The Influence of Titanium Dioxide on Silicate-Based Glasses: An Evaluation of the Mechanical and Radiation Shielding Properties
Abstract
1. Introduction
2. Materials and Methods
2.1. Mechanical Properties
2.2. Shielding Properties
3. Results and Discussion
3.1. Mechanical Properties
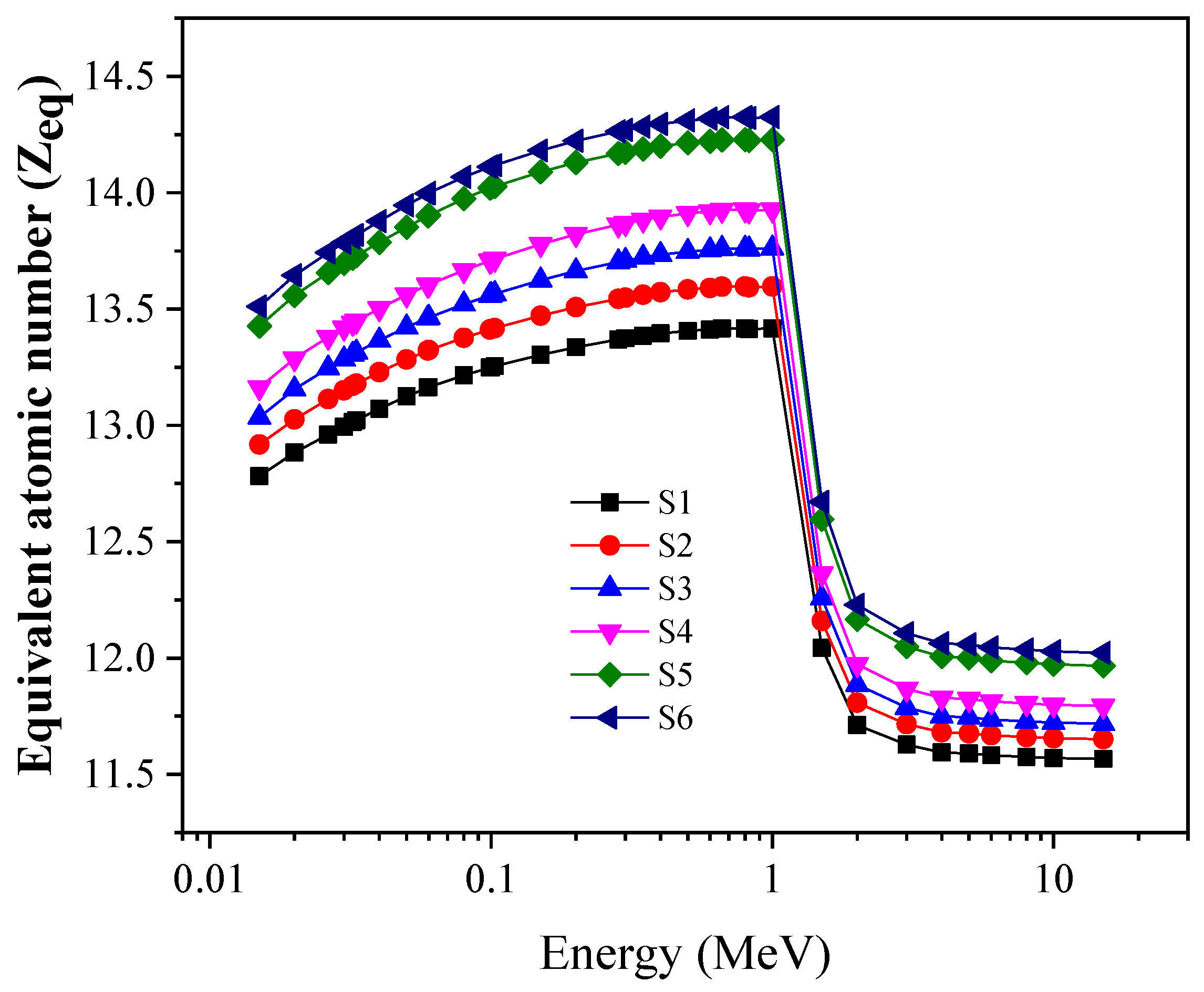
3.2. Shielding Properties
4. Conclusions
Author Contributions
Funding
Institutional Review Board Statement
Informed Consent Statement
Data Availability Statement
Conflicts of Interest
References
- Nagaraja, N.; Manjunatha, H.; Seenappa, L.; Sathish, K.; Sridhar, K.; Ramalingam, H. Gamma, X-ray and neutron shielding properties of boron polymers. Indian J. Pure Appl. Phys. 2020, 58, 271–276. [Google Scholar]
- Singh, K.; Singh, S.; Dhaliwal, A.S.; Singh, G. Gamma radiation shielding analysis of lead-flyash concretes. Appl. Radiat. Isot. 2015, 95, 174–179. [Google Scholar] [CrossRef]
- Composites, P.T.; Wu, Y.; Cao, Y.; Wu, Y.; Li, D. Mechanical Properties and Gamma-Ray Shielding Performance of 3D-Printed. Materials 2020, 13, 4475. [Google Scholar] [CrossRef]
- Mahmoud, K.A.; Tashlykov, O.L.; El Wakil, A.F.; El Aassy, I.E. Aggregates grain size and press rate dependence of the shielding parameters for some concretes. Prog. Nucl. Energy 2020, 118, 103092. [Google Scholar] [CrossRef]
- Rammah, Y.S.; Askin, A.; Abouhaswa, A.S.; El-Agawany, F.I.; Sayyed, M.I. Synthesis, physical, structural and shielding properties of newly developed B2O3–ZnO–PbO–Fe2O3 glasses using Geant4 code and WinXCOM program. Appl. Phys. A Mater. Sci. Process. 2019, 125. [Google Scholar] [CrossRef]
- Kurudirek, M. Radiation shielding and effective atomic number studies in different types of shielding concretes, lead base and non-lead base glass systems for total electron interaction: A comparative study. Nucl. Eng. Des. 2014, 280, 440–448. [Google Scholar] [CrossRef]
- Kaundal, R.S. Comparative study of radiation shielding parameters for binary oxide glasses. Orient. J. Chem. 2017, 33, 2324–2328. [Google Scholar] [CrossRef]
