Modeling of Thermo-Chemo-Mechanical Properties of Anode Mixture during the Baking Process
Abstract
1. Introduction
2. Methodology
2.1. Preparation of Anode Samples
2.2. Thermogravimetric Analysis (TGA)
2.3. Dilatometry
2.3.1. Device Description and Experimental Procedure
2.3.2. Characterization Procedure
2.4. Creep Test
3. Mathematical Models
3.1. Baking Index and Shrinking Index
3.2. Strain Decomposition
3.2.1. Thermal and Chemical Strains
3.2.2. Mechanical Strains
4. Results and Discussion
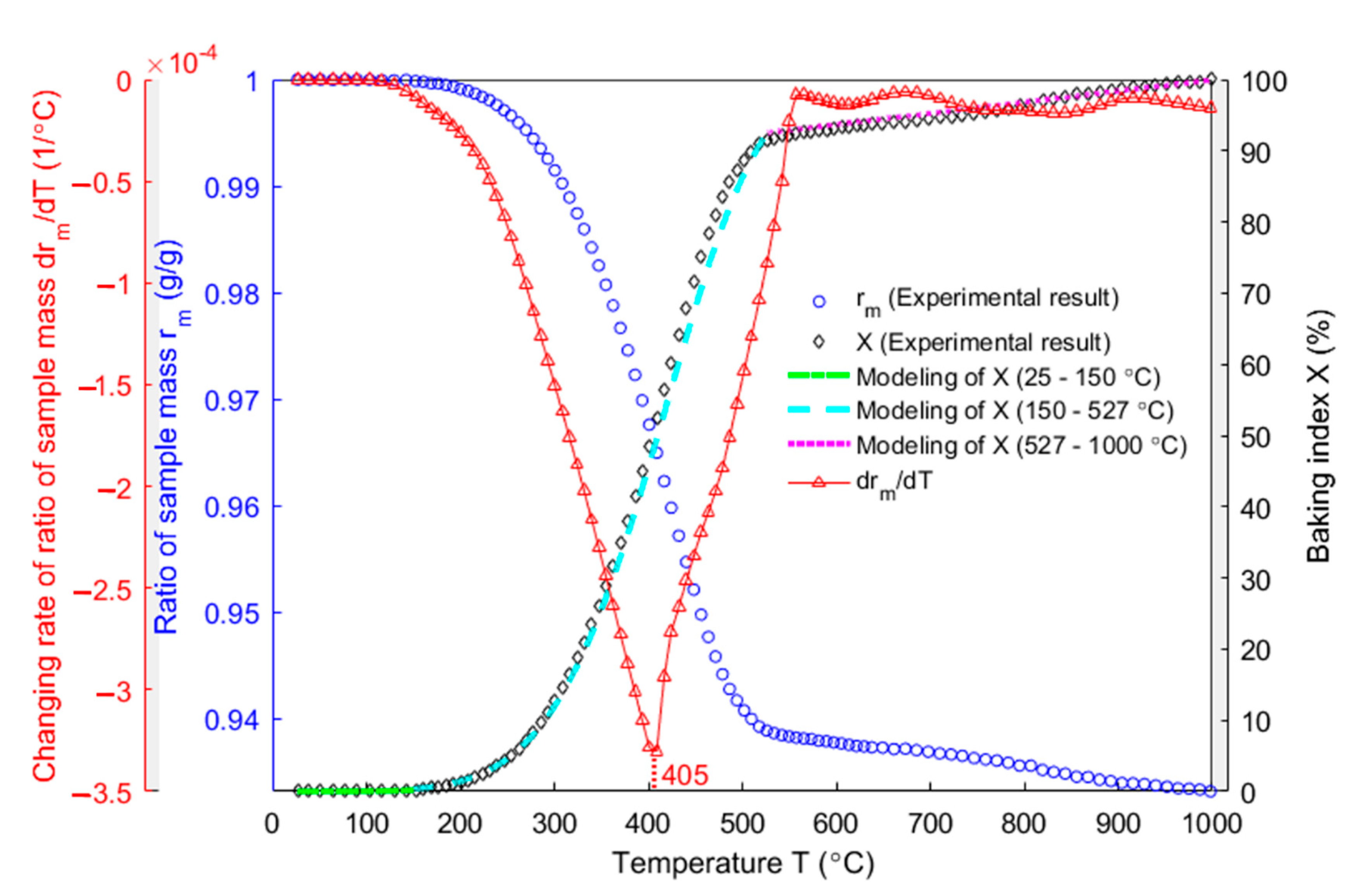
4.1. Thermogravimetric Analysis and Shrinking Index
4.2. Dilatometry
4.3. Elastic Parameters and Compressive Strength
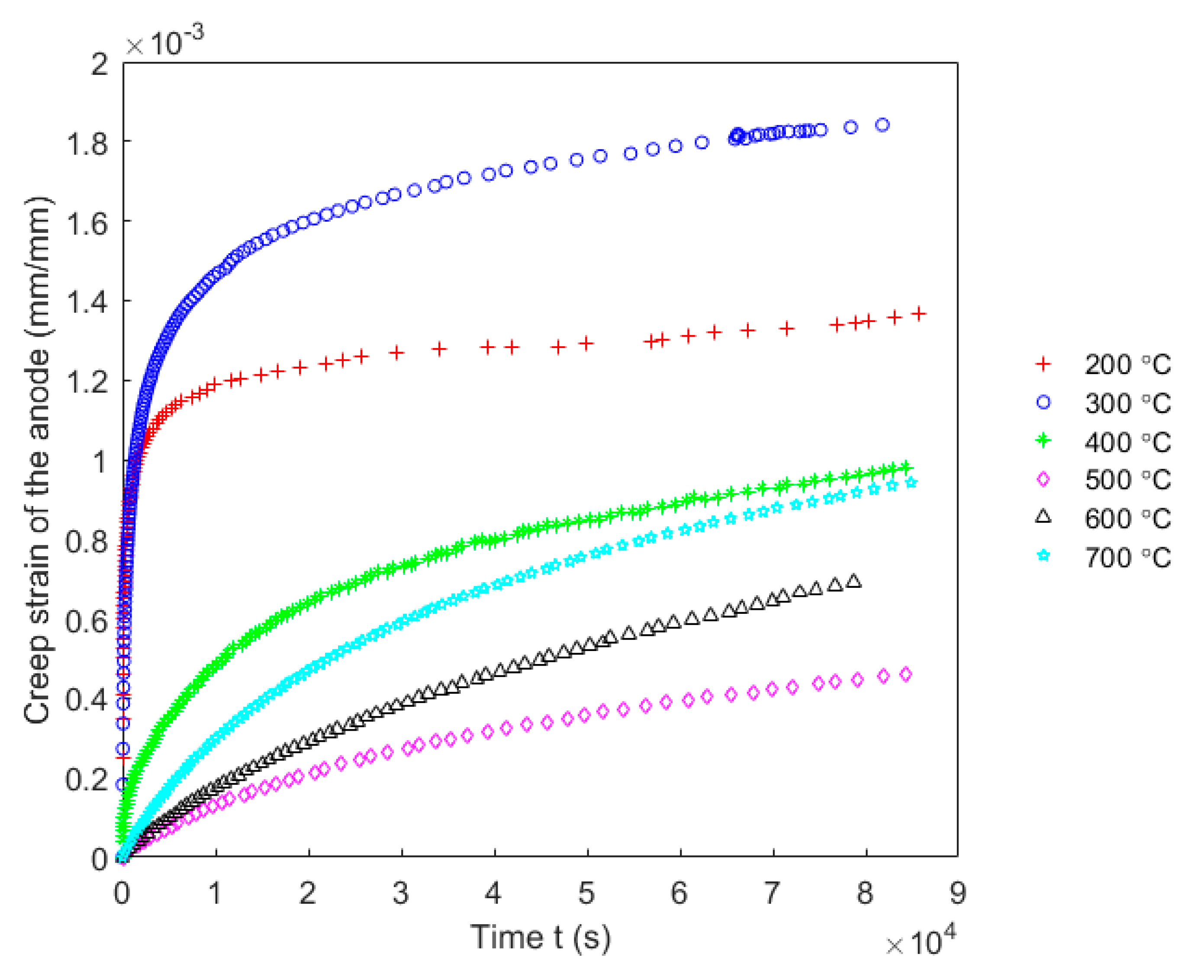
4.4. Creep Test and Inverse Identification of Parameters
5. Conclusions
Author Contributions
Funding
Institutional Review Board Statement
Informed Consent Statement
Data Availability Statement
Acknowledgments
Conflicts of Interest
Appendix A. Sensitivity Analysis of the Inverse Identification of Parameters
| 5.220 × 1011 | 0.300 | 8.716 × 107 | 0.200 | 1.000 × 1013 | 0.200 |
| 5.347 × 1011 | 0.300 | 8.519 × 107 | 0.200 | 1.000 × 1013 | 0.301 |
| 4.702 × 1011 | 0.200 | 8.709 × 107 | 0.435 | 1.000 × 1013 | 0.200 |
| 4.818 × 1011 | 0.200 | 8.512 × 107 | 0.435 | 1.000 × 1013 | 0.301 |
| 4.626 × 1011 | 0.449 | 8.196 × 107 | 0.203 | 1.033 × 1013 | 0.203 |
| 4.662 × 1011 | 0.449 | 8.119 × 107 | 0.201 | 1.000 × 1013 | 0.301 |
| 4.893 × 1011 | 0.450 | 8.576 × 107 | 0.301 | 1.000 × 1013 | 0.200 |
| 5.026 × 1011 | 0.450 | 8.374 × 107 | 0.301 | 1.000 × 1013 | 0.301 |
| 5.020 × 1011 | 0.170 | 8.866 × 107 | 0.005 | 1.000 × 1013 | 0.005 |
| 5.096 × 1011 | 0.170 | 8.748 × 107 | 0.005 | 1.000 × 1013 | 0.170 |
| 5.314 × 1011 | 0.170 | 8.409 × 107 | 0.005 | 1.000 × 1013 | 0.341 |
| 4.438 × 1011 | 0.005 | 8.852 × 107 | 0.333 | 1.000 × 1013 | 0.009 |
| 4.488 × 1011 | 0.005 | 8.731 × 107 | 0.337 | 1.000 × 1013 | 0.173 |
