Drilling Force Characterization during Inconel 718 Drilling: A Comparative Study between Numerical and Analytical Approaches
Abstract
:Highlights
- A mechanistic model and FEA assisted cutting simulation model were developed and compared for the drilling of Inconel 718.
- Convex profile of the drilling force profile at entry versus time was observed in both models.
- Temperature profile was correlated with the higher feed rate as well as higher cutting speeds.
- Discrepancies were seen at higher cutting speeds were associated with thermal softening phenomena.
1. Introduction
2. Analytical Modelling Setup
3. Finite Element Modeling Setup
4. Results and Discussion
5. Conclusions
- The higher feed rate of 0.75 mm/rev provided more cutting temperature than lower feed level of 0.375 mm/rev. This was associated with the higher chip load at higher feed rate. Higher chip load can form higher chip root temperature at the tooltip under the cutting edge.
- Increasing the cutting speed resulted in an increase in the cutting temperature. The increase in temperature was associated with the fact that increasing cutting speed increases friction at the cutting zone.
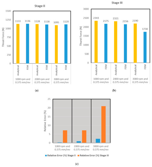
- The cutting forces predicted by the FEA showed discrepancy when compared to those predicted by the analytical mode at the higher speed of 3000 rpm. This was attributed with the fact that the analytical model does not capture the material thermal softening phenomena, unlike the FEA model.
- The power law-based material model for Inconel 718 was developed in this work that captured the influence of strain hardening, strain rate sensitivity and thermal softening behavior. The model parameters can be utilized by other researchers to simulate the machining processes of similar nature.
- It was found that the thrust force at the entry profile of Inconel 718 was observed to follow a convex trend similar to what is found in the literature, even at high cutting velocities. It is because of the variation in the cutting pressure with respect to the cutting lip.
- While the computational power of computers has been advancing drastically, the study presented here revealed the computational time savings one can achieve by using the mechanistic analytical model to capture the force data in an Inconel drilling operation.
- The FEA-assisted numerical model accommodates a pilot hole in the current study making it unique as compared to other studies available in the literature. The presence of the pilot hole enabled us to capture the cutting force signature and cutting action of the chisel edge and cutting lip during the drilling operation. Overall, the analytical and FEA numerical models were found in good agreement with one another in predicting the cutting forces in drilling Inconel 718 material. Comparing the average forces of stage II and stage III of the two approaches revealed a discrepancy of 11% and 7% at most.
Author Contributions
Funding
Institutional Review Board Statement
Informed Consent Statement
Data Availability Statement
Acknowledgments
Conflicts of Interest
Abbreviations
| Chisel edge normal rake angle | |
| Clearance angle | |
| Constant dependent on drill geometry & machining conditions | |
| Integration constant | |
| Chisel edge angle | |
| Feed rate in mm/rev | |
| Feed rate in mm/sec | |
| Inclination angle | |
| (Point angle)/2 | |
| Norma specific cutting pressure | |
| Yield shear stress | |
| Radial distance along cutting lips of the drill | |
| Pilot hole radius | |
| Normalized radial coordinate | |
| Drill radius | |
| Indentation zone radius | |
| time | |
| Uncut chip thickness | |
| Cutting lips force | |
| Indentation zone force | |
| Cutting velocity | |
| (Web thickness)/2 | |
| g () | Strain hardening function |
| θ(T) | Thermal softening function |
| τ () | Rate sensitivity function |
| σo | Initial yield stress is, is referred as |
| Plastic strain | |
| Reference plastic strain | |
| 1/ n | Strain hardening power |
| T | Temperature during the test |
| Tm | Melting temperature |
| Tcut | Cut-off temperature |
| Plastic strain rate | |
| Reference plastic strain rate | |
| m1 | Strain rate sensitivity |
| Fs | Sliding force |
| μ | Coefficient of friction |
| σn | Normal force |
| D | Damage function |
References
- Laporte, S.; K’Nevez, J.-Y.; Cahuc, O.; Darnis, P. Phenomenological model for drilling operation. Int. J. Adv. Manuf. Technol. 2008, 40, 1–11. [Google Scholar] [CrossRef]
