Assessment of the Bending Moment Capacity of Naturally Corroded Box-Section Beams
Abstract
1. Introduction
2. Specimens, Tests, and Models
2.1. Specimens and Material Properties
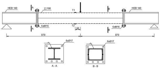
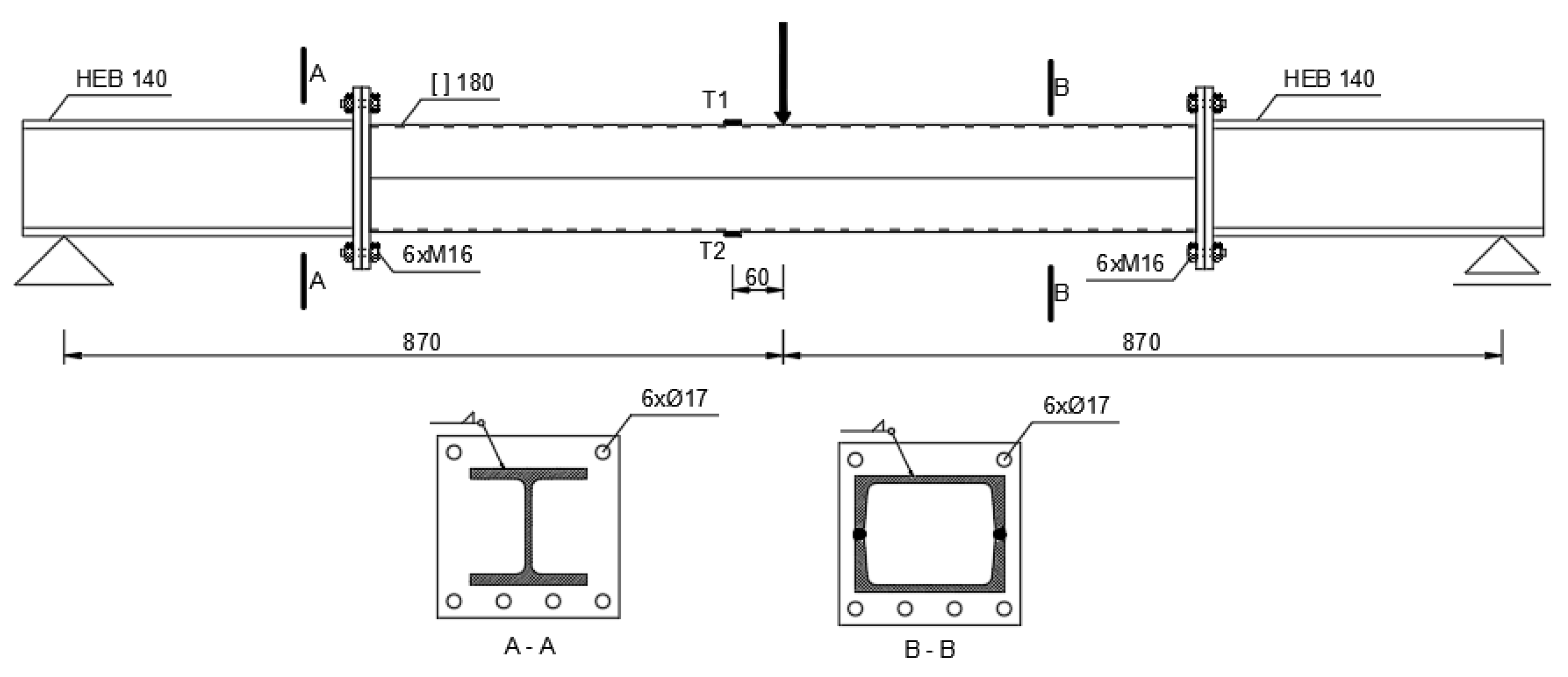
2.2. Bending Test Setup
2.3. FE Model
2.4. Simplified Corroded Beam Geometry and Analytical Model
3. Results and Discussion
3.1. Corrosion Loss Distribution Measurements
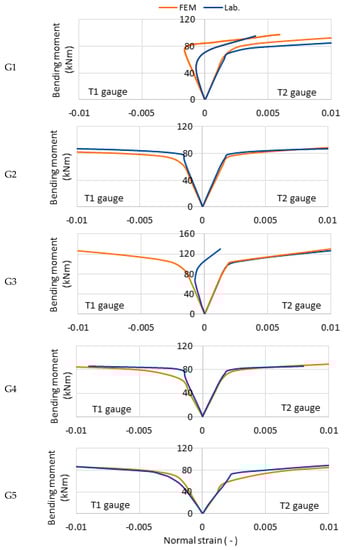
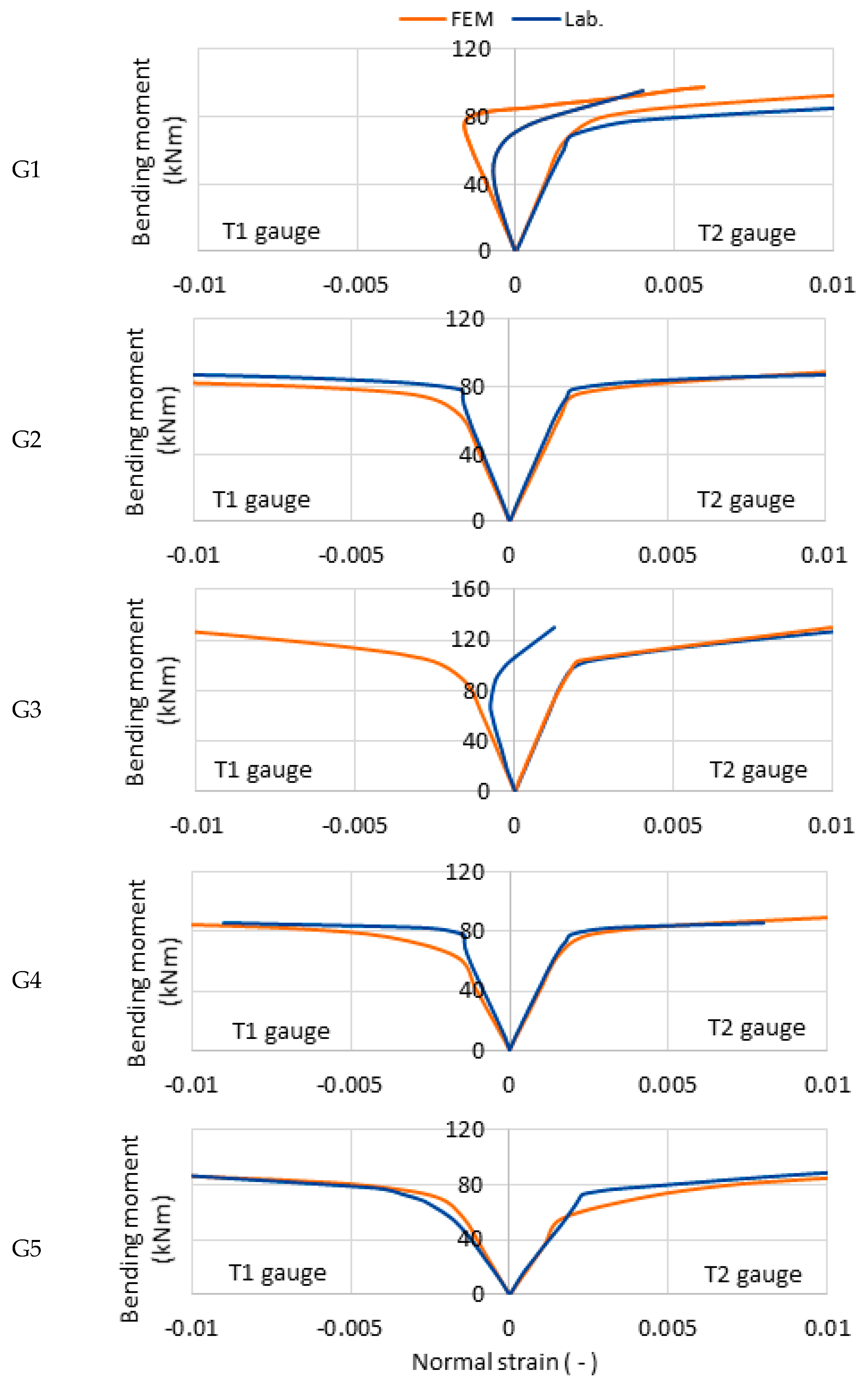
3.2. Laboratory Bending Tests and Their FE Simulations
3.3. The Influence of the Central Segment Length
3.4. Derived FE Models Representing Natural Corrosion Patterns
3.5. Analytical Model
4. Conclusions
- (1)
- Corrosion processes that caused a significant local reduction in the cross-sectional area and perforation did not cause a noticeable reduction in the strength properties of steel material. The tensile tests were carried out on round pieces drawn from the thickest part of the profile. Therefore, they did not have notches or other stress concentrations reducing the yield strength, ultimate strength, and elongation.
