Diffusion in Copper/Cobalt Systems under High Magnetic Fields
Abstract
1. Introduction
2. Experimental
2.1. Preparation of Diffusion Couples
2.2. Diffusion Annealing under a Static Magnetic Field
2.3. Evaluation of Atom Diffusivity
3. Results
3.1. Distribution of Cobalt and Copper in the Annealed Cu/Co Diffusion Couple with and without a High Magnetic Field
3.2. Cobalt Volume Diffusivity in Copper under a High Magnetic Field
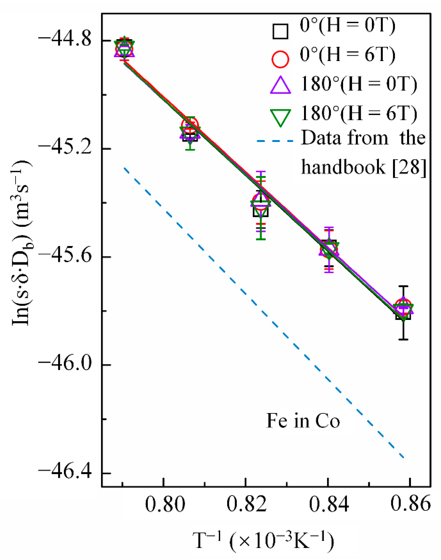
3.3. Grain-Boundary Diffusivity of Copper in Cobalt under a High Magnetic Field
4. Discussion
4.1. The Effect of a High Magnetic Field on the Cobalt Volume Diffusivity in Copper
4.2. The Effect of a High Magnetic Field on the Grain-Boundary Diffusivity of Copper in Cobalt
5. Conclusions
- According to Harrison’s classification, the diffusion of cobalt in copper and that of copper in cobalt were considered type A and type B diffusions.
- In contrast to the enhancement of the cobalt volume diffusion in copper induced by the high magnetic field, which is independent of the angle between DD and MFD (0° or 180°), no visible effect of the magnetic field on the grain-boundary diffusivities of copper in cobalt.
- The high magnetic field can increase the cobalt volume diffusivity by increasing the frequency factor, whereas it has a lower effect on the activation energy.
- This improvement is a result of the increase in diffusion entropy caused by the change in the vacancy concentration in the copper matrix under the high magnetic field.
Author Contributions
Funding
Institutional Review Board Statement
Informed Consent Statement
Data Availability Statement
Conflicts of Interest
References
- Harada, K.; Tsurekawa, S.; Watanabe, T.; Palumbo, G. Enhancement of homogeneity of grain boundary microstructure by magnetic annealing of electrodeposited nanocrystalline nickel. Scr. Mater. 2003, 49, 367–372. [Google Scholar] [CrossRef]
- Molodov, D.A.; Sheikh-Ali, A.D. Effect of magnetic field on texture evolution in titanium. Acta Mater. 2004, 52, 4377–4383. [Google Scholar] [CrossRef]
- Divinski, S.; Lohmann, M.; Herzig, C. Grain boundary diffusion and segregation of Bi in Cu: Radiotracer measurements in B and C diffusion regimes. Acta Mater. 2004, 52, 3973–3982. [Google Scholar] [CrossRef]
- Zhang, Y.; Gey, N.; He, C.; Zhao, X.; Zuo, L.; Esling, C. High temperature tempering behaviors in a structural steel under high magnetic field. Acta Mater. 2004, 52, 3467–3474. [Google Scholar] [CrossRef]
- Li, Z.F.; Dong, J.; Zeng, X.Q.; Lu, C.; Ding, W.J.; Ren, Z.M. Influence of strong static magnetic field on intermediate phase growth in Mg–Al diffusion couple. J. Alloys Compd. 2007, 440, 132–136. [Google Scholar] [CrossRef]
- Li, D.; Wang, K.; Wang, Q.; Ma, X.; Wu, C.; He, J. Diffusion interaction between Al and Mg controlled by a high magnetic field. Appl. Phys. A 2011, 105, 969–974. [Google Scholar] [CrossRef]
- Ren, X.; Chen, G.; Zhou, W.; Wu, C.; Zhang, J. Effect of high magnetic field on intermetallic phase growth in Ni–Al diffusion couples. J. Alloys Compd. 2009, 472, 525–529. [Google Scholar] [CrossRef]
- Nakajima, H.; Maekawa, S.; Aoki, Y.; Koiwa, M. Diffusion of Nickel in Titanium in a Magnetic Field. Trans. Jpn. Inst. Met. 1985, 26, 1–6. [Google Scholar] [CrossRef]
- Nakamichi, S.; Tsurekawa, S.; Morizono, Y.; Watanabe, T.; Nishida, M.; Chiba, A. Diffusion of carbon and titanium in γ -iron in a magnetic field and a magnetic field gradient. J. Mater. Sci. 2005, 40, 3191–3198. [Google Scholar] [CrossRef]
