Shielding Properties of Some Marble Types: A Comprehensive Study of Experimental and XCOM Results
Abstract
:1. Introduction
2. Materials and Methods
2.1. Sampling
2.2. Sample Preparation
2.3. Sample Characterization
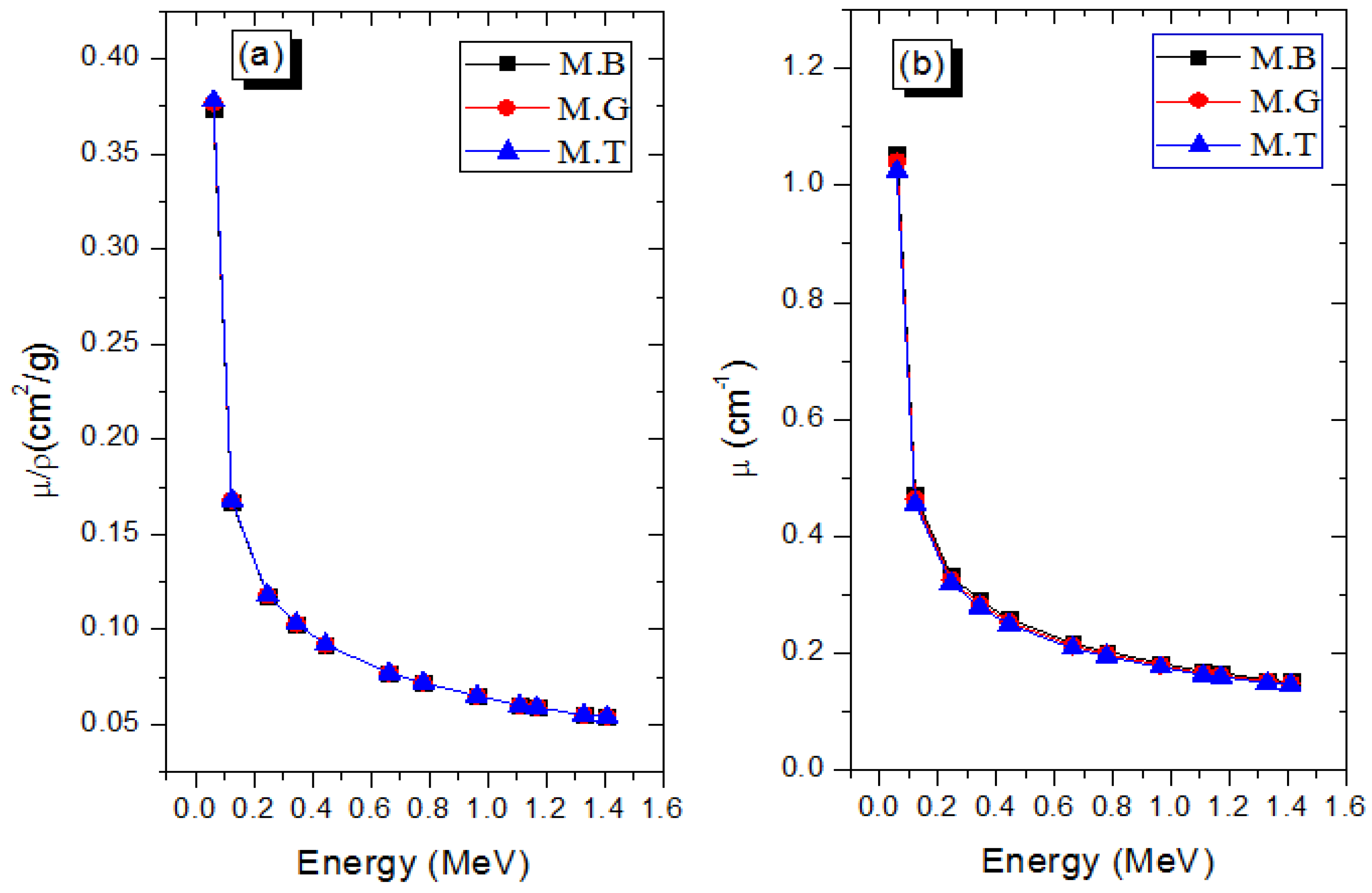
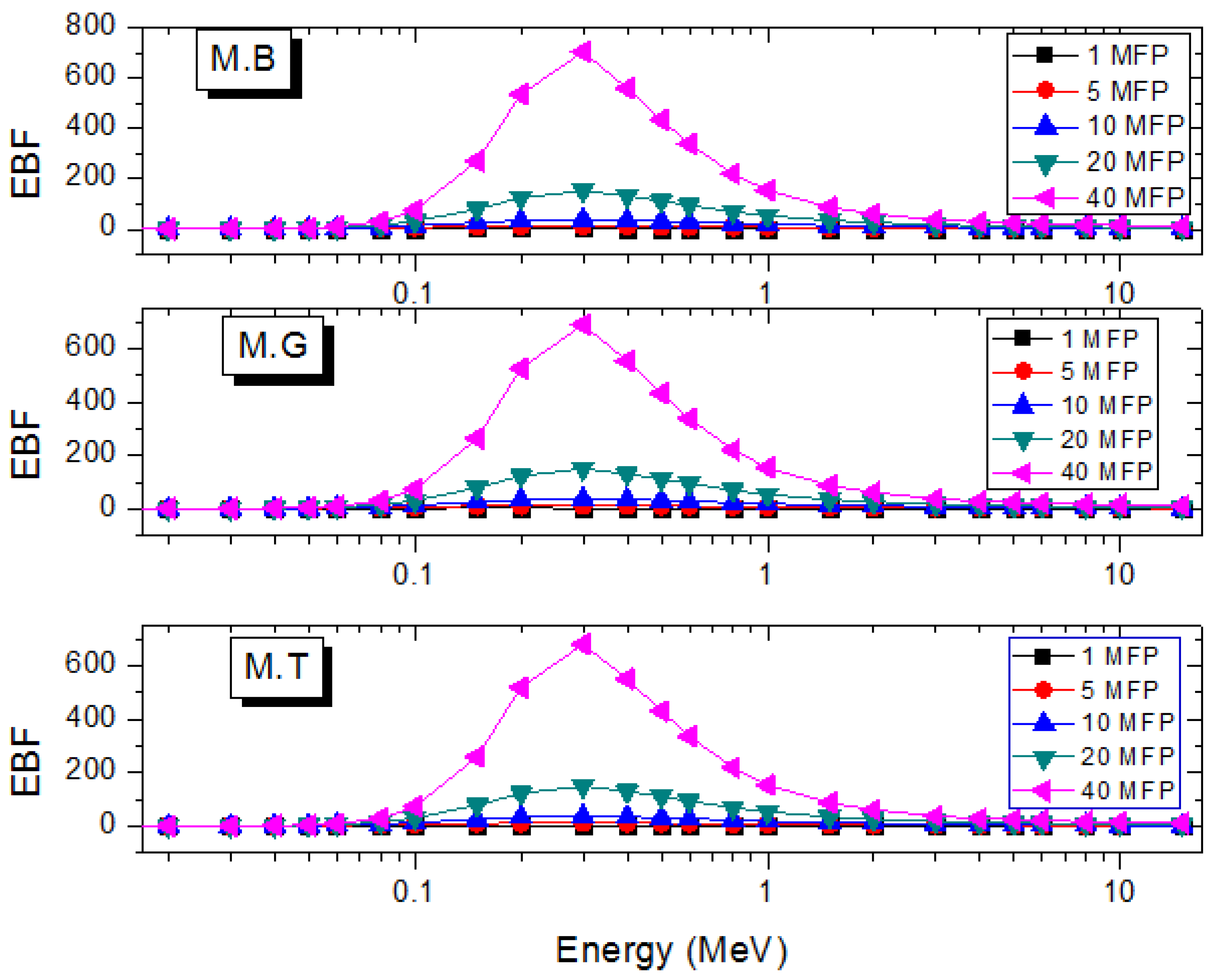
3. Photon Shielding Parameters
4. Conclusions
Author Contributions
Funding
Institutional Review Board Statement
Informed Consent Statement
Data Availability Statement
Acknowledgments
Conflicts of Interest
References
- Aygün, B. High alloyed new stainless steel shielding material for gamma and fast neutron radiation. Nucl. Eng. Technol. 2020, 52, 647–653. [Google Scholar] [CrossRef]
- Kaewjaeng, S.; Kothan, S.; Chaiphaksa, W.; Chanthima, N.; Rajaramakrishna, R.; Kim, H.J.; Kaewkhao, J. High trans-parency La2O3-CaO-B2O3-SiO2 glass for diagnosis X-rays shielding material application. Radiat. Phys. Chem. 2019, 160, 41–47. [Google Scholar] [CrossRef]
- Sayyed, M.I.; Al-Hadeethi, Y.; AlShammari, M.M.; Ahmed, M.F.; Al-Heniti, S.H.; Rammah, Y.S. Physical, optical and gamma radiation shielding competence of newly borotellurite based glasses: TeO2–B2O3–ZnO–Li2O3–Bi2O3. Ceram. Int. 2021, 47, 611–618. [Google Scholar] [CrossRef]
- Alaylar, B.; Aygün, B.; Turhan, K.; Karadayi, G.; Erdem, Ş.; Singh, V.P.; Sayyed, M.I.; Pelit, E.; Karabulut, A.; Güllüce, M.; et al. Characterization of gamma-ray and neutron radiation absorption properties of synthesized quinoline derivatives and their genotoxic potential. Radiat. Phys. Chem. 2021, 184, 109471. [Google Scholar] [CrossRef]
- Sayyed, M.; Mhareb, M.; Alajerami, Y.; Mahmoud, K.; Imheidat, M.A.; Alshahri, F.; Alqahtani, M.; Al-Abdullah, T. Optical and radiation shielding features for a new series of borate glass samples. Optik 2021, 239, 166790. [Google Scholar] [CrossRef]
- Yasmin, S.; Rozaila, Z.S.; Khandaker, M.U.; Barua, B.S.; Chowdhury, F.U.Z.; Rashid, M.A.; Bradley, D.A. The radiation shield-ing offered by the commercial glass installed in Bangladeshi dwellings. Radiat. Eff. Defects Solids 2018, 173, 657–672. [Google Scholar] [CrossRef]