- Demirbay, T.; Çağlar, M.; Karabul, Y.; Kılıç, M.; İçelli, O.; Güven Özdemir, Z. Availability of water glass/Bi2O3 composites in dielectric and gamma-ray screening applications. Radiat. Eff. Defects Solids 2019, 174, 419–434. [Google Scholar] [CrossRef]
- Muthamma, M.V.; Gudennavar, B.S.; Gudennavar, S.B. Attenuation parameters of polyvinyl alcohol-tungsten oxide composites at the photon energies 5.895, 6.490, 59.54 and 662 keV. Polish J. Med. Phys. Eng. 2020, 26, 77–85. [Google Scholar] [CrossRef]
- Lakshminarayana, G.; Elmahroug, Y.; Kumar, A.; Tekin, H.O.; Rekik, N.; Dong, M.; Lee, D.E.; Yoon, J.; Park, T. Detailed inspection of γ-ray, fast and thermal neutrons shielding competence of calcium oxide or strontium oxide comprising bismuth borate glasses. Materials 2021, 14, 2265. [Google Scholar] [CrossRef]
- Kaewjaeng, S.; Kaewkhao, J.; Limsuwan, P.; Maghanemi, U. Effect of BaO on optical, physical and radiation shielding properties of SiO2-B2O3-Al2O3-CaO-Na2O glasses system. Procedia Eng. 2012, 32, 1080–1086. [Google Scholar] [CrossRef]
- Ruengsri, S. Radiation shielding properties comparison of Pb-based silicate, borate, and phosphate glass matrices. Sci. Technol. Nucl. Install. 2014, 2014. [Google Scholar] [CrossRef]
- Kharita, M.H.; Jabra, R.; Yousef, S.; Samaan, T. Shielding properties of lead and barium phosphate glasses. Radiat. Phys. Chem. 2012, 81, 1568–1571. [Google Scholar] [CrossRef]
- Tashlykov, O.L.; Vlasova, S.G.; Kovyazina, I.S.; Mahmoud, K.A. Repercussions of yttrium oxides on radiation shielding capacity of sodium-silicate glass system: Experimental and Monte Carlo simulation study. Eur. Phys. J. Plus 2021, 136, 428. [Google Scholar] [CrossRef]
- Limbach, R.; Karlsson, S.; Scannell, G.; Mathew, R.; Edén, M.; Wondraczek, L. The effect of TiO2 on the structure of Na2O-CaO-SiO2 glasses and its implications for thermal and mechanical properties. J. Non Cryst. Solids 2017, 471, 6–18. [Google Scholar] [CrossRef]
- Makishima, A.; Mackenzie, J.D. Direct calculation of Young’s moidulus of glass. J. Non Cryst. Solids 1973, 12, 35–45. [Google Scholar] [CrossRef]
- Makishima, A.; Mackenzie, J.D. Calculation of bulk modulus, shear modulus and Poisson’s ratio of glass. J. Non. Cryst. Solids 1975, 17, 147–157. [Google Scholar] [CrossRef]
