Impact of A-Site Cation Deficiency on Charge Transport in La0.5−xSr0.5FeO3−δ
Abstract
1. Introduction
2. Experimental
3. Results and Discussion
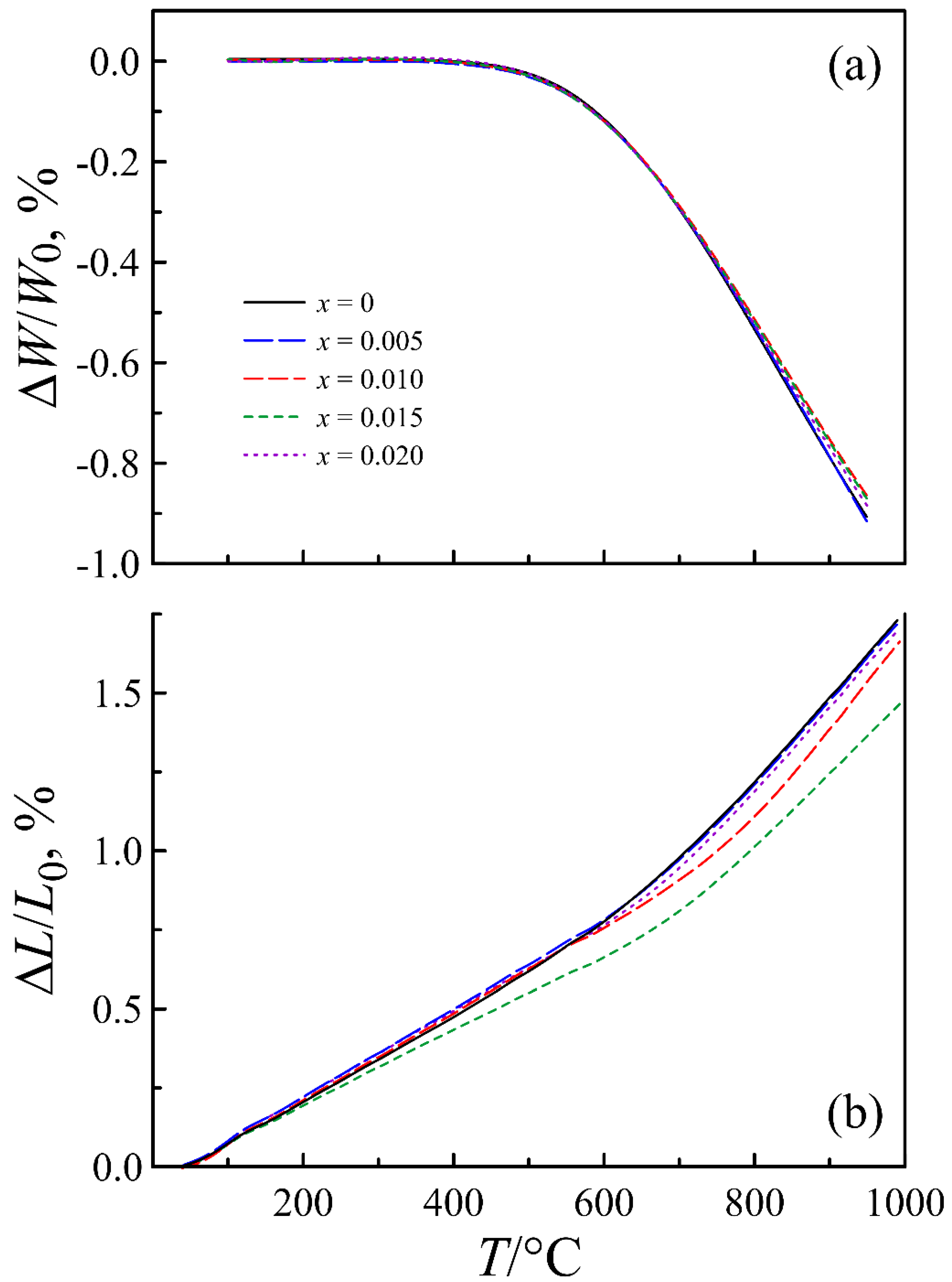
3.1. Material Characterization
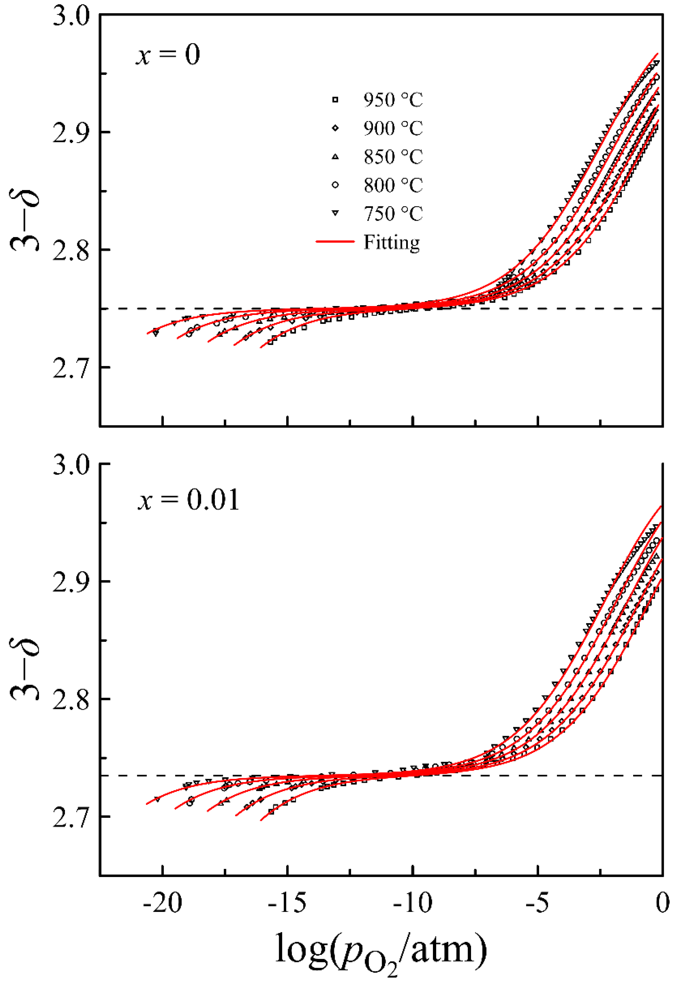
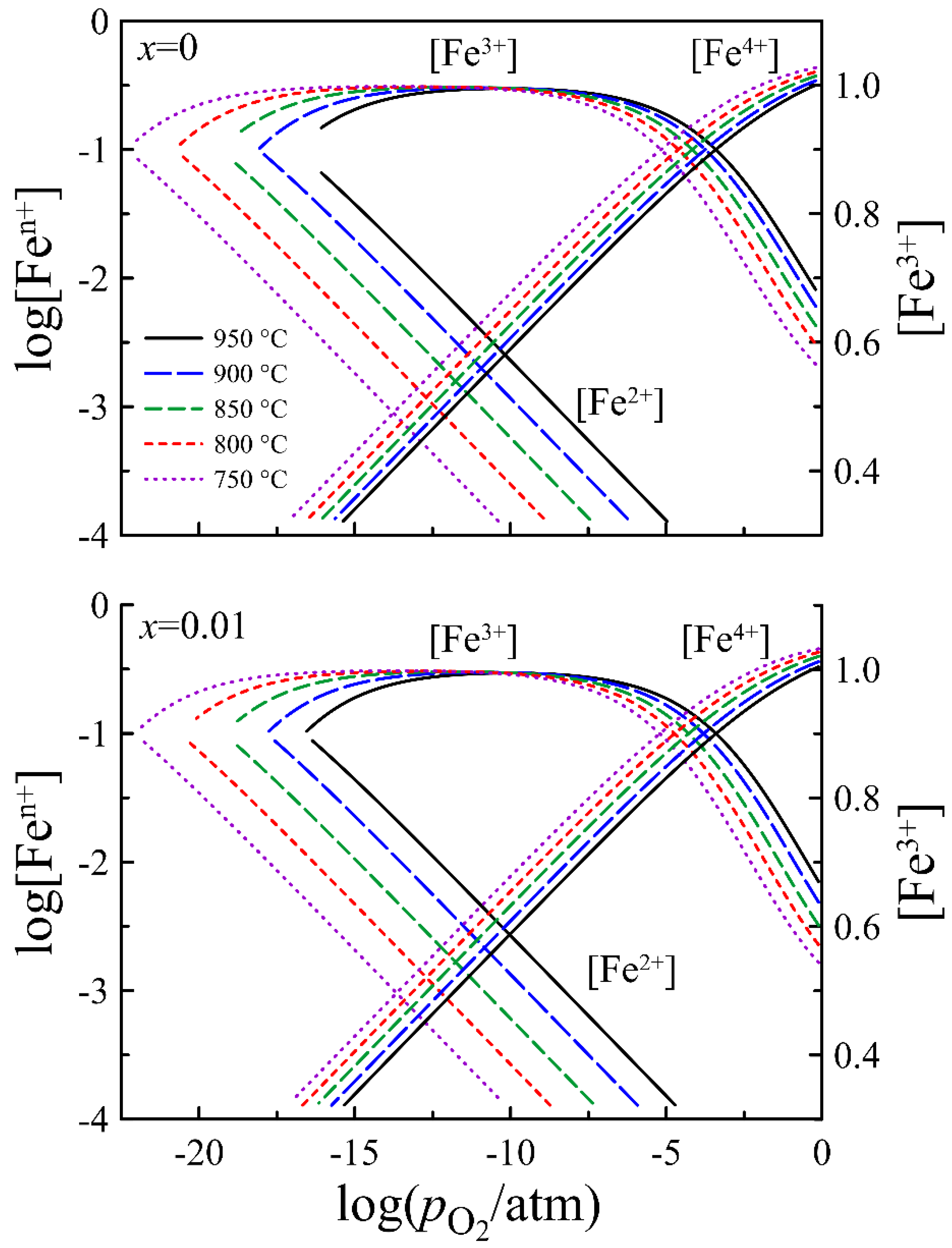
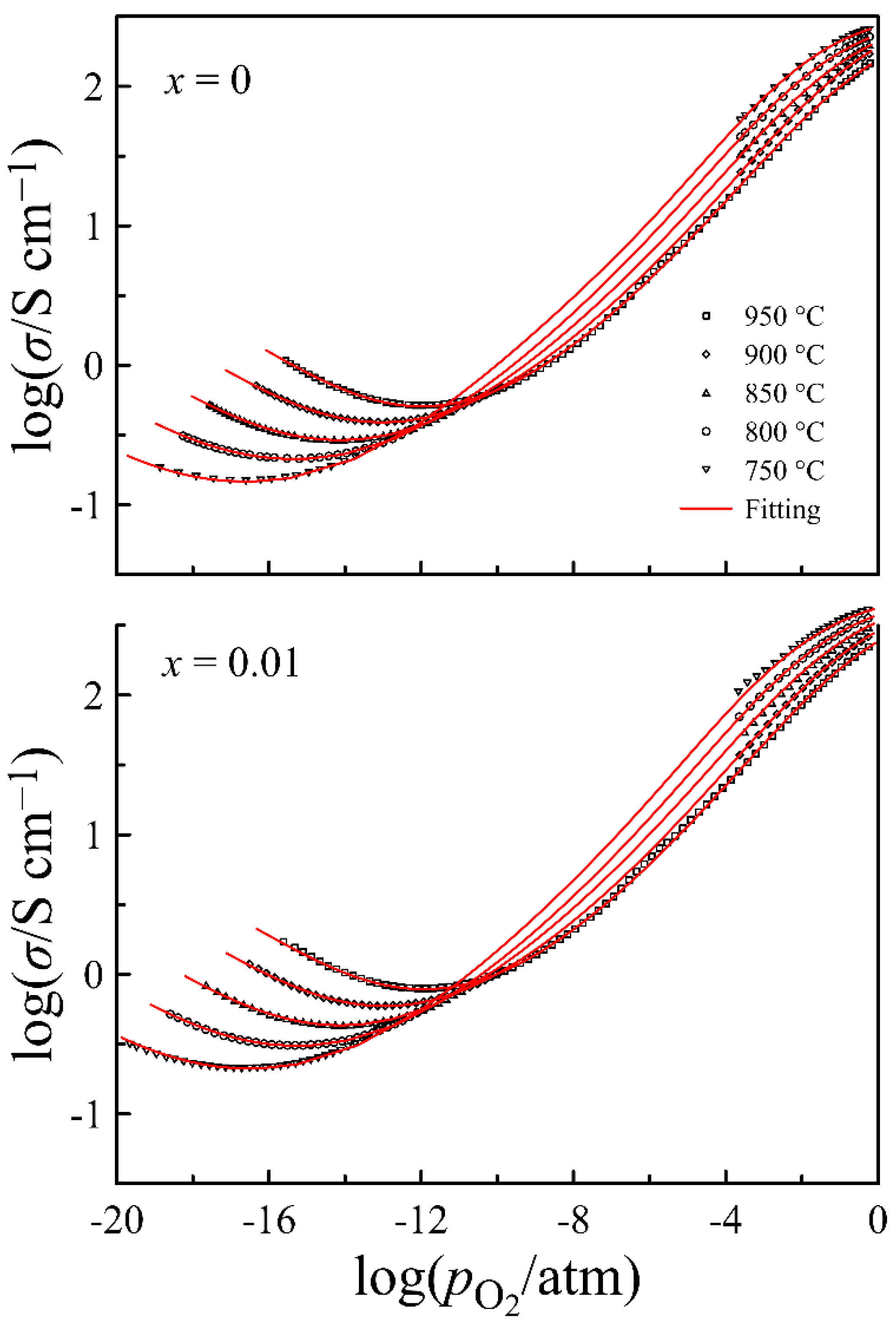
3.2. Oxygen Content and Defect Equilibrium
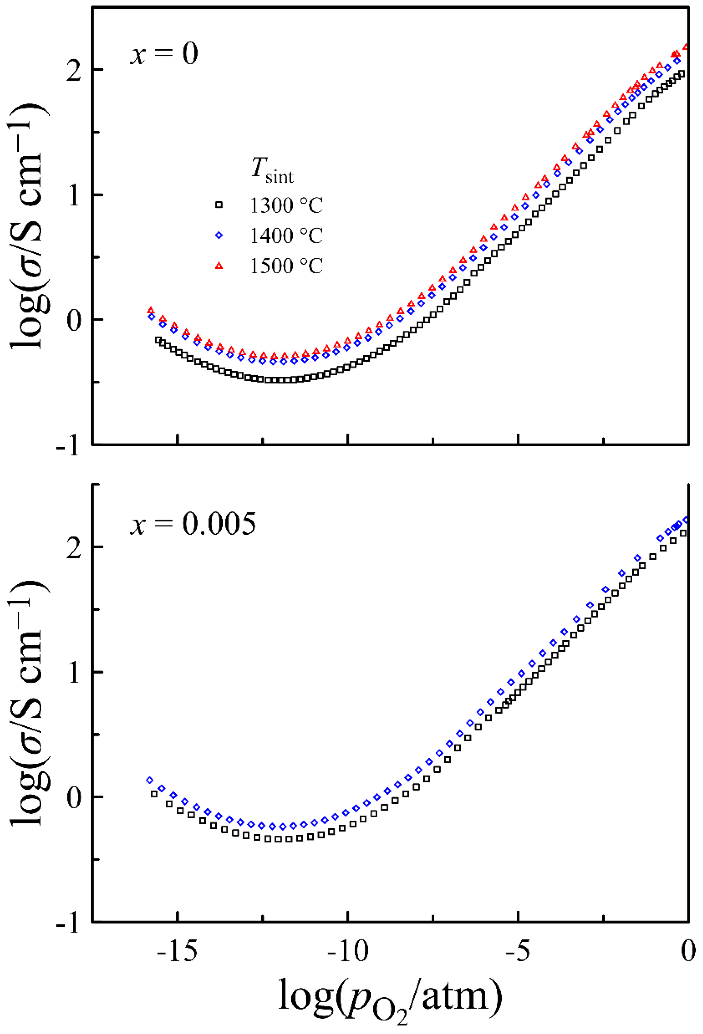
3.3. Mobility of Charge Carriers
3.4. Evidence of SrFe12O19 Impurity Formation
4. Conclusions
Supplementary Materials
Author Contributions
Funding
Institutional Review Board Statement
Informed Consent Statement
Data Availability Statement
Conflicts of Interest
References
- Hansen, K.K. Evaluation of LSF based SOFC cathodes using cone-shaped electrodes and EIS. Solid State Ion. 2020, 344, 115096. [Google Scholar] [CrossRef]
- Pidburtnyi, M.; Zanca, B.; Coppex, C.; Jimenez-Villegas, S.; Thangadurai, V. A review on perovskite-type LaFeO3 based electrodes for CO2 reduction in solid oxide electrolysis cells: Current Understanding of Structure−Functional Property Relationships. Chem. Mater. 2021, 33, 4249–4268. [Google Scholar] [CrossRef]
- Deronzier, E.; Chartier, T.; Geffroy, P.-M. Oxygen semi-permeation properties of La1−xSrxFeO3−δ perovskite membranes under high oxygen gradient. J. Mater. Res. 2020, 35, 2506–2515. [Google Scholar] [CrossRef]
- Evdou, A.; Zaspalis, V.; Nalbandian, L. La1−xSrxFeO3−δ perovskites as redox materials for application in a membrane reactor for simultaneous production of pure hydrogen and synthesis gas. Fuel 2010, 89, 1265–1273. [Google Scholar] [CrossRef]
- Taylor, D.D.; Schreiber, N.J.; Levitas, B.D.; Xu, W.; Whitfield, P.S.; Rodriguez, E.E. Oxygen storage properties of La1−xSrxFeO3−δ for chemical looping reactions—An in-situ neutron and synchrotron X-ray study. Chem. Mater. 2016, 28, 3951–3960. [Google Scholar] [CrossRef]