- Chanthima, N.; Kaewkhao, J.; Limkitjaroenporn, P.; Tuscharoen, S.; Kothan, S.; Tungjai, M.; Kaewjaeng, S.; Sarachai, S.; Limsuwan, P. Development of BaO–ZnO–B2O3 glasses as a radiation shielding material. Radiat. Phys. Chem. 2017, 137, 72–77. [Google Scholar] [CrossRef]
- Dong, M.; Zhou, S.; Xue, X.; Feng, X.; Sayyed, M.; Khandaker, M.U.; Bradley, D. The potential use of boron containing resources for protection against nuclear radiation. Radiat. Phys. Chem. 2021, 188, 109601. [Google Scholar] [CrossRef]
- Mhareb, M.H.A. Physical, optical and shielding features of Li2O–B2O3–MgO–Er2O3 glasses co-doped of Sm2O3. Appl. Phys. A 2020, 126, 71. [Google Scholar] [CrossRef]
- Sayyed, M.I.; Jecong, J.F.M.; Hila, F.C.; Balderas, C.V.; Alhuthali, A.M.S.; Guillermo, N.R.D.; Al-Hadeethi, Y. Radiation shielding characteristics of selected ceramics using the EP-ICS2017 library. Ceram. Int. 2021, 47, 13181–13186. [Google Scholar] [CrossRef]
- Gökçe, H.S.; Canbaz-Öztürk, B.; Çam, N.F.; Andiç-Çakır, Ö. Gamma-ray attenuation coefficients and transmis-sion thickness of high consistency heavyweight concrete containing mineral admixture. Cem. Concr. Compos. 2018, 92, 56–69. [Google Scholar] [CrossRef]
- Gökçe, H.S.; Yalçınkaya, Ç.; Tuyan, M. Optimization of reactive powder concrete by means of barite aggregate for both neutrons and gamma rays. Constr. Build. Mater. 2018, 189, 470–477. [Google Scholar] [CrossRef]
- Obaid, S.S.; Gaikwad, D.K.; Pawar, P.P. Determination of gamma ray shielding param-eters of rocks and concrete. Radiat. Phys. Chem. 2018, 144, 356–360. [Google Scholar] [CrossRef]
- Gherardi, F.; Goidanich, S.; Toniolo, L. Improvements in marble protection by means of innovative photocatalytic nanocomposites. Prog. Org. Coat. 2018, 121, 13–22. [Google Scholar] [CrossRef] [Green Version]
