Sign in to use this feature.

Years

Between: -

Subjects

remove_circle_outline
remove_circle_outline
remove_circle_outline
remove_circle_outline
remove_circle_outline
remove_circle_outline
remove_circle_outline
remove_circle_outline
remove_circle_outline

Journals

Article Types

Countries / Regions

remove_circle_outline
remove_circle_outline
remove_circle_outline
remove_circle_outline

Search Results (320)

Search Parameters:
Keywords = hollow sections

Order results
Result details
Results per page
Select all
Export citation of selected articles as:
16 pages, 5391 KB  
Article
QTL mfh2.1 Integrates Phytohormone Dynamics to Mediate Carpel Separation and Cavity Formation in Cucumber Fruit (Cucumis sativus)
by Sang Shang, Linting Qiu, Xiaobin Zhang, Chenwei Fan, Feifan Chen, Libo Tian and Yuhui Wang
Horticulturae 2026, 12(1), 124; https://doi.org/10.3390/horticulturae12010124 - 22 Jan 2026
Abstract
Hollowness of the cucumber fruit, caused by carpel separation during growth, severely impacts fruit quality. Several Sikkim cucumber accessions originating from the India–Pakistan region exhibit pronounced internal cavities. We previously identified the QTL mfh2.1 as a key contributor to this phenotype. In this [...] Read more.
Hollowness of the cucumber fruit, caused by carpel separation during growth, severely impacts fruit quality. Several Sikkim cucumber accessions originating from the India–Pakistan region exhibit pronounced internal cavities. We previously identified the QTL mfh2.1 as a key contributor to this phenotype. In this study, we investigated the genetic and physiological basis of fruit hollowness in the Sikkim cucumber line WI7120 through an integrative analysis combining histological staining, HPLC for hormonal profiling, and fine mapping using a large F2 segregation population. Comparative analysis between the hollow-fruited WI7120 and the non-hollow line 9930 revealed distinct growth dynamics: WI7120 displayed accelerated radial expansion and aberrant cell patterning at carpel junctions. Histological examination using paraffin sectioning uncovered disorganized endocarp cell arrangements in WI7120 occurring as early as pre-anthesis (0 days post-pollination), with enlarged suture cells that likely facilitate tissue separation during fruit enlargement. Hormonal assays indicated elevated levels of gibberellin (GA) and zeatin (ZT), along with reduced indole-butyric acid (IBA) in WI7120, suggesting that a hormonal imbalance and mechanical stress contribute to compromised cell adhesion. By screening ~2000 F2 individuals with SSR and InDel markers, we refined the mfh2.1 locus to a 50.92 kb interval on chromosome 2, pinpointing CsRPT4Bb—encoding a 26S proteasome subunit—as the candidate gene. A non-synonymous SNP (I135V) in CsRPT4Bb was associated with tissue-specific expression patterns during cavity formation, implicating proteasome-mediated cellular remodeling in carpel cohesion. Spatial-temporal expression analysis further revealed upregulation of CsRPT4Bb in the WI7120 exocarp during fruit expansion, potentially influencing cell wall dynamics. This study demonstrates a coordinated interplay among genetic, hormonal, and mechanical factors underlying cucumber fruit hollowness, offering new avenues for breeding cultivars with improved fruit integrity and postharvest quality. Full article
(This article belongs to the Section Genetics, Genomics, Breeding, and Biotechnology (G2B2))
Show Figures