- Stephenson, D.; Agapiou, J. Metal. Cutting Theory and Practice, 3rd ed.; CRC Press: Boca Raton, FL, USA, 2016. [Google Scholar]
- Altintas, Y.; Ber, A. Manufacturing Automation: Metal Cutting Mechanics, Machine Tool Vibrations, and CNC Design. Appl. Mech. Rev. 2001, 54, B84. [Google Scholar] [CrossRef]
- Audy, J. A study of computer-assisted analysis of effects of drill geometry and surface coating on forces and power in drilling. J. Mater. Process. Technol. 2008, 204, 130–138. [Google Scholar] [CrossRef]
- Naisson, P.; Rech, J.; Paris, H. Analytical modeling of thrust force and torque in drilling. Proc. Inst. Mech. Eng. Part B J. Eng. Manuf. 2013, 227, 1430–1441. [Google Scholar] [CrossRef]
- Armarego, E.; Wright, J. Predictive Models for Drilling Thrust and Torque—A comparison of three Flank Configurations. CIRP Ann. Manuf. Technol. 1984, 33, 5–10. [Google Scholar] [CrossRef]
- Watson, A. Drilling model for cutting lip and chisel edge and comparison of cutting lip and chisel edge and comparison of experimental results. I Initial cutting lip model. Int. J. Mach. Tool Des. Res. 1985, 25, 347–365. [Google Scholar] [CrossRef]
- Chandrasekharan, V.; Kapoor, S.G.; Devor, R.E. A Mechanistic Approach to Predicting the Cutting Forces in Drilling: With Application to Fiber-Reinforced Composite Materials. J. Eng. Ind. 1995, 117, 559–570. [Google Scholar] [CrossRef]
- Elhachimi, M.; Torbaty, S.; Joyot, P. Mechanical modelling of high speed drilling. 2: Predicted and experimental results. Int. J. Mach. Tools Manuf. 1999, 39, 569–581. [Google Scholar] [CrossRef]
- Dargnat, F.; Darnis, P.; Cahuc, O. Energetical approach for semi-analytical drilling modelling. Mach. Sci. Technol. 2008, 12, 295–324. [Google Scholar] [CrossRef]
- Claudin, C.; Poulachon, G.; Lambertin, M. Correlation between drill geometry and mechanical forces in MQL conditions. Mach. Sci. Technol. 2008, 12, 133–144. [Google Scholar] [CrossRef]
- Zemzemi, F.; Rech, J.; Ben Salem, W.; Dogui, A.; Kapsa, P. Identification of a friction model at tool/chip/workpiece interfaces in dry machining of AISI4142 treated steels. J. Mater. Process. Technol. 2009, 209, 3978–3990. [Google Scholar] [CrossRef]
- Fernandes, M.G.; Fonseca, E.M.M.; Natal, R.M. Three-dimensional dynamic finite element and experimental models for drilling processes. Proc. Inst. Mech. Eng. Part L J. Mater. Des. Appl. 2015, 232, 35–43. [Google Scholar] [CrossRef]
- Giasin, K.; Hodzic, A.; Phadnis, V.; Ayvar-Soberanis, S. Assessment of cutting forces and hole quality in drilling Al2024 aluminium alloy: Experimental and finite element study. Int. J. Adv. Manuf. Technol. 2016, 87, 2041–2061. [Google Scholar] [CrossRef]
- Doomra, V.K.; Debnath, K.; Singh, I. Drilling of metal matrix composites: Experimental and finite element analysis. Proc. Inst. Mech. Eng. Part B J. Eng. Manuf. 2014, 229, 886–890. [Google Scholar] [CrossRef]
- Ucun, İ. 3D finite element modelling of drilling process of Al7075-T6 alloy and experimental validation. J. Mech. Sci. Technol. 2016, 30, 1843–1850. [Google Scholar] [CrossRef]
- Nagaraj, M.; Kumar, A.J.P.; Ezilarasan, C.; Betala, R. Finite Element Modeling in Drilling of Nimonic C-263 Alloy Using Deform-3D. Comput. Model. Eng. Sci. 2019, 118, 679–692. [Google Scholar] [CrossRef]
- Abdelhafeez, A.M.; Soo, S.L.; Aspinwall, D.; Dowson, A.; Arnold, D. A Coupled Eulerian Lagrangian Finite Element Model of Drilling Titanium and Aluminium Alloys. SAE Int. J. Aerosp. 2016, 9, 198–207. [Google Scholar] [CrossRef]
- Merchant, M. Mechanics of the Metal Cutting Process. I. Orthogonal Cutting and a Type 2 Chip. J. Appl. Phys. 1945, 16, 267. [Google Scholar] [CrossRef]
- Mauch, C.; Lauderbaugh, K. Modeling the drilling process-an analytical model to predict thrust force and torque. Comput. Model Simul. Manuf. Process ASME Prod. Eng. Div. 1990, 48, 59–65. [Google Scholar]
- Oxford, C. On the drilling of metals 1: Basic mechanics of the process. Trans. Am. Soc. Mech. Eng. 1955, 77, 103–111. [Google Scholar]
- Williams, R. A study of the drilling process. J. Manuf. Sci. Eng. Trans. ASME 1974, 96, 1207–1215. [Google Scholar] [CrossRef]
- Man, X.; Ren, D.; Usui, S.; Johnson, C.; Marusich, T.D. Validation of Finite Element Cutting Force Prediction for End Milling. Procedia CIRP 2012, 1, 663–668. [Google Scholar] [CrossRef]
- ThirdWaveSystems. Third Wave AdvantEdge TM User’s Manual Version 7.3; Third Wave Systems: Vancouver, BC, Canada, 2017. [Google Scholar]