- Al-Hamarneh, I.F. Investigation of gamma-ray shielding effectiveness of natural marble used for external wall cladding of buildings in Riyadh, Saudi Arabia. Results Phys. 2017, 7, 1792–1798. [Google Scholar] [CrossRef]
- Medhat, M. Gamma-ray attenuation coefficients of some building materials available in Egypt. Ann. Nucl. Energy 2009, 36, 849–852. [Google Scholar] [CrossRef]
- El-Khayatt, A.; Akkurt, I. Photon interaction, energy absorption and neutron removal cross section of concrete including marble. Ann. Nucl. Energy 2013, 60, 8–14. [Google Scholar] [CrossRef]
- Berger, M.; Hubbell, J. XCOM: Photon Cross Sections on a Personal Computer; National Bureau of Standards, Center for Radiation Research: Washington, DC, USA, 1987. [CrossRef] [Green Version]
- Creagh, D.C.; Hubbell, J.H. Problems associated with measurement of X-ray attenuation coefficients. Acta Cryst. 1987, A43, 102–112. [Google Scholar] [CrossRef]
- McAlister, R.D. Gamma Ray Attenuation Properties of Common Shielding Materials; PG Research Foundation: Lisle, IL, USA, 2013; pp. 9–14. [Google Scholar]
- Abbas, M.I.; Elsafi, M.; Gouda, M.M.; Abd-Elzaher, M.; Hamzawy, A.; Badawi, M.S.; Thabet, A.A.; Noureddine, S.; El-Khatib, A.M. NaI cubic detector full-energy peak efficiency, including coincidence and self-absorption corrections for rectangular sources using analytical method. J. Radioanal. Nucl. Chem. 2021, 327, 251–258. [Google Scholar] [CrossRef]
- Badawi, M.S.; Noureddine, S.; Kopatch, Y.N.; Abbas, M.I.; Ruskov, I.N.; Grozdanov, D.N.; Thabet, A.A.; Fedorov, N.A.; Gouda, M.M.; Hramco, C.; et al. Characterization of the Efficiency of a Cubic NaI Detector with Rectangular Cav-ity for Axially Positioned Sources. J. Insturm. 2020, 15, P02013. [Google Scholar] [CrossRef]
- Abbas, M.I.; Badawi, M.S.; Thabet, A.A.; Kopatch, Y.N.; Ruskov, I.N.; Grozdanov, D.N.; Noureddine, S.; Fedorov, N.A.; Gouda, M.M.; Hramco, C.; et al. Efficiency of a cubic NaI(Tl) detector with rectangular cavity using standard radio-active point sources placed at non-axial position. Appl. Radiat. Isot. 2020, 163, 109139. [Google Scholar] [CrossRef]