Figure 1

20 pages, 4242 KB  
Article
Internal Force Distribution Characteristics of Top-Chord-Free Vierendeel-Truss Composite Slab
by Jianshe Xu, Shuang Zheng, Wenzhe Song, Haiyan Zhao, Pei Li and Wei Wang
Buildings 2026, 16(1), 200; https://doi.org/10.3390/buildings16010200 - 2 Jan 2026
Viewed by 205
Abstract
In modern construction, there is a growing demand for floor systems that offer high spatial efficiency and easy integration of mechanical, electrical, and plumbing (MEP) services. The top-chord-free Vierendeel-truss composite slab (TVCS), which omits the steel top chord and diagonal webs, presents a [...] Read more.
In modern construction, there is a growing demand for floor systems that offer high spatial efficiency and easy integration of mechanical, electrical, and plumbing (MEP) services. The top-chord-free Vierendeel-truss composite slab (TVCS), which omits the steel top chord and diagonal webs, presents a promising solution by maximizing usable vertical space and accommodating large ducts. Due to the elimination of the steel top chord and diagonal web members, the TVCS differs significantly in structural composition from conventional steel truss–concrete composite floor systems. At present, there is a lack of in-depth research on the mechanical behavior and deformation characteristics of this type of floor system. This study aims to fill this gap by systematically investigating the internal force distribution characteristics of TVCS and establishing a simplified analytical approach for practical engineering. This paper first employs the finite element method to conduct a comprehensive analysis of the bending moments, shear forces, and axial forces in each component of this composite floor system. The results indicate that the internal force distribution in TVCS exhibits substantial differences compared to that in conventional truss-composite floor systems: certain chord members exhibit inflection points; abrupt changes in internal forces occur between adjacent chord segments; and significant differences exist between the internal forces in members near the supports and those near mid-span. For instance, a distinct difference is that chord segments adjacent to the supports contain inflection points, while those near mid-span do not. Subsequently, simplified formulas for calculating the internal forces in the TVCS are proposed and validated against experimental and numerical analysis results. The main technical contribution of this work is providing a practical and efficient calculation tool that simplifies the design process for TVCS, facilitating its safer and wider application. Full article
(This article belongs to the Special Issue Advances in Steel and Composite Structures)
Show Figures

Figure 1

17 pages, 5101 KB  
Article
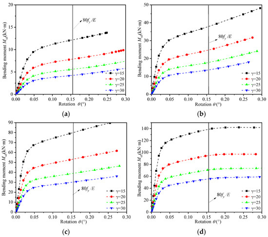
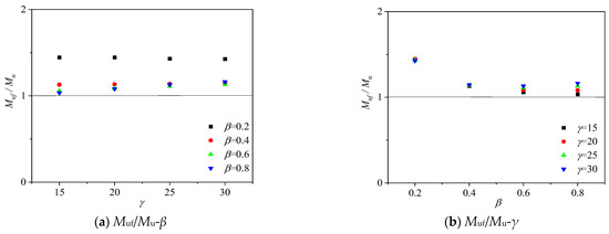
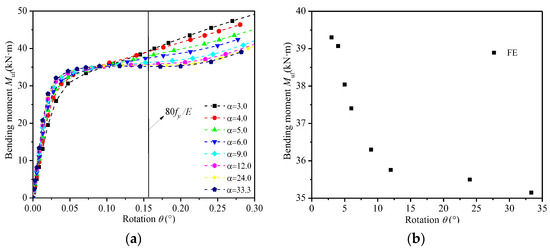
Bending Behaviour of CHS X-Joints with Curved Chords
by Chen Zhou, Jinshan Sun, Zhen Zhao, Liqiang Jiang, Xiangzhen Li, Lanzhe Rao and Lifeng Zou
Buildings 2026, 16(1), 163; https://doi.org/10.3390/buildings16010163 - 29 Dec 2025
Viewed by 193
Abstract
This paper explores the static and cyclic behaviours exhibited by X-joints fabricated from circular hollow sections (CHS) incorporating curved chords under bending loading. First, a finite element (FE) model of CHS X-joints was established, and the accuracy was validated by the test results. [...] Read more.
This paper explores the static and cyclic behaviours exhibited by X-joints fabricated from circular hollow sections (CHS) incorporating curved chords under bending loading. First, a finite element (FE) model of CHS X-joints was established, and the accuracy was validated by the test results. Then, the influence of the geometric parameters on the ultimate capacity of these joints was deeply conducted through variable parameter expansion analysis, including the chord curvature (R)-to-diameter (D) ratio α, brace diameter (d)-to-chord diameter (D) ratio β, and chord diameter (D)-to-double thickness (2T) ratio γ. In addition, the formulae for the in-plane bending bearing capacity of CHS X-joints with curved chords were examined based on the FE results and typical design guides. Finally, the hysteresis performance of the joints was investigated to modify such formulae. The results show that (1) the bending bearing capacity decreases with increasing α when 3 ≤ α ≤ 12 and changes slightly when α > 12. The bending bearing capacity increases with increasing β and decreases with increasing γ. (2) The bending bearing capacity design formula is modified by FEM results on the basis of the formula derived from Eurocode 3. The API-WSD and LRFD design codes do not consider the effect of γ, and the AIJ seems to be overly conservative. (3) In light of the hysteresis analysis, the smaller the magnitude of γ and the larger that of β, the more favourable the bending load-bearing capacity, ductility coefficient and plastic deformation capability of the joints are found to be. The bending bearing capacity under cyclic loading was close to the value under static loading when α ≥ 9, whereas a reduction coefficient of 0.9 was considered when α < 9. Comparison analyses indicated that the adjusted design formula was suitable for engineering design. Full article
(This article belongs to the Special Issue Large-Span, Tall and Special Steel and Composite Structures)
Show Figures

