Effects of Aging Treatment on Corrosion Behavior of a Tensile Deformed Al-Cu-Mn-Fe-Zr Alloy in 3.5% NaCl Solution
Abstract
:1. Introduction
2. Materials and Experiments
2.1. Materials Preparation
2.2. Electrochemical Corrosion Experiments
2.3. Corrosion Morphology Observation
3. Results and Discussion
3.1. Effect of Aging Parameters on Electrochemical Impedance Spectroscopy
3.2. Establishment of Equivalent Circuit
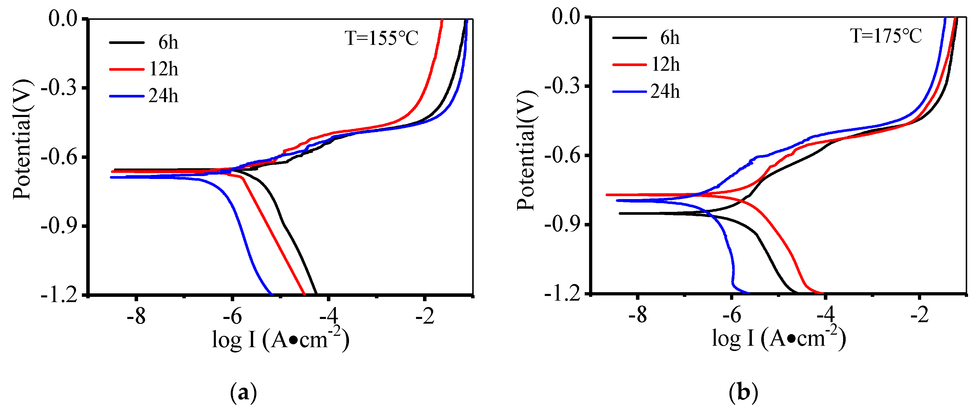
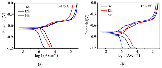
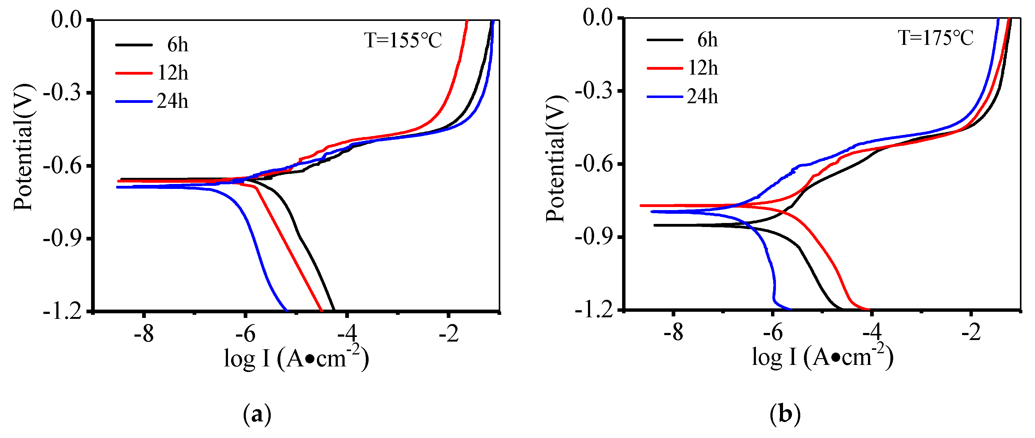
3.3. Effect of Aging Parameters on Polarization Curves
3.4. Corrosion Morphology Analysis
3.5. Corrosion Mechanism Analysis
4. Conclusions
- The impedance magnitude and polarization resistance increase, while the corrosion current decreases with increasing the aging time and temperature. Therefore, the corrosion resistance is improved.
- The discontinuously-distributed precipitates and precipitation-free zone, which can cut the corrosion channels, appear at grain boundaries when the temperature is relatively high, and the aging time is relatively long. The corrosion sensitivity of grain boundaries can then be reduced.
- The intergranular corrosion is likely to occur in under-aged alloys. This is because that the potential difference between the grain boundaries and grains is high due to the segregation of Cu atoms. When the aging degree is increased, the grain boundary precipitates reduce the potential difference, and the intragranular precipitates make the surrounding matrix prone to dissolution. As such, the pitting corrosion is more likely to occur in over-aged alloys.