- Sastre, D.; Serrano, D.P.; Pizarro, P.; Coronado, J.M. Chemical insights on the activity of La1−xSrxFeO3−δ perovskites for chemical looping reforming of methane coupled with CO2-splitting. J. CO2 Util. 2019, 31, 16–26. [Google Scholar] [CrossRef]
- Nadeev, A.N.; Tsybulya, S.V.; Shmakov, A.N.; Kryukova, G.N.; Yakovleva, I.S.; Isupova, L.A. High-temperature studies of La1−xSrxFeO3−δ solid solutions using synchrotron radiation. J. Struct. Chem. 2007, 48, 1105–1109. [Google Scholar] [CrossRef]
- Fossdal, A.; Menon, M.; Wærnhus, I.; Wiik, K.; Einarsrud, M.-A.; Grande, T. Crystal structure and thermal expansion of La1−xSrxFeO3−δ materials. J. Am. Ceram. Soc. 2004, 87, 1952–1958. [Google Scholar] [CrossRef]
- Mizusaki, J.; Yoshishiro, M.; Yamauchi, S.; Fueki, K. Thermodynamic quantities and defect equilibrium in the solution La1−xSrxFeO3−δ. J. Solid State Chem. 1987, 67, 1–8. [Google Scholar] [CrossRef]
- Yoo, J.; Park, C.Y.; Jacobson, A.J. Determination of the equilibrium oxygen non-stoichiometry and the electrical conductivity of La0.5Sr0.5FeO3−x. Solid State Ion. 2004, 175, 55–58. [Google Scholar] [CrossRef]
- Bae, H.; Hong, J.; Singh, B.; Srivastava, A.K.; Joo, J.H.; Song, S.-J. Investigations on defect equilibrium, thermodynamic quantities, and transport properties of La0.5Sr0.5FeO3−δ. J. Electrochem. Soc. 2019, 166, F180–F189. [Google Scholar] [CrossRef]
- Shin, Y.; Doh, K.-Y.; Kim, S.H.; Lee, J.H.; Bae, H.; Song, S.-J.; Lee, D. Effect of oxygen vacancies on electrical conductivity of La0.5Sr0.5FeO3−δ from first principles calculations. J. Mater. Chem. A 2020, 8, 4784–4789. [Google Scholar] [CrossRef]