Figure 1

22 pages, 4457 KB  
Article
Structural Response and In-Service Deflection of Hollow Beams Constructed with Recycled TetraPak (Thermo-Stiffened Polymeric Aluminum Composite)
by Federico Nuñez-Moreno, Sebastián Aristizábal-Vargas, Heriberto Parada-Sanchez, Yezid A. Alvarado and Camilo Gutiérrez-Quintero
Sustainability 2025, 17(24), 11084; https://doi.org/10.3390/su172411084 - 11 Dec 2025
Viewed by 329
Abstract
This study evaluates the use of recycled materials in producing hollow section structural beams (HSSBs) from agglomerated sheets of thermo-stiffened polymeric aluminum (TSPA) derived from post-consumer Tetra Pak® containers. A novel geometric configuration for the TSPA beam assembly is proposed to reduce [...] Read more.
This study evaluates the use of recycled materials in producing hollow section structural beams (HSSBs) from agglomerated sheets of thermo-stiffened polymeric aluminum (TSPA) derived from post-consumer Tetra Pak® containers. A novel geometric configuration for the TSPA beam assembly is proposed to reduce the deflections observed in the original Casa Eco Sísmica (CES) project. A combined numerical and statistical approach, incorporating Monte Carlo simulations and finite element method (FEM) models, was employed to assess different assembly alternatives and identify the configuration with the lowest deflection, while maintaining values below the L/78 limit. Experimental tests, were performed to compare the proposed configuration with the existing CES beams. Results show that the new configuration reduces deflections by 61% and increases vertical load capacity by 287% compared to the original beams. These findings highlight the critical influence of assembly methods on the structural performance of TSPA beams. The original configuration exhibited deficiencies in deflection and load-bearing capacity due to its construction method, whereas the new assembly efficiently exploits the mechanical properties of the TSPA material. Full article
Show Figures

Figure 1

17 pages, 2614 KB  
Article
Evaluation of Bending Deformations in Slender Cylindrical Structures Using Distributed Optical Fibre Strain Sensing
by Madhubhashitha Herath, Oleg V. Ivanov, Kaushal Bhavsar and James M. Gilbert
Sensors 2025, 25(23), 7366; https://doi.org/10.3390/s25237366 - 3 Dec 2025
Viewed by 407
Abstract
Structures with slender cylindrical geometries, such as subsea power cables are critical components of infrastructure systems. These structures are prone to bending deformation under load, which can ultimately cause structural failure. In this study, distributed optical fibre sensors are used to monitor the [...] Read more.
Structures with slender cylindrical geometries, such as subsea power cables are critical components of infrastructure systems. These structures are prone to bending deformation under load, which can ultimately cause structural failure. In this study, distributed optical fibre sensors are used to monitor the bending deformation in slender cylindrical structures. Brillouin optical time-domain reflectometry-based strain sensing was used to experimentally study three-point bending and approximately constant curvature bending of a 6 m long circular hollow section (CHS). Optical fibres were attached to the outer surface of the CHS in two different configurations: parallel to the longitudinal axis and helically wound around the CHS. Strain responses due to changing magnitudes of deformation and changing orientation of the optical fibre around the circumference of the CHS were studied. A finite element model was employed to simulate and interpret the observed strain responses. A strain response inverse analysis was conducted using the strain data obtained from the experimental study to reconstruct the deformed shapes of the CHS. Both the longitudinally aligned and helically wound fibres showed distinct strain profiles that differentiate the three-point bending and constant curvature bending behaviours. The results revealed the ability of optical fibre sensing to evaluate the type; magnitude; and orientation of the bending deformations. This fundamental understanding supports the design of sensing systems for critical cylindrical infrastructure. Full article
Show Figures