Author Contributions
Funding
Institutional Review Board Statement
Informed Consent Statement
Data Availability Statement
Conflicts of Interest
References
- Tomczyk, A.; Seweryn, A. Fatigue life of EN AW-2024 alloy accounting for creep pre-deformation at elevated temperature. Int. J. Fatigue 2017, 103, 488–507. [Google Scholar] [CrossRef]
- Lin, Y.-C.; Luo, S.-C.; Yin, L.-X.; Huang, J. Microstructural evolution and high temperature flow behaviors of a homogenized Sr-modified Al-Si-Mg alloy. J. Alloy. Compd. 2018, 739, 590–599. [Google Scholar] [CrossRef]
- Chen, Y.; Liu, C.; Zhou, J.; Wang, F. Effect of alternate corrosion factors on multiaxial low-cycle fatigue life of 2024-T4 aluminum alloy. J. Alloy. Compd. 2019, 772, 1–14. [Google Scholar] [CrossRef]
- Li, Y.; Shi, Z.; Lin, J.; Yang, Y.-L.; Rong, Q. Extended application of a unified creep-ageing constitutive model to multistep heat treatment of aluminium alloys. Mater. Des. 2017, 122, 422–432. [Google Scholar] [CrossRef]
- Lin, Y.-C.; Wu, Q.; He, D.-G.; Zhu, X.-H.; Liu, D.-Y.; Li, X.-H. Effects of solution time and cooling rate on microstructures and mechanical properties of 2219 Al alloy for a larger spun thin-wall ellipsoidal head. J. Mater. Res. Technol. 2020, 9, 3566–3577. [Google Scholar] [CrossRef]
- Murty, S.V.S.N.; Manwatkar, S.K.; Narayanan, P.R. Role of metallographic analysis in the identification of location of crack initiation in a burst tested AA 2219 propellant tank. Metallogr. Microstruct. Anal. 2015, 4, 392–402. [Google Scholar] [CrossRef]
- Li, G.-A.; Ma, Z.; Jiang, J.-T.; Shao, W.-Z.; Liu, W.; Zhen, L. Effect of pre-stretch on the precipitation behavior and the mechanical properties of 2219 Al alloy. Materials 2020, 14, 2101. [Google Scholar] [CrossRef] [PubMed]
- Zhu, X.-H.; Lin, Y.-C.; Wu, Q.; Jiang, Y.-Q. Effects of aging on precipitation behavior and mechanical properties of a tensile deformed Al-Cu alloy. J. Alloy. Compd. 2020, 843, 155975. [Google Scholar] [CrossRef]
- Caltagirone, P.E.; Wheeler, R.W.; Benafan, O.; Bigelow, G.; Karaman, I.; Calkins, F.T.; Kuntz, M.L.; Leal, P.B.C.; Nicholson, D.E.; Ozcan, H.; et al. Shape memory alloy-enabled expandable space habitat—Case studies for second CASMART student design challenge. Shape Mem. Superelast. 2021, 7, 280–303. [Google Scholar] [CrossRef]
- Suita, Y.; Takai, D.; Sugiyama, S.; Terajima, N.; Tsukuda, Y.; Fujisawa, S.; Imagawa, K. Welding experiments of aluminum alloy by space GHTA welding at ISS orbital pressure. Trans. Jpn. Soc. Aeronaut. Space Sci. 2005, 48, 71–77. [Google Scholar] [CrossRef]
- Agafonov, R.; Vilkov, F.; Kasitsyn, A.; Predko, P.; Marchenkov, A. Aluminum based alloys with rare-earth metals additives application for rocket-and-space engineering. Vestn. Mosk. Aviat. Inst. 2016, 23, 174–180. [Google Scholar]
- Lin, Y.-C.; Wang, Z.-W.; He, D.-G.; Zhou, Y.; Chen, M.-S.; Huang, M.-H.; Zhang, J.-L. Effects of pre-treatments on precipitate microstructures and creep-rupture behavior of an Al-Zn-Mg-Cu alloy. J. Mater. Res. 2016, 31, 1286–1295. [Google Scholar] [CrossRef]