- (2)
- The moment resistances obtained on the basis of the analytical formulas are lower than the values obtained by laboratory tests and numerical simulations. This refers not only to the ultimate moment capacity, which could be explained by the lack of consideration of steel hardening, but also to elastic moment capacity.
- (3)
- The comparison of the results obtained from laboratory tests and the respective numerical simulations indicates high agreement in the results. Moreover, the numerical simulations effectively reproduced the respective failure modes and local buckling resistance for compact (G3), non-compact (G1, G2, and G4), and slender (G5) cross sections.
- (4)
- Numerical simulations on derived models allow for drawing conclusions based on 28 element samples reflecting the natural corrosion pattern of each of the G1–G5 beams. The minimum moment capacity is strongly affected by corrosion loss variation for the highly corroded beam with perforations (G5). It is worth mentioning that this conclusion could not be drawn without multiple numerical simulations conducted on derived models reflecting the natural corrosion pattern. This approach can be used to investigate the variability of moment capacities resulting from the natural corrosion pattern, which appeared to be negligible for the G1–G4 beams but significant for the G5 beam.
Author Contributions
Funding
Institutional Review Board Statement
Informed Consent Statement
Data Availability Statement
Conflicts of Interest
References
- Sharifi, Y.; Rahgozar, R. Remaining moment capacity of corroded steel beams. Int. J. Steel Struct. 2010, 10, 165–176. [Google Scholar] [CrossRef]
- Rahgozar, R. Remaining capacity assessment of corrosion damaged beams. J. Constr. Steel Res. 2009, 65, 299–307. [Google Scholar] [CrossRef]
- Rahgozar, R.; Sharifi, Y.; Malekinejad, M. Buckling capacity of uniformly corroded steel members in terms of exposure time. Steel Compos. Struct. 2010, 10, 475–487. [Google Scholar] [CrossRef]
- Sharifi, Y.; Rahgozar, R. Evaluation of the remaining lateral torsional buckling capacity in corroded steel members. J. Zhejiang Univ.-Sci. A Appl. Phys. Eng. 2010, 11, 887–897. [Google Scholar] [CrossRef]
- Wałach, D.; Kaczmarczyk, G.P. Application of TLS remote sensing data in the analysis of the load-carrying capacity of structural steel elements. Remote Sens. 2021, 13, 2759. [Google Scholar] [CrossRef]
- Sheng, J.; Xia, J.; Chang, H. Bending behavior of corroded H-shaped steel beam in underground environment. Appl. Sci. 2021, 11, 938. [Google Scholar] [CrossRef]
- Sheng, J.; Xia, J.; Ma, R. Experimental study on the coupling effect of sulfate corrosion and loading on the mechanical behavior of steel and H-section beam. Constr. Build. Mater. 2018, 189, 711–718. [Google Scholar] [CrossRef]
- Peng, J.; Xiao, L.; Zhang, J.; Cai, C.S.; Wang, L. Flexural behavior of corroded HPS beams. Eng. Struct. 2019, 195, 274–287. [Google Scholar] [CrossRef]
- Zhang, Z.; Xu, S.; Wang, H.; Nie, B.; Su, C. Flexural buckling behavior of corroded hot-rolled H-section steel beams. Eng. Struct. 2021, 229, 111614. [Google Scholar] [CrossRef]