| 4.684 × 1011 | 0.005 | 8.391 × 107 | 0.339 | 1.000 × 1013 | 0.342 |
| 4.157 × 1011 | 0.005 | 8.852 × 107 | 0.389 | 1.000 × 1013 | 0.005 |
| 4.218 × 1011 | 0.005 | 8.735 × 107 | 0.389 | 1.000 × 1013 | 0.171 |
| 4.409 × 1011 | 0.005 | 8.392 × 107 | 0.388 | 1.000 × 1013 | 0.342 |
| 4.489 × 1011 | 0.318 | 8.534 × 107 | 0.005 | 1.054 × 1013 | 0.009 |
| 4.489 × 1011 | 0.318 | 8.534 × 107 | 0.005 | 1.015 × 1013 | 0.193 |
| 4.614 × 1011 | 0.333 | 8.151 × 107 | 0.005 | 1.003 × 1013 | 0.357 |
| 4.923 × 1011 | 0.337 | 8.845 × 107 | 0.173 | 1.000 × 1013 | 0.005 |
| 4.966 × 1011 | 0.340 | 8.720 × 107 | 0.170 | 1.000 × 1013 | 0.170 |
| 5.189 × 1011 | 0.340 | 8.377 × 107 | 0.170 | 1.000 × 1013 | 0.341 |
| 4.553 × 1011 | 0.173 | 8.868 × 107 | 0.428 | 1.000 × 1013 | 0.005 |
| 4.608 × 1011 | 0.170 | 8.751 × 107 | 0.428 | 1.000 × 1013 | 0.170 |
| 4.808 × 1011 | 0.170 | 8.411 × 107 | 0.427 | 1.000 × 1013 | 0.341 |
| 4.312 × 1011 | 0.420 | 7.708 × 107 | 0.048 | 1.193 × 1013 | 0.005 |
| 4.565 × 1011 | 0.420 | 8.416 × 107 | 0.170 | 1.017 × 1013 | 0.193 |
| 4.726 × 1011 | 0.422 | 8.167 × 107 | 0.170 | 1.000 × 1013 | 0.342 |
| 4.636 × 1011 | 0.420 | 8.507 × 107 | 0.193 | 1.043 × 1013 | 0.005 |
| 4.543 × 1011 | 0.441 | 8.140 × 107 | 0.170 | 1.058 × 1013 | 0.171 |
| 4.667 × 1011 | 0.439 | 8.009 × 107 | 0.170 | 1.005 × 1013 | 0.342 |
| 5.010 × 1011 | 0.479 | 8.714 × 107 | 0.389 | 1.005 × 1013 | 0.005 |
| 4.943 × 1011 | 0.464 | 8.625 × 107 | 0.341 | 1.000 × 1013 | 0.170 |
| 5.153 × 1011 | 0.469 | 8.241 × 107 | 0.341 | 1.000 × 1013 | 0.341 |
| 5.125 × 1011 | 0.125 | 8.880 × 107 | 0.005 | 1.000 × 1013 | 0.006 |
| 5.165 × 1011 | 0.125 | 8.817 × 107 | 0.005 | 1.000 × 1013 | 0.125 |
| 5.282 × 1011 | 0.125 | 8.630 × 107 | 0.005 | 1.000 × 1013 | 0.250 |
| 5.484 × 1011 | 0.125 | 8.328 × 107 | 0.005 | 1.000 × 1013 | 0.376 |
| 4.806 × 1011 | 0.010 | 8.863 × 107 | 0.250 | 1.000 × 1013 | 0.010 |