- Kuhn, M.; Hashimoto, S.; Sato, K.; Yashiro, K.; Mizusaki, J. Oxygen nonstoichiometry, thermo-chemical stability and lattice expansion of La0.6Sr0.4FeO3−δ. Solid State Ion. 2011, 19, 7–15. [Google Scholar] [CrossRef]
- Sereda, V.V.; Tsvetkov, D.S.; Ivanov, I.L.; Zuev, A.Y. Interplay between chemical strain, defects and ordering in Sr1−xLaxFeO3 materials. Acta Mater. 2019, 162, 33–45. [Google Scholar] [CrossRef]
- Diethelm, S.; Van herle, J.; Sfeir, J.; Buffat, P. Correlation between oxygen transport properties and microstructure in La0.5Sr0.5FeO3−δ. J. Eur. Ceram. Soc. 2005, 25, 2191–2196. [Google Scholar] [CrossRef]
- Juste, E.; Julian, A.; Geffroy, P.-M.; Vivet, A.; Coudert, V.; Richet, N.; Pirovano, C.; Chartier, T.; Del Gallo, P. Influence of microstructure and architecture on oxygen permeation of La(1−x)SrxFe(1−y)(Ga,Ni)yO3−δ perovskite catalytic membrane reactor. J. Eur. Ceram. Soc. 2010, 30, 1409–1417. [Google Scholar] [CrossRef]
- Martynczuk, J.; Arnold, M.; Feldhoff, A. Influence of grain size on the oxygen permeation performance of perovskite-type (Ba0.5Sr0.5)(Fe0.8Zn0.2)O3−δ membranes. J. Membr. Sci. 2008, 322, 375–382. [Google Scholar] [CrossRef]
- Reichmann, M.; Geffroy, P.-M.; Richet, N.; Chartier, T. Impact of microstructure on oxygen semi-permeation performance of perovskite membranes: Understanding of oxygen transport mechanisms. J. Power Sources 2016, 324, 774–779. [Google Scholar] [CrossRef]
- Watanabe, K.; Ninomiya, S.; Yuasa, M.; Kida, T.; Yamazoe, N.; Haneda, H.; Shimanoe, K. Microstructure Effect on the Oxygen Permeation through Ba0.95La0.05FeO3–δ Membranes Fabricated by Different Methods. J. Am. Ceram. Soc. 2010, 93, 2012–2017. [Google Scholar] [CrossRef]
- Ge, L.; Zhou, W.; Ran, R.; Liu, S.; Shao, Z.; Jin, W.; Xu, N. Properties and performance of A-site deficient (Ba0.5Sr0.5)1−xCo0.8Fe0.2O3−δ for oxygen permeating membrane. J. Membr. Sci. 2007, 306, 318–328. [Google Scholar]