- El-Adawy, A.; El-KheshKhany, N. Effect of rare earth (Pr2O3, Nd2O3, Sm2O3, Eu2O3, Gd2O3 and Er2O3) on the acoustic properties of glass belonging to bismuth-borate system. Solid State Commun. 2006, 139, 108–113. [Google Scholar] [CrossRef]
- General, M.A.; Carlo, M. LA-UR-03-1987 X-5 Monte Carlo Team; Los Alamos National Laboratory: Los Alamos, NM, USA, 2003; Volume 836.
- Erdem, Ş.; Özgür, F.; Al, B.; Sayyed, M.I.; Kurudirek, M. Phy-X/PSD: Development of a user friendly online software for calculation of parameters relevant to radiation shielding and dosimetry. Radiat. Phys. Chem. 2020, 166. [Google Scholar] [CrossRef]
- Mahmoud, K.A.; Tashlykov, O.L.; Mhareb, M.H.A.; Almuqrin, A.H.; Alajerami, M.; Sayyed, M.I. A new heavy-mineral doped clay brick for gamma-ray protection purposes. Appl. Radiat. Isot. 2021, 173, 109720. [Google Scholar] [CrossRef] [PubMed]
- Kumar, A.; Jain, A.; Sayyed, M.I.; Laariedh, F.; Mahmoud, K.A.; Nebhen, J.; Khandaker, M.U.; Faruque, M.R.I. Tailoring bismuth borate glasses by incorporating PbO/GeO2 for protection against nuclear radiation. Sci. Rep. 2021, 11, 1–14. [Google Scholar] [CrossRef]
- Inaba, S.; Fujino, S.; Morinaga, K. Young’s modulus and compositional parameters of oxide glasses. J. Am. Ceram. Soc. 1999, 82, 3501–3507. [Google Scholar] [CrossRef]
- Takahashi, K.; Mochida, N.; Yoshida, Y. Properties and structure of silicate glasses containing tetravalent cations. J. Ceram Soc. Jpn. 1977, 85, 330–340. [Google Scholar]
- Scannell, G.; Huang, L.; Rouxel, T. Elastic properties and indentation cracking behavior of Na2O-TiO2-SiO2 glasses. J. Non-Cryst. Solids 2015, 429, 129–142. [Google Scholar] [CrossRef]
- Villegas, M.A.; Depablos, A.; Fernandeznavarro, J.M. Properties of CaO-TiO2-SiO2 glasses. Glass Technol. 1994, 35, 276–280. [Google Scholar]
- Saunders, G.A.; Brennan, T.; Acet, M.; Cankurtaran, M.; Senin, H.B.; Sidek, H.A.A.; Federico, M. Elastic and non-linear acoustic properties and thermal expansion of cerium metaphosphate glasses. J. Non Cryst. Solids 2001, 282, 291–305. [Google Scholar] [CrossRef]