- Lin, Y.-C.; Liu, G.; Chen, M.-S.; Zhang, J.-L.; Chen, Z.-G.; Jiang, Y.-Q.; Li, J. Corrosion resistance of a two-stage stress-aged Al-Cu-Mg alloy: Effects of external stress. J. Alloys Compd. 2016, 661, 221–230. [Google Scholar] [CrossRef]
- Chen, M.-C.; Wen, M.-C.; Chiu, Y.-C.; Pan, T.-A.; Tzeng, Y.-C.; Lee, S.-L. Effect of natural aging on the stress corrosion cracking behavior of A201-T7 aluminum alloy. Materials 2020, 13, 5631. [Google Scholar] [CrossRef] [PubMed]
- Xu, J.; Deng, Y.L.; Chen, J. Enhancing the corrosion resistance of Al-Cu-Li alloys through regulating precipitation. Materials 2020, 13, 2628. [Google Scholar] [CrossRef]
- Härtel, M.; Frint, P.; Abstoss, K.G.; Wagner, M.F.-X. Effect of creep and aging on the precipitation kinetics of an Al-Cu alloy after one pass of ECAP. Adv. Eng. Mater. 2018, 20, 1700307. [Google Scholar] [CrossRef]
- Lin, Y.-C.; Zhang, J.-L.; Liu, G.; Liang, Y.-J. Effects of pre-treatments on aging precipitates and corrosion resistance of a creep-aged Al-Zn-Mg-Cu alloy. Mater. Des. 2015, 83, 866–875. [Google Scholar] [CrossRef]
- Lin, Y.-C.; Xia, Y.-C.; Jiang, Y.-Q.; Zhou, H.-M.; Li, L.-T. Precipitation hardening of 2024-T3 aluminum alloy during creep aging. Mater. Sci. Eng. A 2013, 565, 420–429. [Google Scholar] [CrossRef]
- Lin, Y.-C.; Liu, G.; Chen, M.-S.; Li, J.; Zhou, M.; Zhou, H.-M. Effects of two-stage creep-aging processing on mechanical properties of an Al-Cu-Mg alloy. Mater. Des. 2015, 79, 127–135. [Google Scholar] [CrossRef]
- Prabhu, T.R. Correlation of deformation strain with the tensile properties and fracture mode of the AA 2014 alloy using simulations and experiments. J. Test. Eval. 2017, 46, 999–1011. [Google Scholar] [CrossRef]
- Santecchia, E.; Cabibbo, M.; Ghat, M.; Regev, M.; Spigarelli, S. Physical modeling of the creep response of an Al-Cu-Mg alloy with a fine microstructure transformed by friction stir processing. Mater. Sci. Eng. A 2020, 769, 138521. [Google Scholar] [CrossRef]
- Li, G.; Zhou, L.; Luo, L.; Wu, X.; Guo, N. Microstructural evolution and mechanical properties of refill friction stir spot welded alclad 2A12-T4 aluminum alloy. J. Mater. Res. Technol. 2019, 8, 4115–4129. [Google Scholar] [CrossRef]
- Wang, W.G.; Wang, G.; Guo, G.N.; Rong, Y.M. Competitive relationship between thermal effect and grain boundary precipitates on the ductility of an as-quenched Al-Cu-Mn alloy. Int. J. Damage Mech. 2018, 27, 779–798. [Google Scholar] [CrossRef]
- Fernández, R.; Bokuchava, G.; Toda-Caraballo, I.; Bruno, G.; Turchenko, V.; Gorshkova, J.; González-Doncel, G. Analysis of the combined strengthening effect of solute atoms and precipitates on creep of aluminum alloys. Adv. Eng. Mater. 2020, 22, 1901355. [Google Scholar] [CrossRef]
- Lin, Y.-C.; Jiang, Y.-Q.; Xia, Y.-C.; Zhang, X.-C.; Zhou, H.-M.; Deng, J. Effects of creep-aging processing on the corrosion resistance and mechanical properties of a typical Al-Cu-Mg alloy. Mater. Sci. Eng. A 2014, 605, 192–202. [Google Scholar] [CrossRef]
- Li, Y.-D.; Zhang, Y.; Li, S.-M.; Zhao, P.-Z. Influence of adipic acid on anodic film formation and corrosion resistance of 2024 aluminum alloy. Trans. Nonferr. Met. Soc. 2016, 26, 492–500. [Google Scholar] [CrossRef]