- Nie, B.; Xu, S.; Zhang, Z.; Gu, R. Experimental investigation on corroded cold-formed steel beam-columns under compression and major axis bending. J. Constr. Steel Res. 2020, 169, 106026. [Google Scholar] [CrossRef]
- Wang, Y.; Xu, S.; Li, A. Flexural performance evaluation of corroded steel beams based on 3D corrosion morphology. Struct. Infrastruct. Eng. 2020, 16, 1562–1577. [Google Scholar] [CrossRef]
- Saad-Eldeen, S.; Garbatov, Y.; Guedes Soares, C. Experimental assessment of the ultimate strength of a box girder subjected to severe corrosion. Mar. Struct. 2011, 24, 338–357. [Google Scholar] [CrossRef]
- Saad-Eldeen, S.; Garbatov, Y.; Guedes Soares, C. Analysis of plate deflections during ultimate strength experiments of corroded box girders. Thin-Walled Struct. 2012, 54, 164–176. [Google Scholar] [CrossRef]
- Saad-Eldeen, S.; Garbatov, Y.; Guedes Soares, C. Ultimate strength assessment of corroded box girders. Ocean Eng. 2013, 58, 35–47. [Google Scholar] [CrossRef]
- Saad-Eldeen, S.; Garbatov, Y.; Guedes Soares, C. Effect of corrosion severity on the ultimate strength of a steel box girder. Eng. Struct. 2013, 49, 560–571. [Google Scholar] [CrossRef]
- Chegeni, B.; Jayasuriya, S.; Das, S. Effect of corrosion on thin-walled pipes under combined internal pressure and bending. Thin-Walled Struct. 2019, 143, 106218. [Google Scholar] [CrossRef]
- Elchalakani, M. Rehabilitation of corroded steel CHS under combined bending and bearing using CFRP. J. Constr. Steel Res. 2016, 125, 26–42. [Google Scholar] [CrossRef]
- Fiołek, P.; Jakubowski, J.; Tomczak, K. Code calculations for local stability of shaft guides. Stud. Geotech. Mech. 2017, 39, 11–16. [Google Scholar] [CrossRef][Green Version]
- Fiołek, P.; Jakubowski, J. Local buckling of highly corroded hot-rolled box-section beams. J. Constr. Steel Res. 2019, 157, 359–370. [Google Scholar] [CrossRef]
- Jakubowski, J.; Fiołek, P. Evaluation of stiffness and dynamic properties of a mine shaft steelwork structure through in situ tests and numerical simulations. Energies 2021, 14, 664. [Google Scholar] [CrossRef]
- Simillion, H.; Dolgikh, O.; Terryn, H.; Deconinck, J. Atmospheric corrosion modeling. Corros. Rev. 2014, 32, 73–100. [Google Scholar] [CrossRef]
- Saeedikhani, M.; Blackwood, D.J. Finite element method for thin film corrosion modelling: Where we advanced and where we would like to advance? Corros. Mater. Degrad. 2020, 1, 273–281. [Google Scholar] [CrossRef]
- Remiorz, E.; Mikuła, S. The synergy of fatigue, corrosion and abrasive wear processes in operation of mining round link chains. Arch. Min. Sci. 2021, 1, 29–42. [Google Scholar]
- Craig, B. Some corrosion and metallurgy issues in coal mines. Mater. Perform. 2018, 57, 44–46. [Google Scholar]
- Khan, M.; Krige, G. Evaluation of the structural integrity of aging mine shafts. Eng. Struct. 2002, 24, 901–907. [Google Scholar] [CrossRef]
- PN-86/H-84018 High Strength Low Alloy Steel Grades; PKN: Warszawa, Poland, 1986. (In Polish)
- ISO 630-2:2011 Structural Steels—Part 2: Technical Delivery Conditions for Structural Steels for General Purposes; ISO: Geneva, Switzerland, 2011.