- Banerjee, K.; Mukhopadhyay, J.; Barman, M.; Basu, R.N. Effect of ‘A’-site non stoichiometry in strontium doped lanthanum ferrite based solid oxide fuel cell cathodes. Mater. Res. Bull. 2015, 72, 306–315. [Google Scholar] [CrossRef]
- Striker, T.; Ruud, J.A.; Gao, Y.; Heward, W.J.; Steinbruchel, C. A-site deficiency, phase purity and crystal structure in lanthanum strontium ferrite powders. Solid State Ion. 2007, 178, 1326–1336. [Google Scholar] [CrossRef]
- Kovalevsky, A.V.; Yaremchenko, A.A.; Populoh, S.; Weidenkaff, A.; Frade, J.R. Effect of A Site Cation Deficiency on the Thermoelectric Performance of Donor-Substituted Strontium Titanate. J. Phys. Chem. C 2014, 118, 4596–4606. [Google Scholar] [CrossRef]
- Su, C.; Wang, W.; Shao, Z. Cation-Deficient Perovskites for Clean Energy Conversion. Acc. Mater. Res. 2021, 2, 477–488. [Google Scholar] [CrossRef]
- Yang, G.; Su, C.; Shi, H.; Zhu, Y.; Song, Y.; Zhou, W.; Shao, Z. Toward Reducing the Operation Temperature of Solid Oxide Fuel Cells: Our Past 15 Years of Efforts in Cathode Development. Energy Fuels 2020, 34, 15169–15194. [Google Scholar] [CrossRef]
- Bongio, E.V.; Black, H.; Raszewski, F.C.; Edwards, D.; McConville, C.J.; Amarakoon, V.R.W. Microstructural and High-Temperature Electrical Characterization of La1−xSrxFeO3−δ. J. Electroceram. 2005, 14, 193–198. [Google Scholar] [CrossRef]
- Patrakeev, M.V.; Bahteeva, J.A.; Mitberg, E.B.; Leonidov, I.A.; Kozhevnikov, V.L.; Poeppelmeier, K.R. Electron/hole and ion transport in La1−xSrxFeO3−δ. J. Solid State Chem. 2003, 172, 219–231. [Google Scholar] [CrossRef]
- Kraus, W.; Nolze, G. PowderCell for Windows—Version 2.4—Structure Visualisation/Manipulation, Powder Pattern Calculation and Profile Fitting; Federal Institute for Materials Research and Testing: Berlin, Germany, 2000. [Google Scholar]
