryst. Solids 2004, 345–346, 523–527. [Google Scholar] [CrossRef]
- Chen, E.-Y.; Peng, S.-X.; Peng, L.; Michiel, M.D.; Vaughan, G.B.M.; Yu, Y.; Yu, H.-B.; Ruta, B.; Wei, S.; Liu, L. Glass-forming ability correlated with the liquid-liquid transition in Pd42.5Ni42.5P15 alloy. Scripta Mater. 2021, 193, 117–121. [Google Scholar] [CrossRef]
- Lan, S.; Ren, Y.; Wei, X.Y.; Wang, B.; Gilbert, E.P.; Shibayama, T.; Watanabe, S.; Ohnuma, M.; Wang, X.-L. Hidden amorphous phase and reentrant supercooled liquid in Pd-Ni-P metallic glass. Nat. Commun. 2017, 8, 14679. [Google Scholar] [CrossRef]
- Xu, W.; Sandor, M.T.; Yu, Y.; Ke, H.-B.; Zhang, H.P.; Li, M.-Z.; Wang, W.-H.; Liu, L.; Wu, Y. Evidence of liquid-liquid transition in glass-forming La50Al35Ni15 melt above liquidus temperature. Nat. Commun. 2015, 6, 7696. [Google Scholar] [CrossRef]
- Zeng, Y.Q.; Yu, J.S.; Tian, Y.; Hirata, A.; Fujita, T.; Zhang, X.H.; Nishiyama, N.; Kato, H.; Jiang, J.Q.; Inoue, A.; et al. Improving glass forming ability of off-eutectic metallic glass formers by manipulating primary crystallization reactions. Acta Mater. 2020, 200, 710–719. [Google Scholar] [CrossRef]
- Tournier, R.F.; Ojovan, M.I. Comments about a recent publication entitled entitled "Improving glass forming ability of off-eutectic metallic glass formers by manipulating primary crystallization reactions”. Scripta Mater. 2021. under publication. [Google Scholar] [CrossRef]
- Zeng, Y.Q.; Yu, J.S.; Tian, Y.; Hirata, A.; Fujita, T.; Zhang, X.H.; Nishiyama, N.; Kato, H.; Jiang, J.Q.; Inoue, A.; et al. Response to the commentary by Robert Tournier and Michael Ojovan on our publication entitled “Improving glass forming”. Scripta Mater. 2021. under publication. [Google Scholar] [CrossRef]
- Tournier, R.F. Lindemann’s rule applied to the melting of crystals and ultra-stable glasses. Chem. Phys. Lett. 2016, 651, 198–202, Erratum in 2017, 675, 174. [Google Scholar] [CrossRef]
- Bossy, J.; Hansen, T.; Glyde, H.R. Amorphous solid Helium in porous melts. Phys. Rev. B 2010, 81, 184507. [Google Scholar] [CrossRef]
- Bera, S.; Maloney, J.; Mulders, N.; Cheng, Z.G.; Chan, M.H.W.; Burns, C.A.; Zhang, S. Pressure-dependent phase transformation of solid helium confined with a nanoporous material. Phys. Rev. B 2013, 88, 054512. [Google Scholar] [CrossRef]
- Tournier, R.F.; Bossy, J. 4He glass phase: A model for liquid elements. Chem. Phys. Lett. 2016, 658, 282–286. [Google Scholar] [CrossRef]
- Tournier, R.F. Validation of non-classical homogeneous nucleation model for G-glass and L-glass formations in liquid elements with recent molecular dynamics simulations. Scripta Mater. 2021, 199, 113859. [Google Scholar] [CrossRef]
- Vopson, M.M.; Rugers, N.; Hepburn, I. The generalized Lindemann Melting coefficient. Sol. State Commun. 2020, 318, 113977. [Google Scholar] [CrossRef]
- Bazlov, A.I.; Louzguine-Luzguin, D.V. Crystallization of FCC and BCC liquid metals studied by molecular dynamics simulation. Metals 2020, 10, 1532. [Google Scholar]
- Becker, S.; Devijver, E.; Molinier, R.; Jakse, N. Glass-forming ability of elemental zirconium. Phys. Rev. B 2020, 102, 104205. [Google Scholar] [CrossRef]
- Cortella, L.; Vinet, B.; Desre, P.J.; Pasturel, A.; Paxton, A.T.; Van Schilfgaarde, M. Evidences of transition metastable phases in refractory metals solidified from highly undercooled liquids in a droplet. Phys. Rev. Lett. 1993, 70, 1469–1472. [Google Scholar] [CrossRef]
- Wang, J.; He, Y.; Li, J.; Li, C.; Kou, H.; Zhang, P.; Beaugnon, E. Nucleation of supercooled Co melts under a high magnetic field. Mater. Chem. Phys. 2019, 225, 133–136. [Google Scholar] [CrossRef]
- Shephard, J.J.; Salzmann, C.G. Molecular reorientation dynamics govern the glass transition of the amorphous state. J. Phys. Chem. Lett. 2016, 7, 2181–2185. [Google Scholar] [CrossRef]
- Shephard, J.J.; Ling, S.; Sosso, G.C.; Michalides, A.; Slater, B.; Salzmann, C.G. High-density amorphous ice simply-derailed state along the ice 1 to ice IV pathway. J. Phys. Chem. Lett. 2017, 8, 1645–1650. [Google Scholar] [CrossRef] [PubMed]