- Iturbe, A.; Giraud, E.; Hormaetxe, E.; Garay, A.; Germain, G.; Ostolaza, K.; Arrazola, P.J. Mechanical characterization and modelling of Inconel 718 material behavior for machining process assessment. Mater. Sci. Eng. A 2017, 682, 441–453. [Google Scholar] [CrossRef] [Green Version]
- Ebrahimi, S.M.; Araee, A.; Hadad, M. Investigation of the effects of constitutive law on numerical analysis of turning processes to predict the chip morphology, tool temperature, and cutting force. Int. J. Adv. Manuf. Technol. 2019, 105, 4245–4264. [Google Scholar] [CrossRef]
- Laakso, S.; Niemi, E. Modified Johnson-Cook flow stress model with thermal softening damping for finite element modeling of cutting. Proc. Inst. Mech. Eng. Part B J. Eng. Manuf. 2016, 230, 241–253. [Google Scholar] [CrossRef]
- Erice, B.; Perez-Martin, M.J.; Gálvez, F. An experimental and numerical study of ductile failure under quasi-static and impact loadings of Inconel 718 nickel-base superalloy. Int. J. Impact Eng. 2014, 69, 11–24. [Google Scholar] [CrossRef] [Green Version]
- Haq, I.U.; Weiguo, G.; Arif, M.; Sheikh, M.Z. Study of Various Conical Projectiles Penetration into Inconel-718 Target. Procedia Struct. Integr. 2018, 13, 1955–1960. [Google Scholar] [CrossRef]
- Baek, J.-T.; Woo, W.-S.; Lee, C.-M. A study on the machining characteristics of induction and laser-induction assisted machining of AISI 1045 steel and Inconel 718. J. Manuf. Process. 2018, 34, 513–522. [Google Scholar] [CrossRef]
- Davoudinejad, A.; Parenti, P.; Annoni, M. 3D finite element prediction of chip flow, burr formation, and cutting forces in micro end-milling of aluminum 6061-T6. Front. Mech. Eng. 2017, 12, 203–214. [Google Scholar] [CrossRef]
- Maranhão, C.; Davim, J. Finite element modelling of machining of AISI 316 steel: Numerical simulation and experimental validation. Simul. Model Pract. Theory 2010, 18, 139–156. [Google Scholar] [CrossRef]
- Uçak, N.; Çiçek, A.; Oezkaya, E.; Aslantas, K. Finite element simulations of cutting force, torque, and temperature in drilling of Inconel 718. Procedia CIRP 2019, 82, 47–52. [Google Scholar] [CrossRef]
- Parida, A.K. Simulation and experimental investigation of drilling of Ti-6Al-4V alloy. Int. J. Lightweight Mater. Manuf. 2018, 1, 197–205. [Google Scholar] [CrossRef]




















| Symbol | Description | Value | Unit |
|---|---|---|---|
| chisel edge angle | 120 | degrees | |
| (point angle)/2 | 135/2 | degrees | |
| pilot hole radius | 1 | mm | |
| drill radius | 3 | mm | |
| pilot hole depth | 2 | mm | |
| work piece depth | 5 | mm | |
| (web thickness)/2 | 0.5 | mm |
| σ0 (MPa) | n | Tm (C°) | Tcut (C°) | m1 | |
|---|---|---|---|---|---|
| 1375 | 11.3 | 0.01 | 1420 | 700 | 100 |
| c0 | c1 | c2 | c3 | c4 | c5 |
| 1.004 | −2 × 10−3 | −1 × 10−6 | 5 × 10−9 | −4 × 10−12 | 0 |
| d0 | d1 | d2 | d3 | d4 | d5 |
|---|---|---|---|---|---|
| 1.1404 | 8 × 10−4 | 3 × 10−20 | 0 | 0 | 0 |
| Scenario No. | Feed Rate (mm/rev) | Spindle Speed (rpm) |
|---|---|---|
| 1 | 0.75 | 1000 |
| 2 | 0.75 | 2000 |
| 3 | 0.75 | 3000 |
| 4 | 0.375 | 1000 |
| 5 | 0.375 | 2000 |
| 6 | 0.375 | 3000 |
Publisher’s Note: MDPI stays neutral with regard to jurisdictional claims in published maps and institutional affiliations. |
© 2021 by the authors. Licensee MDPI, Basel, Switzerland. This article is an open access article distributed under the terms and conditions of the Creative Commons Attribution (CC BY) license (https://creativecommons.org/licenses/by/4.0/).
Share and Cite
Pervaiz, S.; Samad, W.A. Drilling Force Characterization during Inconel 718 Drilling: A Comparative Study between Numerical and Analytical Approaches. Materials 2021, 14, 4820. https://doi.org/10.3390/ma14174820
Pervaiz S, Samad WA. Drilling Force Characterization during Inconel 718 Drilling: A Comparative Study between Numerical and Analytical Approaches. Materials. 2021; 14(17):4820. https://doi.org/10.3390/ma14174820
Chicago/Turabian StylePervaiz, Salman, and Wael A. Samad. 2021. "Drilling Force Characterization during Inconel 718 Drilling: A Comparative Study between Numerical and Analytical Approaches" Materials 14, no. 17: 4820. https://doi.org/10.3390/ma14174820
APA StylePervaiz, S., & Samad, W. A. (2021). Drilling Force Characterization during Inconel 718 Drilling: A Comparative Study between Numerical and Analytical Approaches. Materials, 14(17), 4820. https://doi.org/10.3390/ma14174820