- Alazoumi, S.H.; Sidek, H.A.A.; Halimah, M.K.; Matori, K.A.; Zaid, M.H.M.; Abdulbaset, A.A. Synthesis and elastic properties of ternary ZnO-PbO-TeO2 glasses. Chalcogenide Lett. 2017, 14, 303–320. [Google Scholar]
- Hehn, G. Principles of Radiation Shielding. Nucl. Technol. 1986, 74, 104–105. [Google Scholar] [CrossRef]
- Medhat, M.E.; Wang, Y. Geant4 code for simulation attenuation of gamma rays through scintillation detectors. Ann. Nucl. Energy 2013, 62, 316–320. [Google Scholar] [CrossRef]
- Singh, V.P.; Medhat, M.E.; Shirmardi, S.P. Comparative studies on shielding properties of some steel alloys using Geant4, MCNP, WinXCOM and experimental results. Radiat. Phys. Chem. 2015, 106, 255–260. [Google Scholar] [CrossRef]
- Singh, V.P.; Badiger, N.M.; Kaewkhao, J. Radiation shielding competence of silicate and borate heavy metal oxide glasses: Comparative study. J. Non Cryst. Solids 2014, 404, 167–173. [Google Scholar] [CrossRef]
- Mahmoud, K.A.; El-Agwany, F.I.; Rammah, Y.S.; Tashlykov, O.L. Gamma ray shielding capacity and build up factors of CdO doped lithium borate glasses: Theoretical and simulation study. J. Non Cryst. Solids 2020, 541, 120110. [Google Scholar] [CrossRef]
- Rammah, Y.S.; Mahmoud, K.A.; Sayyed, M.I.; El-Agawany, F.I.; El-Mallawany, R. Novel vanadyl lead-phosphate glasses: P2O5–PbO–ZnO[sbnd]Na2O–V2O5: Synthesis, optical, physical and gamma photon attenuation properties. J. Non Cryst. Solids 2020, 534, 119944. [Google Scholar] [CrossRef]















| Samples | Chemical Composition (mol%) | Density (g/cm3) | MW (g/mol) | Vm (cm3/mol) | |||
|---|---|---|---|---|---|---|---|
| Na2O | CaO | SiO2 | TiO2 | ||||
| S1 | 14.6 | 14.0 | 69.8 | 1.7 | 2.6 | 60.2 | 23.5 |
| S2 | 14.6 | 14.0 | 68.3 | 3.0 | 2.6 | 60.3 | 23.5 |
| S3 | 15.0 | 13.3 | 67.0 | 4.7 | 2.6 | 60.8 | 23.4 |
| S4 | 15.0 | 13.2 | 65.8 | 6.0 | 2.6 | 61.0 | 23.4 |
| S5 | 15.1 | 13.9 | 62.8 | 8.3 | 2.6 | 61.4 | 23.3 |
| S6 | 15.0 | 13.8 | 61.3 | 9.0 | 2.7 | 61.8 | 23.2 |
| Sample | Vi | νl (m/s) | νs (m/s) | Softening Temperature (Ts, °C) | Fractal Bond Conductivity (d) |
|---|---|---|---|---|---|
| S1 | 12.97 | 5690.29 | 3293.03 | 502.54 | 2.42 |
| S2 | 12.95 | 5690.78 | 3294.95 | 503.09 | 2.42 |
| S3 | 13.00 | 5713.09 | 3299.95 | 502.75 | 2.40 |