- Araujo, J.V.d.; Milagre, M.X.; Ferreira, R.O.; Machado, C.d.C.; Bugarin, A.d.S.; Ma-chado, I.F.; Costa, I. Exfoliation and intergranular corrosion resistance of the 2198 Al-Cu-Li alloy with different thermomechanical treatments. Mater. Corros. 2020, 71, 1957–1970. [Google Scholar] [CrossRef]
- Wang, J.; Zhang, B.; Wu, B.; Ma, X. Size-dependent role of S phase in pitting initiation of 2024Al alloy. Corros. Sci. 2016, 105, 183–189. [Google Scholar] [CrossRef]
- Ma, S.; Zhao, Y.; Zou, J.; Yan, K.; Liu, C. The effect of laser surface melting on microstructure and corrosion behavior of friction stir welded aluminum alloy 2219. Opt. Laser Technol. 2017, 96, 299–306. [Google Scholar] [CrossRef]
- Liu, Z.; Chong, P.H.; Skeldon, P.; Hilton, P.A.; Spencer, J.T.; Quayle, B. Fundamental understanding of the corrosion performance of laser-melted metallic alloys. Surf. Coat. Technol. 2006, 200, 5514–5525. [Google Scholar] [CrossRef]
- Surekha, K.; Murty, B.; Rao, K.P. Effect of processing parameters on the corrosion behaviour of friction stir processed AA 2219 aluminum alloy. Solid State Sci. 2009, 11, 907–917. [Google Scholar] [CrossRef]
- Lu, Y.; Wang, J.; Li, X.; Li, W.; Li, R.; Zhou, D. Effects of pre-deformation on the microstructures and corrosion behavior of 2219 aluminum alloys. Mater. Sci. Eng. A 2018, 723, 204–211. [Google Scholar] [CrossRef]
- Huang, J.L.; Li, J.F.; Liu, D.Y.; Zhang, R.F.; Chen, Y.L.; Zhang, X.H.; Ma, P.C.; Gupta, R.K.; Birbilis, N. Correlation of inter-granular corrosion behaviour with microstructure in Al-Cu-Li alloy. Corros. Sci. 2018, 139, 215–226. [Google Scholar] [CrossRef]
- Grilli, R.; Baker, M.A.; Castle, J.E.; Dunn, B.; Watts, J.F. Localized corrosion of a 2219 aluminium alloy exposed to a 3.5% NaCl solution. Corros. Sci. 2010, 52, 2855–2866. [Google Scholar] [CrossRef] [Green Version]
- Chen, Y.; Zhou, J.; Liu, C.; Wang, F. Effect of pre-deformation on the pre-corrosion multiaxial fatigue behaviors of 2024-T4 aluminum alloy. Int. J. Fatigue 2018, 108, 35–46. [Google Scholar] [CrossRef]
- Hikku, G.; Jeyasubramanian, K.; Venugopal, A.; Ghosh, R. Corrosion resistance behaviour of graphene/polyvinyl alcohol nanocomposite coating for aluminium-2219 alloy. J. Alloy. Compd. 2017, 716, 259–269. [Google Scholar] [CrossRef]
- Kairy, S.K.; Rouxel, B.; Dumbre, J.; Lamb, J.; Langan, T.J.; Dorin, T.; Birbilis, N. Simultaneous improvement in corrosion re-sistance and hardness of a model 2xxx series Al-Cu alloy with the microstructural variation caused by Sc and Zr additions. Corros. Sci. 2019, 158, 108095. [Google Scholar] [CrossRef]
- Zhu, Z.; Deng, C.; Wang, Y.; Yang, Z.; Ding, J.; Wang, D. Effect of post weld heat treatment on the microstructure and corrosion behavior of AA2219 aluminum alloy joints welded by variable polarity tungsten inert gas welding. Mater. Des. 2015, 65, 1075–1082. [Google Scholar] [CrossRef]
- Emarati, S.M.; Mozammel, M. Theoretical, fundamental and experimental study of liquid-repellency and corrosion resistance of fabricated superamphiphobic surface on Al alloy 2024. Chem. Eng. J. 2020, 387, 124046. [Google Scholar] [CrossRef]