Figure 1

16 pages, 2162 KB  
Article
Parametric FEM-Based Analysis on Adaptive Vein Morphology of Dragonfly Wings Toward Material Efficiency
by Guanqi Zhu, Fred Fialho Teixeira and Paul Loh
Biomimetics 2025, 10(12), 799; https://doi.org/10.3390/biomimetics10120799 - 27 Nov 2025
Cited by 1 | Viewed by 660
Abstract
This study explores how the morphological adaptations of dragonfly wing veins contribute to structural efficiency and material economy to inspire lightweight architectural design strategies. Through digital modelling and finite element analysis (FEA), six parametric models of wing structures were developed with variations in [...] Read more.
This study explores how the morphological adaptations of dragonfly wing veins contribute to structural efficiency and material economy to inspire lightweight architectural design strategies. Through digital modelling and finite element analysis (FEA), six parametric models of wing structures were developed with variations in their vein diameter, cross-sectional profile, and thickness. Implemented through parametric software, these models were analyzed under simulated loading conditions to assess their structural performance. The results demonstrate that hollow, tapering, and adaptively shaped veins can reduce material weight by up to 80% while maintaining structural integrity. The highest material efficiency was observed in models incorporating both diameter and thickness variation, validating the role of adaptive morphology in response to local stress. These findings provide a quantifiable foundation for translating the biomimetic principles of dragonfly wings into a structural optimization algorithm and open pathways for their application in lightweight cantilevered structural design. Full article
(This article belongs to the Special Issue Functional Morphology and Biomimetics: Learning from Insects)
Show Figures

Figure 1

20 pages, 4803 KB  
Article
Application of a PIP Slip Joint Consisting of Square Hollow Sections: A Numerical Approach
by Md Ariful Islam, Hongbae Park and Daeyong Lee
J. Mar. Sci. Eng. 2025, 13(11), 2107; https://doi.org/10.3390/jmse13112107 - 5 Nov 2025
Viewed by 401
Abstract
This study presents a numerical investigation into the structural behavior of a pile-in-pile (PIP) slip joint utilizing square hollow section (SHS) members, with a comparative assessment against conventional circular hollow sections (CHSs). A comprehensive finite element model was developed and validated against published [...] Read more.
This study presents a numerical investigation into the structural behavior of a pile-in-pile (PIP) slip joint utilizing square hollow section (SHS) members, with a comparative assessment against conventional circular hollow sections (CHSs). A comprehensive finite element model was developed and validated against published CHS experimental results to evaluate key performance indicators, including stress distribution, buckling behavior, and load-carrying capacity under pure bending, axial compression, and diagonal lateral loads. The analysis revealed that SHS joints demonstrated distinct stress concentration patterns and higher capacity under axial compression, whereas CHS joints provided superior performance under bending due to their geometric symmetry. However, SHS corners were more vulnerable under diagonal loading, exhibiting localized buckling at relatively lower loads. These structural weaknesses can be mitigated through design improvements, such as increased wall thickness or corner strengthening. The findings highlight that while SHSs introduce certain vulnerabilities compared to CHSs, they also offer advantages in axial load resistance, supporting their potential as a viable alternative for offshore wind foundation connections. Full article
(This article belongs to the Section Ocean Engineering)
Show Figures