- Zhong, L.; Wang, J.; Sheng, H.; Zhang, Z.; Mao, S.X. Formation of monoatomic metallic glasses through ultrafast liquid quenching. Nature 2014, 512, 177. [Google Scholar] [CrossRef]
- Louzguine-Luzguin, D.V.; Belosludov, R.; Saito, M.; Kawazoe, Y.; Inoue, A. Glass transition behavior of Ni: Calculation, prediction, and experiment. J. Appl. Phys. 2008, 104, 123529. [Google Scholar] [CrossRef]
- Louzguine-Luzgin, D.V.; Miyama, M.; Nishio, N.; Tsarkov, A.A.; Greer, A.L. Vitrification and nanocrytallization of pure liquid Ni studied using molecular-dynamics simulation. J. Chem. Phys. 2019, 151, 124502. [Google Scholar] [CrossRef]
- Herlach, D.M. Non-equilibrium solidification of undercooled metallic melts. Mater. Sci. Eng. 1994, R12, 177–272. [Google Scholar] [CrossRef]
- Stewart, G.R. Measurement of low-temperatutre specific heat. Rev. Sci. Instrum. 1983, 54, 1–11. [Google Scholar] [CrossRef]
- Taylor, R.E.; Finch, R.A. The Specific Heats and Resistivities of Molybdenum, Tantalum, and Rhenium from Low to High Temperatures. s.l.: Standard Distribution Lists for Unclassified Scientific and Technical Reports. In Proceedings of the Atomic International, Canoga Park, CA, USA, 15 December 1960; TID-4500 (16th Ed.). 1960; pp. 1–37. [Google Scholar]
- Tournier, R.F. Crystallization of supercooled liquid elements induced by superclusters containing magic atom numbers. Metals 2014, 4, 359–387. [Google Scholar] [CrossRef]
- Thurnay, K. Properties of Transition Metals; Forschungszentrum Karlsruhe: Karlsruhe, Germany, 1998. [Google Scholar] [CrossRef]
- Inoue, A. Stabilization of metallic supercooled liquid and bulk amorphous alloys. Acta Mater. 2000, 48, 279–306. [Google Scholar] [CrossRef]
- Hikima, T.; Okamoto, N.; Hanaya, M.; Oguni, M. Calorimetric study of triphenylethene: Observation of homogeneous-nucleation-based crystallization. J. Chem. Therm. 1998, 30, 509–523. [Google Scholar] [CrossRef]
- Hikima, T.; Hanaya, M.; Oguni, M. Discovery of a potentially homogeneous-nucleation-based crystallization around the glass transition temperature in Salol. Solid State Comm. 1995, 93, 713–717. [Google Scholar] [CrossRef]
- Kelton, K.F. Crystal nucleation in liquids and glasses. Solid State Phys. 1991, 45, 75–177. [Google Scholar]
- He, Y.-X.; Li, J.-S.; Wang, J.; Beaugnon, E. Liquid-liquid structure transition in metallic melt and its impact on solidification: A review. [ed.] Elsevier. Trans. Nonferr. Met. Soc. China 2020, 30, 2293–2310. [Google Scholar] [CrossRef]
- He, Y.; Li, J.; Li, L.; Wang, J.; Yildiz, E.; Beaugnon, E. Composition dependent characteristic transition temperatures of Co-B melts. J. Non-Cryst. Solids 2019, 522, 119583. [Google Scholar] [CrossRef]
- Tlahuice-Flores, A.; Munoz-Castro, A. Bonding and properties of superatoms. Analogs to atoms and molecules and related concepts from superatomic clusters. J. Quantum Chem. 2019, 119, e25756. [Google Scholar] [CrossRef]
- Kuzmin, V.I.; Tytik, D.I.; Belashchenko, G.K.; Sirenko, A.N. Structure of silver clusters with magic numbers of atoms by data of molecular dynamics. Colloid J. 2008, 70, 284–296. [Google Scholar] [CrossRef]
- Popel, P.S.; Chikova, O.A.; Matveev, V.M. Metastable colloidal states of liquid metallic solutions. High Temp. Mater. Proc. 1995, 4, 219–233. [Google Scholar] [CrossRef]
- Popel, P.S.; Dahlborg, U.; Calvo-Dahlborg, M. On the existence of metastable microheterogeneities in metallic melts. IOP Conf. Ser. Mater.Sci. Eng. 2017, 192, 012012. [Google Scholar] [CrossRef]
Publisher’s Note: MDPI stays neutral with regard to jurisdictional claims in published maps and institutional affiliations. |
© 2021 by the authors. Licensee MDPI, Basel, Switzerland. This article is an open access article distributed under the terms and conditions of the Creative Commons Attribution (CC BY) license (https://creativecommons.org/licenses/by/4.0/).