- Simsek, I.; Nalcacioglu, C.; Ozyurek, D. The effects of aging temperature on the corrosion and electrical conductivity in the AA7075 alloy produced by powder metallurgy method. Acta Phys. Pol. A 2019, 135, 722–725. [Google Scholar] [CrossRef]
- Shi, T.; Li, X.; Zhang, Q.; Li, B. One-step potentiostatic deposition of micro-particles on Al alloy as superhydrophobic surface for enhanced corrosion resistance by reducing interfacial interactions. Coatings 2018, 8, 392. [Google Scholar] [CrossRef] [Green Version]
- Yang, Q.; Zhou, Y.; Li, Z.; Mao, D. Effect of hot deformation process parameters on microstructure and corrosion behavior of 35CrMoV steel. Materials 2019, 12, 1455. [Google Scholar] [CrossRef] [PubMed] [Green Version]
- Soleimani, M.; Mirzadeh, H.; Dehghanian, C. Processing route effects on the mechanical and corrosion properties of dual phase steel. Met. Mater. Int. 2020, 26, 882–890. [Google Scholar] [CrossRef]
- Sun, Y.; Pan, Q.; Sun, Y.; Wang, W.; Huang, Z.; Wang, X.; Hu, Q. Localized corrosion behavior associated with Al7Cu2Fe intermetallic in Al-Zn-Mg-Cu-Zr alloy. J. Alloy. Compd. 2019, 783, 329–340. [Google Scholar] [CrossRef]
- Lin, Y.-C.; Zhang, J.-L.; Chen, M.-S.; Zhou, Y.; Ma, X. Electrochemical corrosion behaviors of a stress-aged Al-Zn-Mg-Cu alloy. J. Mater. Res. 2016, 31, 2493. [Google Scholar] [CrossRef]
- Xu, L.; Zhang, J.; Han, Y.; Zhao, L.; Jing, H. Insights into the intergranular corrosion of overlay welded joints of X65-Inconel 625 clad pipe and its relationship to damage penetration. Corros. Sci. 2019, 160, 108169. [Google Scholar] [CrossRef]
- Fadaee, H.; Javidi, M.M. Investigation on the corrosion behaviour and microstructure of 2024-T3 Al alloy treated via plasma electrolytic oxidation. J. Alloy. Compd. 2014, 604, 36–42. [Google Scholar] [CrossRef]
- Shaik, M.A.; Syed, K.H.; Golla, B.R. Electrochemical behavior of mechanically alloyed hard Cu-Al alloys in marine environment. Corros. Sci. 2019, 153, 249–257. [Google Scholar] [CrossRef]
- Soleimani, M.; Mirzadeh, H.; Dehghanian, C. Effects of spheroidization heat treatment and intercritical annealing on mechanical properties and corrosion resistance of medium carbon dual phase steel. Mater. Chem. Phys. 2021, 257, 123721. [Google Scholar] [CrossRef]
- Shi, W.; Zhou, H.; Zhang, X. High-strength and anti-corrosion of Al-Cu-Mg alloy by controlled ageing process. Philos. Mag. Lett. 2019, 99, 235–242. [Google Scholar] [CrossRef]
- Lin, Y.-C.; Jiang, Y.-Q.; Zhang, J.-L.; Chen, X.-M. Influence of stress-aging processing on precipitates and mechanical properties of a 7075 aluminum alloy. Adv. Eng. Mater. 2018, 20, 1700583. [Google Scholar] [CrossRef]
- Deng, Y.L.; Yin, Z.M.; Zhao, K.; Duan, J.Q.; Hu, J.; He, Z.B. Effects of Sc and Zr microalloying additions and aging time at 120 C on the corrosion behaviour of an Al-Zn-Mg alloy. Corros. Sci. 2012, 65, 288–298. [Google Scholar] [CrossRef]
- Wen, D.; Long, P.; Li, J.; Huang, L.; Zheng, Z. Effects of linear heat input on microstructure and corrosion behavior of an austenitic stainless steel processed by wire arc additive manufacturing. Vacuum 2020, 173, 109131. [Google Scholar] [CrossRef]
- Lin, Y.-C.; Liu, G.; Chen, M.-S.; Huang, Y.-C.; Chen, Z.-G.; Ma, X.; Jiang, Y.-Q.; Li, J. Corrosion resistance of a two-stage stress-aged Al-Cu-Mg alloy: Effects of stress-aging temperature. J. Alloy. Compd. 2016, 657, 855–865. [Google Scholar] [CrossRef]