- Elsafi, M.; Alzahrani, J.S.; Abbas, M.I.; Gouda, M.M.; Thabet, A.A.; Badawi, M.S.; El-Khatib, A.M. Geant4 Tracks of NaI Cubic Detector Peak Efficiency, Including Coincidence Summing Correction for Rectangular Sources. Nucl. Sci. Eng. 2021, 1–9. [Google Scholar] [CrossRef]
- Elsafi, M.; El-Nahal, M.; Sayyed, M.; Saleh, I.; Abbas, M. Effect of bulk and nanoparticle Bi2O3 on attenuation capability of radiation shielding glass. Ceram. Int. 2021, 47, 19651–19658. [Google Scholar] [CrossRef]
- Sayyed, M.I.; Olarinoye, O.I.; Elsafi, M. Assessment of gamma-radiation attenuation characteristics of Bi2O3–B2O3–SiO2–Na2O glasses using Geant4 simulation code. Eur. Phys. J. Plus 2021, 136, 535. [Google Scholar] [CrossRef]
- Elsafi, M.; Sayyed, M.I.; Almuqrin, A.H.; Gouda, M.M.; El-khatib, A.M. Analysis of particle size on mass de-pendent attenuation capability of bulk and nanoparticle PbO radiation shields. Results Phys. 2021, 26, 104458. [Google Scholar] [CrossRef]
- Al-Harbi, N.; Sayyed, M.; Al-Hadeethi, Y.; Kumar, A.; Elsafi, M.; Mahmoud, K.; Khandaker, M.U.; Bradley, D. A novel CaO-K2O-Na2O-P2O5 Glass Systems for Radiation Shielding Applications. Radiat. Phys. Chem. 2021, 188, 109645. [Google Scholar] [CrossRef]
- Manohara, S.R.; Hanagodimath, S.M.; Thind, K.S.; Gerward, L. On the effective atomic number and electron den-sity: A comprehensive set of formulas for all types of materials and energies above 1 keV. Nucl. Instrum. Methods Phys. Res. B 2008, 266, 3906–3912. [Google Scholar] [CrossRef]
- Olarinoye, I. Variation of effective atomic numbers of some thermoluminescence and phantom materials with photon energies. Res. J. Chem. Sci. 2011, 1, 64–69. [Google Scholar]
- Kaçal, M.; Akman, F.; Sayyed, M. Evaluation of gamma-ray and neutron attenuation properties of some polymers. Nucl. Eng. Technol. 2019, 51, 818–824. [Google Scholar] [CrossRef]