| 4.843 × 1011 | 0.010 | 8.800 × 107 | 0.250 | 1.000 × 1013 | 0.125 |
| 4.957×1 011 | 0.006 | 8.613 × 107 | 0.250 | 1.000 × 1013 | 0.250 |
| 5.137 × 1011 | 0.006 | 8.308 × 107 | 0.250 | 1.000 × 1013 | 0.376 |
| 4.233 × 1011 | 0.006 | 8.852 × 107 | 0.375 | 1.000 × 1013 | 0.006 |
| 4.263 × 1011 | 0.005 | 8.788 × 107 | 0.375 | 1.000 × 1013 | 0.125 |
| 4.364 × 1011 | 0.005 | 8.601 × 107 | 0.375 | 1.000 × 1013 | 0.250 |
| 4.538 × 1011 | 0.006 | 8.297 × 107 | 0.375 | 1.000 × 1013 | 0.376 |
| 4.065 × 1011 | 0.005 | 8.853 × 107 | 0.406 | 1.000 × 1013 | 0.020 |
| 4.144 × 1011 | 0.018 | 8.791 × 107 | 0.406 | 1.000 × 1013 | 0.125 |
| 4.300 × 1011 | 0.010 | 8.603 × 107 | 0.390 | 1.000 × 1013 | 0.250 |
| 4.464 × 1011 | 0.005 | 8.292 × 107 | 0.388 | 1.000 × 1013 | 0.376 |
| 4.771 × 1011 | 0.250 | 8.828 × 107 | 0.018 | 1.000 × 1013 | 0.018 |
| 4.810× 1011 | 0.250 | 8.765 × 107 | 0.018 | 1.000 × 1013 | 0.125 |
| 4.887 × 1011 | 0.250 | 8.570 × 107 | 0.006 | 1.000 × 1013 | 0.250 |
| 5.087 × 1011 | 0.250 | 8.262 × 107 | 0.005 | 1.000 × 1013 | 0.376 |
| 5.083 × 1011 | 0.250 | 8.873 × 107 | 0.125 | 1.000 × 1013 | 0.006 |
| 5.122 × 1011 | 0.250 | 8.810 × 107 | 0.125 | 1.000 × 1013 | 0.125 |
| 5.241 × 1011 | 0.250 | 8.623 × 107 | 0.125 | 1.000 × 1013 | 0.250 |
| 5.439 × 1011 | 0.250 | 8.322 × 107 | 0.125 | 1.000 × 1013 | 0.375 |
| 4.657 × 1011 | 0.125 | 8.864 × 107 | 0.375 | 1.000 × 1013 | 0.006 |
| 4.694 × 1011 | 0.125 | 8.801 × 107 | 0.375 | 1.000 × 1013 | 0.125 |
| 4.804 × 1011 | 0.125 | 8.614 × 107 | 0.375 | 1.000 × 1013 | 0.250 |
| 4.988 × 1011 | 0.125 | 8.310 × 107 | 0.375 | 1.000 × 1013 | 0.376 |
| 4.419 × 1011 | 0.125 | 8.863 × 107 | 0.421 | 1.000 × 1013 | 0.010 |
| 4.453 × 1011 | 0.125 | 8.801 × 107 | 0.421 | 1.000 × 1013 | 0.125 |
| 4.582 × 1011 | 0.125 | 8.614 × 107 | 0.417 | 1.000 × 1013 | 0.250 |
| 4.760 × 1011 | 0.125 | 8.305 × 107 | 0.417 | 1.000 × 1013 | 0.376 |