- EN ISO 6892-1:2019 Metallic Materials—Tensile Testing—Part 1: Method of Test at Room Temperature; CEN: Brussels, Belgium, 2019.
- Schweitzer, P.A. Fundamentals of Metallic Corrosion: Atmospheric and Media Corrosion of Metals; CRC Press Taylor&Francis Group: Boca Raton, FL, USA, 2007. [Google Scholar]
- Fontana, M.G. Corrosion Engineering; McGraw-Hill: Singapore, 1987. [Google Scholar]
- Kim, I.-T.; Dao, D.K.; Jeong, Y.-S.; Huh, J.; Ahn, J.-H. Effect of corrosion on the tension behavior of painted structural steel members. J. Constr. Steel Res. 2017, 133, 256–268. [Google Scholar] [CrossRef]
- Nie, B.; Xu, S.; Yu, J.; Zhang, H. Experimental investigation of mechanical properties of corroded cold-formed steels. J. Constr. Steel Res. 2019, 162, 1–12. [Google Scholar] [CrossRef]
- Gwóźdź, M.; Machowski, A.; Żwirek, P. Selected Issues of Reliability Steel Structures; WPK: Kraków, Poland, 2013. (In Polish) [Google Scholar]
- Machowski, A.; Maślak, M.; Pazdanowski, M. Local strength properties of steel bars as random functions. Constr. Build. Mater. 2021, 300, 124021. [Google Scholar] [CrossRef]
- Hotała, E.; Ignatowicz, R.; Lachowicz, M.B. Metallographic testing of 19th century steel in an operating water tower. Materials 2021, 14, 2204. [Google Scholar] [CrossRef] [PubMed]
- Kuchta, K.; Silezin, R.; Żwirek, P. Execution and inspection of steel hollow sections welded joints. JCEE 2018, 35, 69–80. [Google Scholar]
- Dassault Systèmes. Abaqus Analysis User’s Manual; Dassault Systèmes Simulia Corporation: Providence, RI, USA, 2010. [Google Scholar]
- Yun, X.; Gardner, L. Stress-strain curves for hot-rolled steels. J. Constr. Steel Res. 2017, 133, 36–46. [Google Scholar] [CrossRef]
- EN-1993-1-1 Eurocode 3: Design of Steel Structures-Part 1-1: General Rules and Rules for Buildings; CEN: Brussel, Belgium, 2005.
- Słowiński, K.; Piekarczyk, M. Determination of the plastic limit load for a cylindrical shell under general loading conditions using FEA. Proc. Eurosteel 2017, 2017, 980–989. [Google Scholar] [CrossRef]



















| Sample | σy (MPa) | σu (Mpa) |
|---|---|---|
| 1 | 395.2 | 608.1 |
| 2 | 398.3 | 606.2 |
| 3 | 392.3 | 597.3 |
| 4 | 389.5 | 609.9 |
| 5 | 395.0 | 600.9 |
| 6 | 382.5 | 612.1 |
| Beam | twu (mm) | twb (mm) | tf1 (mm) | tf2 (mm) | Wel (cm3) | Wpl (cm3) |
|---|---|---|---|---|---|---|
| G1 | 4.53 | 5.72 | 9.01 | 9.28 | 151.9 | 184.7 |
| G2 | 4.14 | 4.79 | 8.81 | 7.55 | 149.1 | 179.1 |
| G3 | 7.71 | 7.87 | 10.37 | 10.40 | 222.9 | 265.7 |
| G4 | 4.34 | 4.42 | 9.11 | 9.27 | 153.0 | 186.0 |
| G5 | 4.18 | 4.21 | 9.25 | 9.29 | 149.7 | 182.7 |