- Merkulov, O.V.; Naumovich, E.N.; Patrakeev, M.V.; Markov, A.A.; Bouwmeester, H.J.M.; Leonidov, I.A.; Kozhevnikov, V.L. Oxygen nonstoichiometry and defect chemistry of perovskite-structured SrFe1–xMoxO solid solutions. Solid State Ion. 2016, 292, 116–121. [Google Scholar] [CrossRef]
- Patrakeev, M.V.; Leonidov, I.A.; Kozhevnikov, V.L. Applications of coulometric titration for studies of oxygen non-stoichiometry in oxides. J. Solid State Electrochem. 2011, 15, 931–954. [Google Scholar] [CrossRef]
- Mizusaki, J.; Sasamoto, T.; Cannon, W.R.; Bowen, H.K. Electronic conductivity, Seebeck coefficient and defect structure of La1−xSrxFeO3 (x = 0.1, 0.25). J. Am. Ceram. Soc. 1983, 66, 247–252. [Google Scholar] [CrossRef]
- Kim, Y.-M.; Bae, J. Effect of A-site Deficiency on Mixed Conducting Properties of (Ba,Sr)(Co,Fe)O3–δ. Electrodes for Solid Oxide Fuel Cells. ECS Trans. 2008, 13, 137–143. [Google Scholar] [CrossRef]
- Mai, A.; Haanappel, V.; Tietz, F.; Stover, D. SOFC-IX, PV 2005-07. In The Electrochemical Society Proceedings Series; Singhal, S.C., Mizusaki, J., Eds.; Electrochemical Society: Pennington, NJ, USA, 2005; p. 1627. [Google Scholar]
- Søgaard, M.; Vang Hendriksen, P.; Mogensen, M. Oxygen nonstoichiometry and transport properties of strontium substituted lanthanum ferrite. J. Solid State Chem. 2007, 180, 1489–1503. [Google Scholar] [CrossRef]
- Lohne, Ø.F.; Phung, T.N.; Grande, T.; Bouwmeester, H.J.M.; Vang Hendriksen, P.; Søgaard, M.; Wiik, K. Oxygen Non-Stoichiometry and Electrical Conductivity of La0.2Sr0.8Fe0.8B0.2O3–δ, B = Fe, Ti, Ta. J. Electrochem. Soc. 2014, 161, F176–F184. [Google Scholar] [CrossRef][Green Version]