| S4 | 13.01 | 5724.26 | 3305.41 | 504.44 | 2.40 |
| S5 | 12.99 | 5735.65 | 3307.32 | 502.05 | 2.39 |
| S6 | 13.00 | 5756.59 | 3314.36 | 502.59 | 2.38 |
| Energy | Mass Attenuation Coefficient (cm2/g) | |||||||||||||||||
|---|---|---|---|---|---|---|---|---|---|---|---|---|---|---|---|---|---|---|
| (MeV) | S1 | S2 | S3 | S4 | S5 | S6 | ||||||||||||
| MCNP-5 | Phy-X | ∆ (%) | MCNP-5 | Phy-X | ∆ (%) | MCNP-5 | Phy-X | ∆ (%) | MCNP-5 | Phy-X | ∆ (%) | MCNP-5 | Phy-X | ∆ (%) | MCNP-5 | Phy-X | ∆ (%) | |
| 0.0263 | 1.648 | 1.641 | 0.432 | 1.705 | 1.697 | 0.439 | 1.753 | 1.746 | 0.435 | 1.805 | 1.797 | 0.463 | 1.916 | 1.907 | 0.463 | 1.953 | 1.943 | 0.468 |
| 0.0332 | 0.907 | 0.907 | 0.042 | 0.936 | 0.935 | 0.047 | 0.960 | 0.960 | 0.042 | 0.986 | 0.986 | 0.072 | 1.042 | 1.042 | 0.069 | 1.061 | 1.060 | 0.075 |
| 0.0595 | 0.292 | 0.291 | 0.105 | 0.297 | 0.296 | 0.113 | 0.301 | 0.301 | 0.110 | 0.306 | 0.305 | 0.128 | 0.315 | 0.315 | 0.132 | 0.318 | 0.318 | 0.132 |
| 0.099 | 0.177 | 0.177 | −0.029 | 0.178 | 0.178 | −0.027 | 0.179 | 0.179 | −0.029 | 0.180 | 0.180 | −0.024 | 0.182 | 0.182 | −0.026 | 0.182 | 0.182 | −0.025 |
| 0.103 | 0.172 | 0.173 | −0.037 | 0.173 | 0.173 | −0.039 | 0.174 | 0.174 | −0.036 | 0.175 | 0.175 | −0.032 | 0.177 | 0.177 | −0.030 | 0.177 | 0.177 | −0.028 |
| 0.284 | 0.110 | 0.110 | −0.201 | 0.109 | 0.110 | −0.202 | 0.109 | 0.110 | −0.203 | 0.109 | 0.110 | −0.201 | 0.109 | 0.110 | −0.202 | 0.109 | 0.110 | −0.203 |
| 0.347 | 0.101 | 0.101 | −0.114 | 0.101 | 0.101 | −0.115 | 0.101 | 0.101 | −0.115 | 0.101 | 0.101 | −0.113 | 0.101 | 0.101 | −0.115 | 0.101 | 0.101 | −0.116 |
| 0.511 | 0.086 | 0.086 | −0.105 | 0.086 | 0.086 | −0.106 | 0.086 | 0.086 | −0.105 | 0.086 | 0.086 | −0.105 | 0.086 | 0.086 | −0.106 | 0.086 | 0.086 | −0.106 |
| 0.662 | 0.077 | 0.077 | −0.142 | 0.077 | 0.077 | −0.142 | 0.077 | 0.077 | −0.141 | 0.077 | 0.077 | −0.143 | 0.077 | 0.077 | −0.143 | 0.076 | 0.077 | −0.143 |
| 0.826 | 0.069 | 0.069 | −0.134 | 0.069 | 0.069 | −0.134 | 0.069 | 0.069 | −0.134 | 0.069 | 0.069 | −0.134 | 0.069 | 0.069 | −0.134 | 0.069 | 0.069 | −0.134 |