| 4.263 × 1011 | 0.375 | 8.075 × 107 | 0.006 | 1.141 × 1013 | 0.006 |
| 4.532 × 1011 | 0.313 | 8.625 × 107 | 0.018 | 1.019 × 1013 | 0.125 |
| 4.278 × 1011 | 0.352 | 8.423 × 107 | 0.010 | 1.000 × 1013 | 0.250 |
| 4.321 × 1011 | 0.375 | 7.973 × 107 | 0.006 | 1.000 × 1013 | 0.390 |
| 4.509 × 1011 | 0.375 | 8.741 × 107 | 0.125 | 1.000 × 1013 | 0.034 |
| 4.577 × 1011 | 0.375 | 8.634 × 107 | 0.125 | 1.000 × 1013 | 0.164 |
| 4.693 × 1011 | 0.375 | 8.454 × 107 | 0.125 | 1.000 × 1013 | 0.266 |
| 4.878 × 1011 | 0.375 | 8.175 × 107 | 0.125 | 1.000 × 1013 | 0.375 |
| 5.002 × 1011 | 0.375 | 8.854 × 107 | 0.250 | 1.000 × 1013 | 0.010 |
| 5.042 × 1011 | 0.375 | 8.790 × 107 | 0.250 | 1.000 × 1013 | 0.125 |
| 5.161 × 1011 | 0.375 | 8.603 × 107 | 0.250 | 1.000 × 1013 | 0.250 |
| 5.360 × 1011 | 0.375 | 8.301 × 107 | 0.250 | 1.000 × 1013 | 0.375 |
| 4.726 × 1011 | 0.250 | 8.874 × 107 | 0.445 | 1.000 × 1013 | 0.006 |
| 4.754 × 1011 | 0.250 | 8.811 × 107 | 0.446 | 1.000 × 1013 | 0.125 |
| 4.864 × 1011 | 0.250 | 8.625 × 107 | 0.446 | 1.000 × 1013 | 0.250 |
| 5.056 × 1011 | 0.250 | 8.322 × 107 | 0.445 | 1.000 × 1013 | 0.376 |
| 4.403 × 1011 | 0.437 | 7.347 × 107 | 0.045 | 1.242 × 1013 | 0.005 |
| 4.440 × 1011 | 0.437 | 7.721 × 107 | 0.096 | 1.149 × 1013 | 0.125 |
| 4.476 × 1011 | 0.437 | 7.872 × 107 | 0.120 | 1.070 × 1013 | 0.250 |
| 4.335 × 1011 | 0.437 | 7.102 × 107 | 0.006 | 1.050 × 1013 | 0.429 |
| 4.485 × 1011 | 0.437 | 7.904 × 107 | 0.125 | 1.128 × 1013 | 0.085 |
| 4.592 × 1011 | 0.437 | 8.285 × 107 | 0.188 | 1.056 × 1013 | 0.125 |
| 4.864 × 1011 | 0.437 | 8.420 × 107 | 0.250 | 1.001 × 1013 | 0.250 |
| 4.984 × 1011 | 0.447 | 8.076 × 107 | 0.250 | 1.000 × 1013 | 0.376 |
| 4.704 × 1011 | 0.437 | 8.632 × 107 | 0.250 | 1.017 × 1013 | 0.018 |
| 4.695 × 1011 | 0.437 | 8.644 × 107 | 0.250 | 1.000 × 1013 | 0.125 |
| 4.807 × 1011 | 0.441 | 8.436 × 107 | 0.250 | 1.000 × 1013 | 0.250 |