- Kharton, V.V.; Patrakeev, M.V.; Waerenborgh, J.C.; Kovalevsky, A.V.; Pivak, Y.V.; Gaczyński, P.; Markov, A.A.; Yaremchenko, A.A. Oxygen nonstoichiometry, Mössbauer spectra and mixed conductivity of Pr0.5Sr0.5FeO3–δ. J. Phys. Chem. Solids 2007, 68, 355–366. [Google Scholar] [CrossRef]
- Markov, A.A.; Patrakeev, M.V.; Savinskaya, O.A.; Nemudry, A.P.; Leonidov, I.A.; Leonidova, O.N.; Kozhevnikov, V.L. Oxygen nonstoichiometry and high-temperature transport in SrFe1–xWxO3–δ. Solid State Ion. 2008, 179, 99–103. [Google Scholar] [CrossRef]
- Berger, C.; Bucher, E.; Sitte, W. Mass and charge transport properties of La0.9Ca0.1FeO3–δ. Solid State Ion. 2017, 299, 46–54. [Google Scholar] [CrossRef]
- Patrakeev, M.V.; Leonidov, I.A.; Kozhevnikov, V.L.; Kharton, V.V. Oxygen Nonstoichiometry and Ion-electron Transport in SrFe0.9M0.1O3–δ (M=Cr,Ti,Al). Mater. Sci. Forum 2006, 514–516, 382–386. [Google Scholar] [CrossRef]
- Patrakeev, M.V.; Markov, A.A.; Leonidov, I.A.; Kozhevnikov, V.L.; Kharton, V.V. Ion and electron conduction in SrFe1–xScxO3–δ. Solid State Ion. 2006, 177, 1757–1760. [Google Scholar] [CrossRef]
- Merkulov, O.V.; Samigullin, R.R.; Markov, A.A.; Leonidov, I.A.; Patrakeev, M.V. Defect chemistry and high-temperature transport in SrFe1–xSnxO3–δ. J. Solid State Chem. 2016, 243, 190–197. [Google Scholar] [CrossRef]
- Merkulov, O.V.; Markov, A.A.; Naumovich, E.N.; Shalaeva, E.V.; Leonidov, I.A.; Patrakeev, M.V. Non-uniform electron conduction in weakly ordered SrFe1−xMoxO3−δ. Dalton Trans. 2019, 48, 4530–4537. [Google Scholar] [CrossRef]
- Bamburov, A.D.; Markov, A.A.; Patrakeev, M.V.; Leonidov, I.A. The impact of Ba substitution in lanthanum-strontium ferrite on the mobility of charge carriers. Solid State Ion. 2019, 332, 86–92. [Google Scholar] [CrossRef]