| Beam | Laboratory Test | FE Simulation | Relative Difference | |||
|---|---|---|---|---|---|---|
| Ultimate Mlab (kNm) | Elastic Mlab,el (kNm) | Ultimate MFE (kNm) | Elastic MFE,el (kNm) | Ultimate Capacity (%) | Elastic Capacity (%) | |
| G1 | 95.7 | 69.6 | 97.4 | 66.9 | 1.8 | −3.9 |
| G2 | 87.9 | 69.3 | 94.6 | 71.3 | 7.6 | 2.9 |
| G3 | 130.5 | 104.4 | 133.9 | 103.2 | 2.6 | −1.1 |
| G4 | 86.3 | 69.6 | 93.4 | 73.5 | 8.2 | 5.6 |
| G5 | 106.1 | 65.3 | 103.8 | 64.9 | −2.2 | −0.5 |
| Original Guide | MFEder | tw | ||||||
|---|---|---|---|---|---|---|---|---|
| Min (kNm) | Max (kNm) | Mean (kNm) | CoV (%) | Min (mm) | Max (mm) | Mean (mm) | CoV (%) | |
| G1 | 92.7 | 99.9 | 97.0 | 1.83 | 2.25 | 8.8 | 5.13 | 20.3 |
| G2 | 92.1 | 97.5 | 94.3 | 1.28 | 1.88 | 8.49 | 4.45 | 18.4 |
| G3 | 133.5 | 134. 8 | 134.0 | 0.23 | 2.05 | 8.87 | 7.78 | 6.9 |
| G4 | 92.2 | 95.0 | 93.5 | 0.76 | 1.62 | 7.54 | 4.41 | 22.9 |
| G5 | 70.3 | 111.4 | 103.5 | 8.11 | 0 | 8.14 | 4.37 | 34.9 |
| Beam | Laboratory Test | FE Simulation | Relative Difference | |||
|---|---|---|---|---|---|---|
| Ultimate Mlab (kNm) | Elastic Mlab,el (kNm) | Ultimate MR (kNm) | Elastic MR,el (kNm) | Ultimate Capacity (%) | Elastic Capacity (%) | |
| G1 | 95.7 | 69.6 | 72.0 | 59.2 | −14.9 | −24.7 |
| G2 | 87.9 | 69.3 | 69.9 | 58.2 | −16.1 | −20.5 |
| G3 | 130.5 | 104.4 | 103.6 | 86.9 | −16.7 | −20.6 |
| G4 | 86.3 | 69.6 | 72.6 | 59.7 | −14.3 | −15.9 |
| G5 | 106.1 | 65.3 | 71.3 | 58.4 | −10.5 | −32.8 |
Publisher’s Note: MDPI stays neutral with regard to jurisdictional claims in published maps and institutional affiliations. |
© 2021 by the authors. Licensee MDPI, Basel, Switzerland. This article is an open access article distributed under the terms and conditions of the Creative Commons Attribution (CC BY) license (https://creativecommons.org/licenses/by/4.0/).
Share and Cite
Fiołek, P.; Jakubowski, J. Assessment of the Bending Moment Capacity of Naturally Corroded Box-Section Beams. Materials 2021, 14, 5766. https://doi.org/10.3390/ma14195766
Fiołek P, Jakubowski J. Assessment of the Bending Moment Capacity of Naturally Corroded Box-Section Beams. Materials. 2021; 14(19):5766. https://doi.org/10.3390/ma14195766
Chicago/Turabian StyleFiołek, Przemysław, and Jacek Jakubowski. 2021. "Assessment of the Bending Moment Capacity of Naturally Corroded Box-Section Beams" Materials 14, no. 19: 5766. https://doi.org/10.3390/ma14195766
APA StyleFiołek, P., & Jakubowski, J. (2021). Assessment of the Bending Moment Capacity of Naturally Corroded Box-Section Beams. Materials, 14(19), 5766. https://doi.org/10.3390/ma14195766