| 4.986 ×1011 | 0.447 | 8.076 × 107 | 0.250 | 1.000 × 1013 | 0.376 |
| 4.987 × 1011 | 0.476 | 8.686 × 107 | 0.378 | 1.000 × 1013 | 0.125 |
| 5.020 × 1011 | 0.472 | 8.720 × 107 | 0.382 | 1.000 × 1013 | 0.125 |
| 5.095 × 1011 | 0.476 | 8.508 × 107 | 0.378 | 1.000 × 1013 | 0.250 |
| 5.301 × 1011 | 0.477 | 8.175 × 107 | 0.375 | 1.000 × 1013 | 0.375 |
Appendix B. A Summary of Parameters Involved in the Mathematical Model
| slope of the model of the baking index between 527 and 1000 °C | |
| heating rate | |
| intercept of the model of the baking index between 527 and 1000 °C | |
| activation energy | |
| pre-exponential factor | |
| universal gas constant | |
| thermal expansion coefficient | |
| , | coefficients related to the relaxation time corresponding to the viscoelastic behaviour of the material |
| Young Modulus and the Poisson’s ratio that describe the elastic behaviour with respect to the shrinking index | |
| elastic moduli characterizing the viscoelastic behaviour with respect to the shrinking index | |
| viscous moduli characterizing the viscoelastic behaviour with respect to the shrinking index | |
| viscous moduli characterizing the viscoplastic behaviour with respect to the shrinking index | |
| , | constants related to hydrostatic and deviatoric viscoelastic behaviour with respect to the shrinking index |
References
- Khaji, K.; Al Qassemi, M. The Role of Anode Manufacturing Processes in Net Carbon Consumption. Metals 2016, 6, 128. [Google Scholar] [CrossRef]
- Gundersen, Ø. Modelling of Structure and Properties of Soft Carbons with Application to Carbon Anode Baking. Ph.D. Thesis, Department of Engineering Cybernetics, Norwegian University of Science and Technology, Trondheim, Norway, 1998. Available online: https://www.itk.ntnu.no/databaser/dr_ing_avhandlinger/vedlegg/33_pdf.pdf. (accessed on 14 April 2021).