- Rammah, Y.; Olarinoye, I.; El-Agawany, F.; El-Adawy, A.; Yousef, E.S. The f-factor, neutron, gamma radiation and proton shielding competences of glasses with Pb or Pb/Bi heavy elements for nuclear protection applications. Ceram. Int. 2020, 46, 27163–27174. [Google Scholar] [CrossRef]
- Bashter, I. Calculation of radiation attenuation coefficients for shielding concretes. Ann. Nucl. Energy 1997, 24, 1389–1401. [Google Scholar] [CrossRef]
- Schott, A.G. Available online: https://www.schott.com/advanced_optics/english/index.html (accessed on 26 July 2021).
- Harima, Y.; Sakamoto, Y.; Tanaka, S.; Kawai, M. Validity of the Geometric-Progression Formula in Approximating Gamma-Ray Buildup Factors. Nucl. Sci. Eng. 1986, 94, 24–35. [Google Scholar] [CrossRef]
- Olarinoye, I.O. Photon buildup factors for tissues and phantom Materials for penetration depth up to 100 mfp. J. Nucl. Res. Dev. 2017, 13, 57–67. [Google Scholar]










| S.N | Commercial Name of Marble Samples | Production Region |
|---|---|---|
| M.B | Breshia | Sinai |
| M.G | Galala | Suez |
| M.T | Trista | Sinai |
| Sample | Chemical Composition (Weight %) | Density (g·cm−3) | ||||
|---|---|---|---|---|---|---|
| Na2O | Al2O3 | SiO2 | K2O | CaCO3 | ||
| M.B | ‒ | ‒ | 5.24 | ‒ | 94.76 | 2.82 |
| M.G | ‒ | ‒ | 3.52 | 0.325 | 96.155 | 2.76 |
| M.T | 0.2 | 0.36 | 1.52 | 0.16 | 97.76 | 2.71 |
| Energy (MeV) | M.B | M.G | M.T | ||||||
|---|---|---|---|---|---|---|---|---|---|
| XCOM | Expt. | R.D (%) | XCOM | Expt. | R.D (%) | XCOM | Expt. | R.D. (%) | |
| 0.060 | 0.375 | 0.374 | 0.216 | 0.377 | 0.377 | 0.1142 | 0.379 | 0.378 | 0.2453 |
| 0.122 | 0.167 | 0.167 | 0.0802 | 0.167 | 0.168 | 0.3371 | 0.168 | 0.168 | 0.2378 |
| 0.245 | 0.118 | 0.118 | 0.1931 | 0.118 | 0.118 | 0.2232 | 0.118 | 0.118 | 0.2355 |
| 0.344 | 0.103 | 0.103 | 0.2628 | 0.103 | 0.103 | 0.2519 | 0.103 | 0.103 | 0.2505 |
| 0.444 | 0.092 | 0.092 | 0.3491 | 0.092 | 0.092 | 0.3529 | 0.092 | 0.092 | 0.3505 |
| 0.662 | 0.077 | 0.077 | 0.6154 | 0.077 | 0.077 | 0.6139 | 0.077 | 0.077 | 0.6084 |
| 0.779 | 0.072 | 0.072 | 0.1689 | 0.072 | 0.072 | 0.1718 | 0.072 | 0.072 | 0.178 |