Figure 1

12 pages, 3041 KB  
Article
Characteristics of Stray Current Distribution in the Power Supply System of Subway Tunnels with a Hollow Circular Section Structure
by Junyang Ma, Zihao Wang, Gen Qian, Weihe Lin and Yadong Fan
Energies 2025, 18(21), 5626; https://doi.org/10.3390/en18215626 - 26 Oct 2025
Viewed by 374
Abstract
The DC traction power system adopts the track as the return rail. When the track-to-earth insulation in the subway tunnel deteriorates, stray currents will cause electrochemical corrosion to tunnel steel structures and seriously affect the service life and safety of metro tunnels. Stray [...] Read more.
The DC traction power system adopts the track as the return rail. When the track-to-earth insulation in the subway tunnel deteriorates, stray currents will cause electrochemical corrosion to tunnel steel structures and seriously affect the service life and safety of metro tunnels. Stray currents cannot be directly measured and can only be calculated. Therefore, a calculation model with a hollow circular cross-section structure was proposed, and the stray current distribution in tunnel steel structures was calculated. In addition, the effects of different rail-to-ground transition resistances and adjacent buried metallic pipelines on the stray current distribution of the tunnel steel structures were taken into account. The results show that the total amount of stray current dispersed into the tunnel steel structures and soil is similar. The stray current density distribution in each steel tunnel is related to its location. The total stray current carried by the steel structures of the bottom tunnel segment is 102, 15.7 and 3.1 times higher than that of the top, upper and lower side tunnel segments, respectively. The reduction in the transition resistance and increase in the distance of the train from the traction substation increase the total rail leakage current and have a small effect on the percentage distribution of stray current in tunnel structures. The buried metal pipeline parallel to the tunnel has a lower impact on the total stray current leakage, but can reduce the total stray current in steel structures and drainage net, enlarging the positive stray current scope of some tunnel steel bars, further increasing the stray current density on tunnel steel bars. The results of this study can be used to determine the degree of corrosion of the underground steel tunnels and thereby provide support for corrosion prevention. Full article
(This article belongs to the Section F: Electrical Engineering)
Show Figures

Figure 1

19 pages, 5496 KB  
Article
Discrete Meta-Modeling and Parameter Calibration of Harvested Alfalfa Stalks
by Jianji Wang, Baolong Geng, Zhikai Yang, Jinlong Yang, Keping Zhang and Yangrong Meng
Agronomy 2025, 15(10), 2390; https://doi.org/10.3390/agronomy15102390 - 15 Oct 2025
Cited by 2 | Viewed by 515
Abstract
Addressing the problem of lacking accurate and reliable contact parameters and bonding parameters in the simulation of the mashing process during the harvesting of alfalfa, this study takes the stems of alfalfa at the harvesting stage as the research object. The geometric dimensions [...] Read more.
Addressing the problem of lacking accurate and reliable contact parameters and bonding parameters in the simulation of the mashing process during the harvesting of alfalfa, this study takes the stems of alfalfa at the harvesting stage as the research object. The geometric dimensions and related intrinsic parameters of the stems were measured. Using the Enhanced Discrete Element Method (EDEM) software, a multi-scale discrete element flexible bonding model of alfalfa stems was established based on region-specific parameters. The entire alfalfa stem was divided into three parts: the top, middle, and root sections. A multi-scale particle aggregation model of hollow stems was created using the Hertz-Mindlin with bonding model. The contact parameters between alfalfa stems at the harvesting stage and PU rubber were determined using a mathematical model based on quadratic polynomial fitting curves. The results showed that the shear modulus of the top, middle, and root sections of the alfalfa stems were 24.96 MPa, 29.60 MPa, and 10.48 MPa, respectively. The coefficients of restitution between the top, middle, and root sections of the alfalfa stems and PU rubber were 0.426, 0.375, and 0.386, respectively; the static friction coefficients were 0.613, 0.667, and 0.422, respectively; and the rolling friction coefficients were 0.213, 0.226, and 0.292, respectively. The relative error between the simulated and measured values of the angle of repose was less than 3%, effectively representing the mechanical characteristics of alfalfa stems at the harvesting stage bending and breaking under impact. This study aims to establish a discrete element flexible model of alfalfa stems at the harvesting stage and accurately calibrate the contact parameters with typical rubber materials, thereby addressing the lack of reliable bonding and contact parameters in existing simulations of the mashing process. Full article
(This article belongs to the Section Precision and Digital Agriculture)
Show Figures