- Chaouki, H.; Thibodeau, S.; Fafard, M.; Ziegler, D.; Alamdari, H. Characterization of the Hot Anode Paste Compaction Process: A Computational and Experimental Study. Materials 2019, 12, 800. [Google Scholar] [CrossRef] [PubMed]
- Hulse, K.L. Anode Manufacture: Raw Materials, Formulation and Processing Parameters; R&D Carbon Ltd.: Sierre, Switzerland, 2000. [Google Scholar]
- Keller, F.; Sulger, P.O. Anode Baking—Baking of Anodes for the Aluminum Industry, 2nd ed.; R&D Carbon Ltd.: Sierre, Switzerland, 2008. [Google Scholar]
- Chmelar, J. Size Reduction and Specification of Granular Petrol Coke with Respect to Chemical and Physical Properties. Ph.D. Thesis, Department of Geology and Mineral Resources Engineering, Norwegian University of Science and Technology, Trondheim, Norway, 2006. Available online: https://ntnuopen.ntnu.no/ntnu-xmlui/bitstream/handle/11250/235831/122864_FULLTEXT01.pdf?sequence=1&isAllowed=y (accessed on 14 April 2021).
- Fischer, W.K.; Keller, F.; Perruchoud, R.C.; Oderbolz, S. Baking Parameters and the Resulting Anode Quality; Subodh, K.D., Ed.; TMS Light Metals: Denver, CO, USA, 1993; pp. 427–433. [Google Scholar] [CrossRef]
- Kallel, W. Étude Expérimentale du Comportement Thermo-Chimio-Mécanique des Anodes de Carbone en Phase de Cuisson. Ph.D. Thesis, Université du Québec à Chicoutimi, Chicoutimi, QC, Canada, 2018. Available online: https://constellation.uqac.ca/4640/1/Kallel_uqac_0862N_10463.pdf (accessed on 14 April 2021).
- Tremblay, F.; Charette, A. Cinétique de Dégagement des Matières Volatiles lors de la Pyrolyse d’Électrodes de Carbone Industrielles. Can. J. Chem. Eng. 1988, 66, 86–96. [Google Scholar] [CrossRef][Green Version]
- Kocaefe, D.; Charette, A.; Ferland, J.; Couderc, P.; Saint-Romain, J.L. A Kinetic Study of Pyrolysis in Pitch Impregnated Electrodes. Can. J. Chem. Eng. 1990, 68, 988–996. [Google Scholar] [CrossRef]
- Charette, A.; Kocaefe, D.; Saint-Romain, J.L.; Couderc, P. Comparison of Various Pitches for Impregnation in Carbon Electrodes. Carbon 1991, 29, 1015–1024. [Google Scholar] [CrossRef]
- Yue, C.; Watkinson, A.P. Pyrolysis of Pitch. Fuel 1998, 77, 695–711. [Google Scholar] [CrossRef]
- Hume, S.M. Influence of Raw Material Properties on the Reactivity of Carbon Anodes Used in the Electrolytic Production of Aluminium. Ph.D. Thesis, School of Engineering, University of Auckland, Auckland, New Zealand, 1993. [Google Scholar]
- Lezzerini, M.; Calderone, F.; Letizia, I. Expansion of Carbon Bodies During Baking Measured in Laboratory and Industrial Furnaces. High Temp. High Press. 1987, 19, 567–572. [Google Scholar]
- Okada, J. Dependence of Thermal Expansion of Bonded Carbons on the Heat-Treatment Temperature. In Proceedings of the Fourth Conference on Carbon, Buffalo, NY, USA, 15 June 1959; Pergamon Press: Elmsford, NY, USA, 1959. [Google Scholar]
- Mrozowski, S. Mechanical Strength, Thermal Expansion and Structures of Cokes and Carbons. In Proceedings of the First and Second Conferences on Carbon, Buffalo, NY, USA, 1 January 1956; Pergamon Press: Elmsford, NY, USA, 1956. Available online: http://scholar.google.ca/scholar?q=Mechanical+Strength,+Thermal+Expansion+and+Structures+of+Cokes+and+Carbons&hl=en&as_sdt=0&as_vis=1&oi=scholart (accessed on 14 April 2021).
- Okada, J.; Takeuchi, Y. Dependence of the Density and Other Properties of Bonded Carbons on the Binder Proportion in the Green Mix. In Proceedings of the Fourth Conference on Carbon, Buffalo, NY, USA, 15 June 1959; Pergamon Press: Elmsford, NY, USA, 1959. [Google Scholar]
- Andersen, D.H.; Zhang, Z.L. Fracture and Physical Properties of Carbon Anodes for the Aluminum Reduction Cell. Eng. Fract. Mech. 2011, 78, 2998–3016. [Google Scholar] [CrossRef]
- Fitzer, E.; Hüttinger, K.J.; Megalopoulos, A. Dilatometric Study of the Baking Behaviour of Pitch Bonded Carbon Artifacts. Carbon 1973, 11, 621–626. [Google Scholar] [CrossRef]
- Bhatia, G.; Aggarwal, R.K.; Chari, S.S.; Jain, G.C. Rheological Characteristics of Coal Tar and Petroleum Pitches with and without Additives. Carbon 1977, 15, 219–223. [Google Scholar] [CrossRef]
- Sakai, M. Viscoelastic Properties of a Pitch and Coke-Pitch Disperse System. Carbon 1979, 17, 139–144. [Google Scholar] [CrossRef]
- Marsh, H.; Martínez-Escandell, M.; Rodríguez-Reinoso, F. Semicokes from Pitch Pyrolysis: Mechanisms and Kinetics. Carbon 1999, 37, 363–390. [Google Scholar] [CrossRef]
- Hop, J.G. Sodium Expansion and Creep of Cathode Carbon. Ph.D. Thesis, Department of Material Technology, Norwegian University of Science and Technology, Trondheim, Norway, 2003. Available online: https://ntnuopen.ntnu.no/ntnu-xmlui/bitstream/handle/11250/248735/125029_FULLTEXT02.pdf?sequence=1&isAllowed=y (accessed on 14 April 2021).