- Nikitin, S.S.; Merkulov, O.V.; Leonidov, I.A.; Patrakeev, M.V. High-temperature charge transport in Nd0.25Sr0.75FeO3−δ: The influence of various factors. Dalton Trans. 2021, 50, 11429–11439. [Google Scholar] [CrossRef] [PubMed]
- Park, C.Y.; Jacobson, A.J. Electrical Conductivity and Oxygen Nonstoichiometry of La0.2Sr0.8Fe0.55Ti0.45O3–δ. J. Electrochem. Soc. 2005, 152, J65–J73. [Google Scholar] [CrossRef]
- Nikitin, S.S.; Merkulov, O.V.; Bamburov, A.D.; Patrakeev, M.V. Electrochemical determination of SrFe12O19 impurity in perovskite ferrites. J. Alloys Compd. 2021, 873, 159677. [Google Scholar] [CrossRef]
- Dai, Y.; Lan, Z.; Yu, Z.; Sun, K.; Guo, R.; Wu, G.; Jiang, X.; Wu, C.; Liu, Y.; Liu, H.; et al. Effects of La substitution on micromorphology, static magnetic properties and low ferromagnetic resonance linewidth of self-biased M-type Sr hexaferrites for high frequency application. Ceram. Int. 2021, 47, 8980–8986. [Google Scholar] [CrossRef]
- Ramamurthy Acharya, B.; Prasad, S.; Venkataramani, N.; Shringi, S.N.; Krishnan, R. The effect of deposition and annealing conditions on textured growth of sputter-deposited strontium ferrite films on different substrates. J. Appl. Phys. 1996, 79, 478–484. [Google Scholar] [CrossRef]
- Langhof, N.; Seifert, D.; Göbbels, M.; Töpfer, J. Reinvestigation of the Fe-rich part of the pseudo-binary system SrO–Fe2O3. J. Solid State Chem. 2009, 182, 2409–2416. [Google Scholar] [CrossRef]














| x | a, Å | α, deg. | V, Å3 | GOF | wR,% | wRmin,% |
|---|---|---|---|---|---|---|
| 0 | 5.487(6) | 60.27 | 117.58 | 1.15 | 18.04 | 15.76 |
| 0.005 | 5.491(1) | 60.25 | 117.75 | 1.17 | 19.98 | 16.25 |
| 0.010 | 5.495(2) | 60.22 | 117.92 | 1.2 | 19.68 | 16.49 |
| 0.015 | 5.493(4) | 60.23 | 117.84 | 1.16 | 18.65 | 16.16 |
| 0.020 | 5.484(0) | 60.25 | 117.67 | 1.13 | 18.56 | 16.42 |