Figure 1

18 pages, 4661 KB  
Article
GMNIA-Based Evaluation of Cable-Prestressed H-Shaped Steel Columns
by Noureddine Ziane and Giuseppe Ruta
Appl. Sci. 2025, 15(19), 10826; https://doi.org/10.3390/app151910826 - 9 Oct 2025
Viewed by 582
Abstract
 The strengthening technique by external cable prestressing, until now limited to columns with circular hollow sections (CHSs), is here extended to H-shaped steel columns. To provide an innovative general treatment, an initial imperfection, obtained from the analytical equivalence between Eurocode 3 and [...] Read more.
 The strengthening technique by external cable prestressing, until now limited to columns with circular hollow sections (CHSs), is here extended to H-shaped steel columns. To provide an innovative general treatment, an initial imperfection, obtained from the analytical equivalence between Eurocode 3 and Ayrton–Perry formulations, is introduced. By this, a geometrically and materially nonlinear imperfection analysis (GMNIA) is performed by the finite element commercial code Abaqus. A parametric analysis identifies the deviator length, cable tension, and slenderness ratio as key parameters. Results confirm that, on the one hand, cable prestressing yields a critical load that is approximately twice that for non-prestressed elements (680 kN against 340 kN for a beam 8 m long); this effect grows with the column length. On the other hand, a simulation on a two-story frame supported by 12 columns, each 4 m long, spaced by 4 and 6 m in the two directions, under vertical ‘dead’ load shows that prestressed HEA200 columns perform as non-prestressed larger HEA220 profiles; thus, their use in this case leads to saving approximately 1.18 tons of steel; both these results are of practical interest in design of steel structures. Full article
(This article belongs to the Section Civil Engineering)
Show Figures

Figure 1

14 pages, 1879 KB  
Article
Droplet Deposition and Transfer in Coffee Cultivation Under Different Spray Rates and Nozzle Types
by Layanara Oliveira Faria, Cleyton Batista de Alvarenga, Gustavo Moreira Ribeiro, Renan Zampiroli, Fábio Janoni Carvalho, Daniel Passarelli Lupoli Barbosa, Luana de Lima Lopes, João Paulo Arantes Rodrigues da Cunha and Paula Cristina Natalino Rinaldi
AgriEngineering 2025, 7(10), 337; https://doi.org/10.3390/agriengineering7100337 - 8 Oct 2025
Viewed by 886
Abstract
Optimising spraying operations in coffee cultivation can enhance both application efficiency and effectiveness. However, no studies have specifically assessed droplet deposition on leaves adjacent to the spray application band—fraction of droplet deposition referred to as ‘transfer’ in this study. Therefore, this study aimed [...] Read more.
Optimising spraying operations in coffee cultivation can enhance both application efficiency and effectiveness. However, no studies have specifically assessed droplet deposition on leaves adjacent to the spray application band—fraction of droplet deposition referred to as ‘transfer’ in this study. Therefore, this study aimed to quantify droplet deposition and transfer resulting from different application rates and nozzle types in coffee trees. The experiment was conducted in a factorial design including three application rates (200, 400, and 600 L ha−1) and two nozzle types (hollow cone and flat fan), with four replicates. Deposition was quantified at multiple positions: two application sides (left and right), three sections of the plant (upper, middle, and lower), and two branch positions (inner and outer). Thus, all measurements across sides, plant sections, and branch positions were nested, resulting in correlated data that were analysed using linear mixed-effects models (lme4 package), with parameters estimated using the restricted maximum likelihood method. The flat fan nozzle achieved the highest reference deposition, particularly on outer canopy thirds, while spray transfer (~29% of total deposition) was mainly driven by operational factors. Hollow cone nozzles at 200 L ha−1 minimized transfer while maintaining adequate deposition. Optimizing applications requires maximizing reference deposition and minimizing transfer, which can be achieved through operational adjustments, airflow management, and complementary strategies such as adjuvants, electrostatic spraying, or tunnel sprayers. Full article
(This article belongs to the Section Agricultural Mechanization and Machinery)
Show Figures

Figure 1

26 pages, 10082 KB  
Article
Numerical Investigation of Modified Punching Shear Behavior in Precast Prestressed Hollow Core Slabs Under Concentrated Loads
by Shadi Firouzranjbar and Arturo Schultz
Buildings 2025, 15(19), 3482; https://doi.org/10.3390/buildings15193482 - 26 Sep 2025
Viewed by 780
Abstract
Precast prestressed hollow-core slabs (HCSs), primarily designed for uniformly distributed loads, frequently encounter concentrated loads, causing complex stress states. Load distribution occurs through longitudinal joints; however, the hollow cross-section and absence of transverse reinforcement increase susceptibility to shear, including punching. Existing guidelines offer [...] Read more.
Precast prestressed hollow-core slabs (HCSs), primarily designed for uniformly distributed loads, frequently encounter concentrated loads, causing complex stress states. Load distribution occurs through longitudinal joints; however, the hollow cross-section and absence of transverse reinforcement increase susceptibility to shear, including punching. Existing guidelines offer limited guidance, often conflicting with experimental results. While limited previous studies have examined concentrated load effects on various HCS types, research on the Spancrete system—distinguished by unique core geometries—is lacking. This study presents a detailed numerical investigation of modified punching shear behavior in Spancrete HCS floors using a 3D finite element (FE) model developed in ABAQUS. The model, comprising three interconnected HCS units, was validated against experimental data from single-unit and full-scale floor tests exhibiting modified punching shear failure. Results show that modified punching shear in HCSs is driven initially by localized stress distribution in the top flange along one direction and secondarily by compression stresses in the loaded region, unlike the symmetric failure in solid slabs. While variations in loading area affected post-peak response, shifting the load closer to the longitudinal joints led to earlier joint debonding, reducing ultimate capacity. These insights challenge the adequacy of current design guidance and emphasize the necessity of refined HCS provisions. Full article
Show Figures