- St-Arnaud, P.-O.; Picard, D.; Alamdari, H.; Ziegler, D.; Fafard, M. Room Temperature Creep Behaviour of Ramming Paste Baked at Different Temperatures; Grandfield, J., Ed.; TMS Light Metals: San Diego, CA, USA, 2014; pp. 1221–1226. [Google Scholar] [CrossRef]
- Picard, D.; Fafard, M.; Soucy, G.; Bilodeau, J.-F. Three-Dimensional Constitutive Creep/Relaxation Model of Carbon Cathode Materials. J. Appl. Mech. 2008, 75, 031017. [Google Scholar] [CrossRef]
- Orangi, S.; Fafard, M. 3D Nonlinear Viscoelastic-Viscoplastic Model for Ramming Paste Used in a Hall-Héroult Cell. J. Eng. Mech. 2015, 141, 04014158. [Google Scholar] [CrossRef]
- Chen, B.; Chaouki, H.; Picard, D.; Ziegler, D.; Alamdari, H.; Fafard, M. Thermo-Chemo-Poromechanical Modeling of the Anode Mixture During the Baking Process: Constitutive Laws and Governing Equations. J. Appl. Mech. ASME Trans. 2020, 87, 011001. [Google Scholar] [CrossRef]
- Azari, K. Investigation of the Materials and Paste Relationships to Improve Forming Process and Anode Quality. Ph.D. Thesis, Department of Mining, Metallurgical and Materials Engineering, Université Laval, Québec, QC, Canada, 2013. Available online: http://hdl.handle.net/20.500.11794/24666 (accessed on 14 April 2021).
- Chen, B.; Picard, D.; Zaglafi, S.; Alamdari, H.; Ziegler, D.; Fafard, M. Improved Compaction Method for the Production of Large Scale Anode Paste Samples for Thermomechanical Characterization; Olivier, M., Ed.; TMS Light Metals: Phoenix, AZ, USA, 2018; pp. 1387–1396. [Google Scholar] [CrossRef]
- Jacobsen, M.; Melaaen, M.C. Numerical simulation of the baking of porous anode carbon in a vertical flue ring furnace. Numer. Heat Transf. Part A Appl. 1998, 34, 571–598. [Google Scholar] [CrossRef]
- Chevarin, F.; Lemieux, L.; Picard, D.; Ziegler, D.; Fafard, M.; Alamdari, H. Characterization of Carbon Anode Constituents under CO2 Gasification: A Try to Understand the Dusting Phenomenon. Fuel 2015, 156, 198–210. [Google Scholar] [CrossRef]
- International Standard ISO 12988-2:2004, “Carbonaceous Materials Used in the Production of Aluminium—Baked Anodes—Determination of the Reactivity to Carbon Dioxide—Part 2: Thermogravimetric Method,” ISO/TC 226 Materials for the Production of Primary Aluminium.
- International Standard ISO 14428:2004(E), “Carbonaceous Materials for the Production of Aluminium—Cold and Tepid Ramming Pastes—Expansion/Shrinkage During Baking,” ISO/TC 226 Materials for the Production of Primary Aluminium.
- Chen, B.; Chaouki, H.; Picard, D.; Lauzon-Gauthier, J.; Alamdari, H.; Fafard, M. Physical Property Evolution of the Anode Mixture During the Baking Process. Materials 2021, 14, 923. [Google Scholar] [CrossRef] [PubMed]
- Zeng, M.; Shields, D.H. Nonlinear Thermal Expansion and Contraction of Asphalt Concrete. Can. J. Civ. Eng. 1999, 26, 26–34. [Google Scholar] [CrossRef]
- Meier, M.W. Cracking Behavior of Anodes; R&D Carbon Ltd.: Sierre, Switzerland, 1996. [Google Scholar]
- Zaglafi, S. Caractérisation Thermo-Chimio-Mécanique de l’Anode de Carbone et Identification des Paramètres des Lois de Comportement. Master’s Thesis, Université Laval, Québec, QC, Canada, 2019. Available online: http://hdl.handle.net/20.500.11794/33773 (accessed on 14 April 2021).