- Khan, M.A.; Wang, Y.; Anjum, M.J.; Yasin, G.; Malik, A.; Nazeer, F.; Khan, S.; Ahmad, T.; Zhang, H. Effect of heat treatment on the precipitate behaviour, corrosion resistance and high temperature tensile properties of 7055 aluminum alloy synthesis by novel spray deposited followed by hot extrusion. Vacuum 2020, 174, 109185. [Google Scholar] [CrossRef]
- Zhan, X.; Tang, J.; Li, H.; Liang, X.; Lu, Y.; Che, Y.; Tu, W.; Zhang, Y. Effects of non-isothermal aging on mechanical properties, corrosion behavior and microstructures of Al-Cu-Mg-Si alloy. J. Alloy. Compd. 2020, 819, 152960. [Google Scholar] [CrossRef]
- Azarniya, A.; Taheri, A.K.; Taheri, K.K. Recent advances in ageing of 7xxx series aluminum alloys: A physical metallurgy perspective. J. Alloy. Compd. 2019, 781, 945–983. [Google Scholar] [CrossRef]
- Shao, L.; Li, H.; Jiang, B.; Liu, C.; Gu, X.; Chen, D. A comparative study of corrosion behavior of hard anodized and micro-arc oxidation coatings on 7050 aluminum alloy. Metals 2018, 8, 165. [Google Scholar] [CrossRef] [Green Version]
- Saillard, R.; Viguier, B.; Odemer, G.; Pugliara, A.; Fori, B.; Blanc, C. Influence of the microstructure on the corrosion behaviour of 2024 aluminium alloy coated with a trivalent chromium conversion layer. Corros. Sci. 2018, 142, 119–132. [Google Scholar] [CrossRef] [Green Version]
- Ferri, M.; Trueba, M.; Trasatti, S.; Cabrini, M.; Conte, A.L. Electrochemical investigation of corrosion and repassivation of structural aluminum alloys under permanent load in bending. Corros. Rev. 2017, 35, 225–239. [Google Scholar] [CrossRef]
- Trueba, M.; Trasatti, S. The repassivation response from single cycle anodic polarization: The case study of a sensitized Al-Mg alloy. Electrochim. Acta 2018, 259, 492–499. [Google Scholar] [CrossRef]
- Sun, S.; Fang, Y.; Zhang, L.; Li, C.; Hu, S. Effects of aging treatment and peripheral coarse grain on the exfoliation corrosion behaviour of 2024 aluminium alloy using SR-CT. J. Mater. Res. Technol. 2020, 9, 3219–3229. [Google Scholar] [CrossRef]
- Su, R.; Wang, K.; Yang, Y.; Qu, Y.; Li, R. Effect of Mg content on the microstructure and corrosion properties of Al-Cu-Mn alloy. J. Mater. Eng. Perform. 2020, 29, 1622–1629. [Google Scholar] [CrossRef]
- Kaithwas, C.; Bhuyan, P.; Pradhan, S.; Mandal, S. Microstructure evolution during low-strain thermo-mechanical processing and its repercussion on intergranular corrosion in alloy 600H. Mater. Charact. 2018, 145, 582–593. [Google Scholar] [CrossRef]
- Pradhan, S.; Bhuyan, P.; Mandal, S. Individual and synergistic influences of microstructural features on intergranular corrosion behavior in extra-low carbon type 304L austenitic stainless steel. Corros. Sci. 2018, 139, 319–332. [Google Scholar] [CrossRef]
- Deepak, K.; Mandal, S.; Athreya, C.N.; Kim, D.I.; Boer, B.D.; Sarma, V.S. Implication of grain boundary engineering on high temperature hot corrosion of alloy 617. Corros. Sci. 2016, 106, 293–297. [Google Scholar]