| 1.173 | 0.058 | 0.058 | −0.363 | 0.058 | 0.058 | −0.366 | 0.058 | 0.058 | −0.368 | 0.058 | 0.058 | −0.371 | 0.058 | 0.058 | −0.374 | 0.058 | 0.058 | −0.377 |
| 1.28 | 0.056 | 0.056 | −0.501 | 0.056 | 0.056 | −0.503 | 0.056 | 0.056 | −0.505 | 0.056 | 0.056 | −0.508 | 0.056 | 0.056 | −0.512 | 0.056 | 0.056 | −0.513 |
| 1.33 | 0.055 | 0.055 | −0.288 | 0.055 | 0.055 | −0.290 | 0.055 | 0.055 | −0.292 | 0.054 | 0.055 | −0.294 | 0.054 | 0.055 | −0.221 | 0.054 | 0.055 | −0.222 |
| E (MeV) | Zeq | EBF | EABF | ||||||||
|---|---|---|---|---|---|---|---|---|---|---|---|
| a | b | c | d | Xk | a | b | c | d | Xk | ||
| 0.015 | 13.51 | 0.24 | 1.03 | 0.37 | −0.16 | 13.67 | 0.21 | 1.03 | 0.39 | −0.12 | 12.58 |
| 0.02 | 13.65 | 0.19 | 1.06 | 0.41 | −0.11 | 16.31 | 0.2 | 1.06 | 0.4 | −0.11 | 16.47 |
| 0.03 | 13.79 | 0.21 | 1.19 | 0.4 | −0.11 | 14.22 | 0.21 | 1.19 | 0.4 | −0.12 | 14.33 |
| 0.04 | 13.88 | 0.19 | 1.4 | 0.47 | −0.10 | 14.38 | 0.19 | 1.41 | 0.46 | −0.10 | 14.64 |
| 0.05 | 13.95 | 0.13 | 1.65 | 0.58 | −0.07 | 15.18 | 0.12 | 1.69 | 0.6 | −0.06 | 16.73 |
| 0.06 | 14 | 0.09 | 1.89 | 0.7 | −0.05 | 15.29 | 0.14 | 2.18 | 0.6 | −0.08 | 13.56 |
| 0.08 | 14.07 | 0.06 | 2.39 | 0.83 | −0.05 | 14.54 | 0.07 | 3.04 | 0.81 | −0.05 | 13.96 |
| 0.1 | 14.11 | 0.01 | 2.6 | 1.01 | −0.03 | 13.7 | 0.01 | 3.68 | 1.02 | −0.03 | 13.76 |
| 0.15 | 14.18 | −0.04 | 2.71 | 1.26 | −0.01 | 10.63 | −0.06 | 4.03 | 1.33 | 0.01 | 15.07 |
| 0.2 | 14.22 | −0.06 | 2.66 | 1.36 | −0.01 | 8.02 | −0.08 | 3.69 | 1.48 | 0.02 | 14.78 |
| 0.3 | 14.27 | −0.08 | 2.47 | 1.46 | 0.01 | 17.52 | −0.10 | 3.12 | 1.57 | 0.03 | 14.37 |
| 0.4 | 14.3 | −0.08 | 2.35 | 1.46 | 0.02 | 16.23 | −0.10 | 2.79 | 1.56 | 0.03 | 14.77 |
| 0.5 | 14.31 | −0.08 | 2.24 | 1.45 | 0.02 | 16.3 | −0.09 | 2.58 | 1.53 | 0.03 | 15.01 |
| 0.6 | 14.32 | −0.08 | 2.17 | 1.42 | 0.02 | 17.94 | −0.09 | 2.44 | 1.49 | 0.03 | 14.99 |
| 0.8 | 14.32 | −0.07 | 2.05 | 1.38 | 0.02 | 15.4 | −0.08 | 2.24 | 1.42 | 0.03 | 15.12 |
| 1 | 14.33 | −0.06 | 1.97 | 1.32 | 0.02 | 16.21 | −0.07 | 2.12 | 1.36 | 0.02 | 14.99 |
| 1.5 | 12.67 | −0.05 | 1.86 | 1.23 | 0.02 | 15.53 | −0.05 | 1.94 | 1.25 | 0.02 | 14.65 |
| 2 | 12.23 | −0.03 | 1.79 | 1.15 | 0.01 | 15.92 | −0.04 | 1.83 | 1.16 | 0.01 | 14.53 |