- ASTM Standard C469/C469M—14. Standard Test Method for Static Modulus of Elasticity and Poisson’s Ratio of Concrete in Compression; ASTM International: West Conshohocken, PA, USA, 2014; Available online: www.astm.org (accessed on 14 April 2021). [CrossRef]
- Durand, F.; Rouby, D.; Fantozzi, G.; Allard, B.; Dumas, D. Characterization of the High-Temperature Mechanical Behaviour of Carbon Materials. Carbon 1994, 32, 857–865. [Google Scholar] [CrossRef]
- Edwards Ian, A.S.; Marsh, H.; Menendez, R.; Rand, B.; West, S.; Hosty, A.J.; Kuo, K.; McEnaney, B.; Mays, T.; Johnson, D.J.; et al. Introduction to Carbon Science; Marsh, H., Ed.; Butterworths: London, UK, 1989. [Google Scholar]
- Abramson, M.A. Pattern Search Algorithms for Mixed Variable General Constrained Optimization Problems. Ph.D. Thesis, Rice University, Houston, TX, USA, 2003. Available online: https://hdl.handle.net/1911/18502 (accessed on 14 April 2021).
























| Size Range (US mesh) | Mass (wt %) |
|---|---|
| −4 + 8 | 22.0 |
| −8 + 14 | 10.0 |
| −14 + 30 | 11.5 |
| −30 + 50 | 12.7 |
| −50 + 100 | 8.8 |
| −100 + 200 | 10.8 |
| >−200 | 24.2 |
| Characterizations | Type | Diameter × Height (mm × mm) |
|---|---|---|
| Thermogravimetric analysis | Green | 50 × 50 |
| Dilatometry | 50 × 50 | |
| Creep test | Baked | 50 × 100 |
| Parameter | (Pa · s) | (Pa) | (Pa · s ) | ||||
|---|---|---|---|---|---|---|---|
| Temperature | |||||||
| 200 °C | 5.000 × 1010 | 0.375 | 4.177 × 107 | 0.375 | 3.012 × 1013 | 0.293 | |
| 300 °C | 1.000 × 1011 | 0.375 | 3.217 × 107 | 0.375 | 1.279 × 1013 | 0.380 | |
| 400 °C | 4.893 × 1011 | 0.450 | 8.576 × 107 | 0.301 | 1.000 × 1013 | 0.200 | |
| 500 °C | 3.457 × 1012 | 0.101 | 2.158 × 108 | 0.365 | 1.577 × 1013 | 0.383 | |
| 600 °C | 3.208 × 1012 | 0.301 | 2.146 × 108 | 0.299 | 7.831 × 1012 | 0.299 | |
| 700 °C | 1.503 × 1012 | 0.420 | 1.051 × 108 | 0.358 | 8.664 × 1012 | 0.199 | |
Publisher’s Note: MDPI stays neutral with regard to jurisdictional claims in published maps and institutional affiliations. |
© 2021 by the authors. Licensee MDPI, Basel, Switzerland. This article is an open access article distributed under the terms and conditions of the Creative Commons Attribution (CC BY) license (https://creativecommons.org/licenses/by/4.0/).
Share and Cite
Chen, B.; Chaouki, H.; Picard, D.; Lauzon-Gauthier, J.; Alamdari, H.; Fafard, M. Modeling of Thermo-Chemo-Mechanical Properties of Anode Mixture during the Baking Process. Materials 2021, 14, 4320. https://doi.org/10.3390/ma14154320
Chen B, Chaouki H, Picard D, Lauzon-Gauthier J, Alamdari H, Fafard M. Modeling of Thermo-Chemo-Mechanical Properties of Anode Mixture during the Baking Process. Materials. 2021; 14(15):4320. https://doi.org/10.3390/ma14154320
Chicago/Turabian StyleChen, Bowen, Hicham Chaouki, Donald Picard, Julien Lauzon-Gauthier, Houshang Alamdari, and Mario Fafard. 2021. "Modeling of Thermo-Chemo-Mechanical Properties of Anode Mixture during the Baking Process" Materials 14, no. 15: 4320. https://doi.org/10.3390/ma14154320
APA StyleChen, B., Chaouki, H., Picard, D., Lauzon-Gauthier, J., Alamdari, H., & Fafard, M. (2021). Modeling of Thermo-Chemo-Mechanical Properties of Anode Mixture during the Baking Process. Materials, 14(15), 4320. https://doi.org/10.3390/ma14154320