Figure 1

22 pages, 3747 KB  
Article
Recycled Polystyrene as a Sustainable Material for Hollow Fiber Membranes in Dye Filtration
by Mauricio Huhn-Ibarra, Libia Madai Itza-Uitzil, Marcial Yam-Cervantes, Abigail González-Díaz, Fernando José Zapata-Catzin, Javier Ivan Cauich-Cupul, Manuel Aguilar-Vega and Maria Ortencia González-Díaz
Membranes 2025, 15(10), 285; https://doi.org/10.3390/membranes15100285 - 23 Sep 2025
Viewed by 1374
Abstract
Expanded polystyrene (EPS) waste was chemically modified by sulfonation to obtain sulfonated EPS (sEPS), which was subsequently blended with virgin polyphenylsulfone (PPSU) at concentrations ranging from 10 to 50% to elaborate hollow fiber membranes for dye removal. The membranes were elaborated by non-solvent-induced [...] Read more.
Expanded polystyrene (EPS) waste was chemically modified by sulfonation to obtain sulfonated EPS (sEPS), which was subsequently blended with virgin polyphenylsulfone (PPSU) at concentrations ranging from 10 to 50% to elaborate hollow fiber membranes for dye removal. The membranes were elaborated by non-solvent-induced phase separation and characterized by scanning electron microscopy, mechanical properties, antifouling, water flux measurements, and dye rejection performance. Scanning electron microscopy images of PPSU/sEPS blends showed well-defined membrane cross-sections with no polymer segregation up to 30% recycled EPS content, indicating improved compatibility due to EPS sulfonation. The HFMs present mean pore radii ranging from 4.2 ± 0.5 to 11.1 ± 1.0 nm with porosity up to 80%. Water flux improved significantly from 3.1 to 21.2 L m−2 h−1 at 2 bar as sEPS content increased. Dye rejection performance was promising, with Reactive Black 5 rejection ranging from 77% to 99%. The 80/20s PPSU/sEPS membrane showed the highest Reactive Black 5 rejection at 98.3% and revealed a 70.3% rejection in a 24 h dye mixture test. Furthermore, the 70/30s displayed superior anti-fouling properties, achieving a 99.3% flux recovery ratio in a xanthan gum solution at 2 bar. This study demonstrates a novel approach to transform EPS waste into high-performance hollow fiber membrane with competitive antifouling and dye separation properties. Full article
Show Figures