| 0.964 | 0.065 | 0.065 | 0.1267 | 0.065 | 0.065 | 0.1307 | 0.065 | 0.065 | 0.1374 |
| 1.110 | 0.061 | 0.06 | 0.9041 | 0.061 | 0.06 | 0.900 | 0.061 | 0.06 | 0.8931 |
| 1.170 | 0.059 | 0.059 | 0.069 | 0.059 | 0.059 | 0.0733 | 0.059 | 0.059 | 0.0803 |
| 1.330 | 0.055 | 0.055 | 0.4098 | 0.055 | 0.055 | 0.4055 | 0.055 | 0.055 | 0.3984 |
| 1.410 | 0.054 | 0.054 | 0.7507 | 0.054 | 0.054 | 0.7548 | 0.054 | 0.054 | 0.7618 |
Publisher’s Note: MDPI stays neutral with regard to jurisdictional claims in published maps and institutional affiliations. |
© 2021 by the authors. Licensee MDPI, Basel, Switzerland. This article is an open access article distributed under the terms and conditions of the Creative Commons Attribution (CC BY) license (https://creativecommons.org/licenses/by/4.0/).
Share and Cite
Elsafi, M.; El-Nahal, M.A.; Alrashedi, M.F.; Olarinoye, O.I.; Sayyed, M.I.; Khandaker, M.U.; Osman, H.; Alamri, S.; Abbas, M.I. Shielding Properties of Some Marble Types: A Comprehensive Study of Experimental and XCOM Results. Materials 2021, 14, 4194. https://doi.org/10.3390/ma14154194
Elsafi M, El-Nahal MA, Alrashedi MF, Olarinoye OI, Sayyed MI, Khandaker MU, Osman H, Alamri S, Abbas MI. Shielding Properties of Some Marble Types: A Comprehensive Study of Experimental and XCOM Results. Materials. 2021; 14(15):4194. https://doi.org/10.3390/ma14154194
Chicago/Turabian StyleElsafi, Mohamed, Mohamed A. El-Nahal, M. F. Alrashedi, O. I. Olarinoye, M. I. Sayyed, Mayeen Uddin Khandaker, Hamid Osman, Sultan Alamri, and M. I. Abbas. 2021. "Shielding Properties of Some Marble Types: A Comprehensive Study of Experimental and XCOM Results" Materials 14, no. 15: 4194. https://doi.org/10.3390/ma14154194
APA StyleElsafi, M., El-Nahal, M. A., Alrashedi, M. F., Olarinoye, O. I., Sayyed, M. I., Khandaker, M. U., Osman, H., Alamri, S., & Abbas, M. I. (2021). Shielding Properties of Some Marble Types: A Comprehensive Study of Experimental and XCOM Results. Materials, 14(15), 4194. https://doi.org/10.3390/ma14154194