| x | Sintering Temperature, °C | Density, % |
|---|---|---|
| 0 | 1300 | 65.1 |
| 0 | 1400 | 87.5 |
| 0 * | 1500 | 93.1 |
| 0.005 | 1300 | 75.7 |
| 0.005 | 1400 | 92.9 |
| 0.005 | 1500 | 92.7 |
| 0.01 | 1300 | 93.4 |
| 0.015 | 1300 | 92.9 |
| 0.020 | 1300 | 94.1 |
| x | ||||
|---|---|---|---|---|
| 0 | −107 ± 2 | −70 ± 2 | 111 ± 2 | 8 ± 2 |
| 0.01 | −111 ± 1 | −74 ± 1 | 114 ± 1 | 4.3 ± 0.4 |
| x | Emi/eV | Emn/eV | Emp/eV |
|---|---|---|---|
| 0 | 0.63 ± 0.03 | 0.78 ± 0.04 | 0.17 ± 0.02 |
| 0.01 | 0.69 ± 0.01 | 0.74 ± 0.01 | 0.126 ± 0.002 |
Publisher’s Note: MDPI stays neutral with regard to jurisdictional claims in published maps and institutional affiliations. |
© 2021 by the authors. Licensee MDPI, Basel, Switzerland. This article is an open access article distributed under the terms and conditions of the Creative Commons Attribution (CC BY) license (https://creativecommons.org/licenses/by/4.0/).
Share and Cite
Merkulov, O.V.; Samigullin, R.R.; Markov, A.A.; Patrakeev, M.V. Impact of A-Site Cation Deficiency on Charge Transport in La0.5−xSr0.5FeO3−δ. Materials 2021, 14, 5990. https://doi.org/10.3390/ma14205990
Merkulov OV, Samigullin RR, Markov AA, Patrakeev MV. Impact of A-Site Cation Deficiency on Charge Transport in La0.5−xSr0.5FeO3−δ. Materials. 2021; 14(20):5990. https://doi.org/10.3390/ma14205990
Chicago/Turabian StyleMerkulov, Oleg V., Ruslan R. Samigullin, Alexey A. Markov, and Mikhail V. Patrakeev. 2021. "Impact of A-Site Cation Deficiency on Charge Transport in La0.5−xSr0.5FeO3−δ" Materials 14, no. 20: 5990. https://doi.org/10.3390/ma14205990
APA StyleMerkulov, O. V., Samigullin, R. R., Markov, A. A., & Patrakeev, M. V. (2021). Impact of A-Site Cation Deficiency on Charge Transport in La0.5−xSr0.5FeO3−δ. Materials, 14(20), 5990. https://doi.org/10.3390/ma14205990