Figure 1

14 pages, 4057 KB  
Article
Sustainable Valorization of Kenaf Fiber Waste in Polymer Composites for Drone Arm Structure: A Finite Element Analysis Approach
by Navaneetha Krishna Chandran, Mohamed Thariq Hameed Sultan, Farah Syazwani Shahar and Andrzej Łukaszewicz
J. Compos. Sci. 2025, 9(9), 505; https://doi.org/10.3390/jcs9090505 - 19 Sep 2025
Viewed by 1015
Abstract
This study investigates the feasibility of kenaf fiber, which is a natural fiber, used as a polymer composite for use in quadcopter arm structures through finite element analysis. The research emphasizes the mechanical performance of various fiber orientations and cross-sectional configurations of the [...] Read more.
This study investigates the feasibility of kenaf fiber, which is a natural fiber, used as a polymer composite for use in quadcopter arm structures through finite element analysis. The research emphasizes the mechanical performance of various fiber orientations and cross-sectional configurations of the quadcopter arm, focusing on optimizing stress resistance, displacement, and strain characteristics. By relating the relationship between deflection and area moment of inertia of the quadcopter arm, a comparative analysis was conducted for circular hollow tubes, hollow rectangular tubes, and solid rectangular tubes, with the circular hollow tube configuration demonstrating the highest stiffness and minimal deflection. The result from the theoretical calculation and the simulation result of deflection are compared. The study also evaluates the influence of kenaf fiber orientations on the mechanical properties of the composite. Among the seven tested orientations, the sequence 0°, 30°, 45°, 30°, 0° yielded the highest maximum stress (0.3427 MPa), indicating optimal load distribution. Conversely, the 0°, 45°, 0°, 45°, 0° orientation provided the least displacement, making it ideal for high rigidity applications. These findings confirm the potential of kenaf fiber-reinforced polymer as an eco-friendly, lightweight alternative to synthetic fibers for UAV applications, offering a balance of strength, flexibility, and structural stability, and promoting sustainable value in the field of aerospace, as it proves the utilization of waste product into a high-value product. Full article
(This article belongs to the Special Issue Sustainable Polymer Composites: Waste Reutilization and Valorization)
Show Figures

Figure 1

21 pages, 13796 KB  
Review
Linitis Plastica-like Metastases to the Gastrointestinal Tract on Cross-Sectional Imaging
by Ana Veron Sanchez, Elena Canales Lachen, Maria Gomez Galdon, Luigi Moretti, Calliope Maris, Ana Maria Bucalau, Charif Khaled and Maria Antonietta Bali
Biomedicines 2025, 13(9), 2197; https://doi.org/10.3390/biomedicines13092197 - 8 Sep 2025
Viewed by 1795
Abstract
This review provides an overview of the cross-sectional imaging features of gastrointestinal (GI) metastases presenting with a linitis plastica (LP) pattern and illustrates these findings through a series of cases from various primary tumors. It also addresses key diagnostic challenges, with particular attention [...] Read more.
This review provides an overview of the cross-sectional imaging features of gastrointestinal (GI) metastases presenting with a linitis plastica (LP) pattern and illustrates these findings through a series of cases from various primary tumors. It also addresses key diagnostic challenges, with particular attention to differential diagnosis. The term linitis plastica (LP) refers to the macroscopic appearance of a hollow organ with diffuse mural tumor infiltration, leading to loss of parietal distensibility. Although rare, primary LP can occur throughout the gastrointestinal (GI) tract. First described in the stomach—the most common site—it is typically associated with undifferentiated adenocarcinoma composed of poorly cohesive cells, often with signet ring morphology. Beyond primary GI tumors, LP-like metastases may also arise from extragastrointestinal primaries, most notably breast carcinoma (particularly the lobular subtype), as well as urinary bladder and prostate carcinomas. LP-like GI metastases typically manifest as circumferential, enhancing wall thickenings with exaggerated zonal anatomy and luminal narrowing. Due to diffuse parietal tumor infiltration—often with mucosal preservation—the submucosa and serosa appear disproportionately thickened and show greater enhancement relative to the muscularis propria (MP). This specific imaging appearance is known as the malignant target sign, which must be distinguished from the benign target sign, where the most prominent low-density layer corresponds to edematous submucosa. Additional key features include homogeneous enhancement with loss of layer differentiation on delayed-phase imaging and a concentric ring pattern on MR. Secondary findings may also be present, such as intestinal obstruction and concomitant peritoneal carcinomatosis (PC). Gastrointestinal metastases with an LP pattern present a significant diagnostic challenge, as they can mimic both primary tumors and benign inflammatory or infectious conditions. Accurate diagnosis is critical because management strategies differ substantially. Since the mucosa is often spared, endoscopy and superficial biopsies may yield false-negative results. Therefore, while immunohistochemistry (IHC) remains essential for confirmation, radiologists play a pivotal role in raising suspicion for LP-like GI metastases and recommending deep, extensive biopsies to obtain adequate representative tissue. Furthermore, in cases of an unknown primary tumor, recognition of the LP pattern can provide important clues to the potential site of origin. Full article
(This article belongs to the Special Issue Cellular and Molecular Mechanisms in Gastrointestinal Tract Disease)
Show Figures

Figure 1

Back to TopTop