- Wang, Z.; Chen, P.; Li, H.; Fang, B.; Song, R.; Zheng, Z. The intergranular corrosion susceptibility of 2024 Al alloy during re-ageing after solution treating and cold-rolling. Corros. Sci. 2017, 114, 156–168. [Google Scholar] [CrossRef]
- Li, B.; Pan, Q.-L.; Chen, C.-P.; Yin, Z. Effect of aging time on precipitation behavior, mechanical and corrosion properties of a novel Al-Zn-Mg-Sc-Zr alloy. Trans. Nonferr. Met. Soc. 2016, 26, 2263–2275. [Google Scholar] [CrossRef]
- Du, J.; Ding, D.; Zhang, W.; Xu, Z.; Gao, Y.; Chen, G.; You, X.; Chen, R.; Huang, Y.; Tang, J. Effect of Ce addition on the microstructure and properties of Al-Cu-Mn-Mg-Fe lithium battery shell alloy. Mater. Charact. 2018, 142, 252–260. [Google Scholar] [CrossRef]
- Huang, L.; Chen, K.; Li, S. Influence of grain-boundary pre-precipitation and corrosion characteristics of inter-granular phases on corrosion behaviors of an Al-Zn-Mg-Cu alloy. Mater. Sci. Eng. B 2012, 177, 862–868. [Google Scholar] [CrossRef]












| Case ID | Temperature (°C) | Time (h) |
|---|---|---|
| 1 | 155 | 6 |
| 2 | 12 | |
| 3 | 24 | |
| 4 | 175 | 6 |
| 5 | 12 | |
| 6 | 24 |
| Temperature (°C) | Time (h) | RS | Q1 | n1 | R1 | Q2 | n2 | R2 |
|---|---|---|---|---|---|---|---|---|
| 6 | 6.435 | 0.89 | 1 | 0.123 | 48.42 | 0.596 | 3932 | |
| 155 | 12 | 5.92 | 16.43 | 0.874 | 4523 | 10.84 | 1 | 3638 |
| 24 | 5.14 | 15.91 | 0.8 | 34.13 | 276.9 | 0.8 | 9077 | |
| 175 | 6 | 10.4 | 73.59 | 0.761 | 59.6 | 23.3 | 0.933 | 4617 |
| 12 | 7.14 | 9.503 | 0.904 | 4930 | 1397 | 0.994 | 5072 | |
| 24 | 8.633 | 11.62 | 0.909 | 5785 | 203.9 | 0.994 | 12,750 |
| Temperature | Time | Corrosion Potential | Corrosion Current |
|---|---|---|---|
| (°C) | (h) | (V) | |
| 155 | 6 | −0.655 | 2.747 |
| 12 | −0.663 | 1.757 | |
| 24 | −0.688 | 0.394 | |
| 175 | 6 | −0.852 | 1.874 |
| 12 | −0.771 | 1.617 | |
| 24 | −0.796 | 0.183 |
Publisher’s Note: MDPI stays neutral with regard to jurisdictional claims in published maps and institutional affiliations. |
© 2021 by the authors. Licensee MDPI, Basel, Switzerland. This article is an open access article distributed under the terms and conditions of the Creative Commons Attribution (CC BY) license (https://creativecommons.org/licenses/by/4.0/).
Share and Cite
Tian, Q.; Yang, Q.-M.; Lin, Y.-C.; Wang, J.-Q.; Zhu, X.-H. Effects of Aging Treatment on Corrosion Behavior of a Tensile Deformed Al-Cu-Mn-Fe-Zr Alloy in 3.5% NaCl Solution. Materials 2021, 14, 5062. https://doi.org/10.3390/ma14175062
Tian Q, Yang Q-M, Lin Y-C, Wang J-Q, Zhu X-H. Effects of Aging Treatment on Corrosion Behavior of a Tensile Deformed Al-Cu-Mn-Fe-Zr Alloy in 3.5% NaCl Solution. Materials. 2021; 14(17):5062. https://doi.org/10.3390/ma14175062
Chicago/Turabian StyleTian, Qing, Qiu-Mei Yang, Yong-Cheng Lin, Jun-Quan Wang, and Xu-Hao Zhu. 2021. "Effects of Aging Treatment on Corrosion Behavior of a Tensile Deformed Al-Cu-Mn-Fe-Zr Alloy in 3.5% NaCl Solution" Materials 14, no. 17: 5062. https://doi.org/10.3390/ma14175062
APA StyleTian, Q., Yang, Q.-M., Lin, Y.-C., Wang, J.-Q., & Zhu, X.-H. (2021). Effects of Aging Treatment on Corrosion Behavior of a Tensile Deformed Al-Cu-Mn-Fe-Zr Alloy in 3.5% NaCl Solution. Materials, 14(17), 5062. https://doi.org/10.3390/ma14175062