| 3 | 12.11 | −0.01 | 1.67 | 1.06 | 0 | 15.86 | −0.01 | 1.7 | 1.06 | 0 | 14.34 |
| 4 | 12.06 | 0.01 | 1.6 | 1 | −0.01 | 12.97 | 0.01 | 1.61 | 0.99 | −0.01 | 14.35 |
| 5 | 12.06 | 0.02 | 1.54 | 0.94 | −0.02 | 10.21 | 0.03 | 1.55 | 0.92 | −0.03 | 13.09 |
| 6 | 12.05 | 0.02 | 1.48 | 0.93 | −0.02 | 12.02 | 0.02 | 1.47 | 0.93 | −0.03 | 15.4 |
| 8 | 12.04 | 0.03 | 1.4 | 0.9 | −0.03 | 13.85 | 0.03 | 1.38 | 0.91 | −0.02 | 12.04 |
| 10 | 12.03 | 0.04 | 1.34 | 0.89 | −0.03 | 13.09 | 0.03 | 1.31 | 0.92 | −0.03 | 14.56 |
| 15 | 12.02 | 0.06 | 1.25 | 0.85 | −0.05 | 14.25 | 0.06 | 1.23 | 0.84 | −0.05 | 14.16 |
Publisher’s Note: MDPI stays neutral with regard to jurisdictional claims in published maps and institutional affiliations. |
© 2021 by the authors. Licensee MDPI, Basel, Switzerland. This article is an open access article distributed under the terms and conditions of the Creative Commons Attribution (CC BY) license (https://creativecommons.org/licenses/by/4.0/).
Share and Cite
Albarzan, B.; Hanfi, M.Y.; Almuqrin, A.H.; Sayyed, M.I.; Alsafi, H.M.; Mahmoud, K.A. The Influence of Titanium Dioxide on Silicate-Based Glasses: An Evaluation of the Mechanical and Radiation Shielding Properties. Materials 2021, 14, 3414. https://doi.org/10.3390/ma14123414
Albarzan B, Hanfi MY, Almuqrin AH, Sayyed MI, Alsafi HM, Mahmoud KA. The Influence of Titanium Dioxide on Silicate-Based Glasses: An Evaluation of the Mechanical and Radiation Shielding Properties. Materials. 2021; 14(12):3414. https://doi.org/10.3390/ma14123414
Chicago/Turabian StyleAlbarzan, Badriah, Mohamed Y. Hanfi, Aljawhara H. Almuqrin, M. I. Sayyed, Haneen M. Alsafi, and K. A. Mahmoud. 2021. "The Influence of Titanium Dioxide on Silicate-Based Glasses: An Evaluation of the Mechanical and Radiation Shielding Properties" Materials 14, no. 12: 3414. https://doi.org/10.3390/ma14123414
APA StyleAlbarzan, B., Hanfi, M. Y., Almuqrin, A. H., Sayyed, M. I., Alsafi, H. M., & Mahmoud, K. A. (2021). The Influence of Titanium Dioxide on Silicate-Based Glasses: An Evaluation of the Mechanical and Radiation Shielding Properties. Materials, 14(12), 3414. https://doi.org/10.3390/ma14123414