- Youdelis, W.V.; Colton, D.R.; Cahoon, J. On the theory of diffusion in a magnetic field. Can. J. Phys. 1964, 42, 2217–2237. [Google Scholar] [CrossRef]
- Chen, G.; Ren, X.; Zhou, W.; Zhang, J. Atomic interdiffusion in Ni–Cu system under high magnetic field. Trans. Nonferrous Met. Soc. China 2013, 23, 2460–2464. [Google Scholar] [CrossRef]
- Liu, T.; Li, D.; Wang, Q.; Wang, K.; Xu, Z.; He, J. Enhancement of the Kirkendall effect in Cu–Ni diffusion couples induced by high magnetic fields. J. Appl. Phys. 2010, 107, 103542. [Google Scholar] [CrossRef]
- Fan, L.; Zhong, Y.; Xu, Y.; Shen, Z.; Zheng, T.; Ren, Z. Effect of static magnetic field on microstructure and interdiffusion behavior of Fe/Fe–Si alloy diffusion couple. J. Alloys Compd. 2015, 645, 369–375. [Google Scholar] [CrossRef]
- Fan, L.; Zhong, Y.; Xu, Y.; Zheng, T.; Shen, Z.; Ren, Z. Dual-effects of 6 T strong magnetic field on interdiffusion behavior of Fe-FeSi diffusion couple. Mater. Charact. 2019, 151, 280–285. [Google Scholar] [CrossRef]
- Pokoev, A.V.; Fedotov, A.A. Magneto-Diffusional Effect in Ferromagnets in the Constant and Pulsed Magnetic Fields. Defect Diffus. Forum 2015, 363, 190–195. [Google Scholar] [CrossRef]
- Pokoev, A.V.; Stepanov, D.I.; Trofimov, I.S.; Mazanko, V.F. The Constant Magnetic Field Influence on Diffusion of 63Ni in α-Fe. Phys. Status Solidi A 1993, 137, K1–K3. [Google Scholar] [CrossRef]
- Fujii, H.; Tsurekawa, S. Diffusion of carbon in iron under magnetic fields. Phys. Rev. B 2011, 83, 054412. [Google Scholar] [CrossRef]
- Wang, W. Diffusion Behavior of Different Magnetic Component under High Magnetic Fields. Master’s Thesis, Northeastern University, Shenyang, China, 2012. [Google Scholar]
- Mackliet, C.A. Diffusion of Iron, Cobalt, and Nickel in Single Crystals of Pure Copper. Phys. Rev. 1958, 109, 1964–1970. [Google Scholar] [CrossRef]
- Bruni, F.J.; Christian, J.W. The chemical diffusion coefficient in dilute copper-cobalt alloys. Acta Metall. 1973, 21, 385–390. [Google Scholar] [CrossRef]
- Döhl, R.; Macht, M.P.; Naundorf, V. Measurement of the diffusion coefficient of cobalt in copper. Phys. Status Solidi A 1984, 86, 603–612. [Google Scholar] [CrossRef]
- Whipple, R.T.P. CXXXVIII. Concentration contours in grain boundary diffusion. Philos. Mag. J. Sci. 1954, 45, 1225–1236. [Google Scholar] [CrossRef]
- Fisher, J.C. Calculation of Diffusion Penetration Curves for Surface and Grain Boundary Diffusion. J. Appl. Phys. 1951, 22, 74–77. [Google Scholar] [CrossRef]
- Nishizawa, T.; Ishida, K. The Co−Cu (Cobalt-Copper) system. Bull. Alloy Phase Diagr. 1984, 5, 161–165. [Google Scholar] [CrossRef]
- Harrison, L.G. Influence of dislocations on diffusion kinetics in solids with particular reference to the alkali halides. Trans. Faraday Soc. 1961, 57, 1191–1199. [Google Scholar] [CrossRef]
- Arita, M.; Nakamura, M.; Goto, K.S.; Ichinose, Y. Activity and Diffusivity Measurements of Copper in α Cobalt by Equilibration between Solid Co and Liquid Ag. Trans. Jpn. Inst. Met. 1984, 25, 703–709. [Google Scholar] [CrossRef][Green Version]
- Bokstein, B.; Rodin, A. Grain Boundary Diffusion and Grain Boundary Segregation in Metals and Alloys. Diffus. Found. 2014, 1, 99–122. [Google Scholar] [CrossRef]
- Kaur, I.; Gust, W. Grain and interphase boundary diffusion. In Diffusion in Solid Metals and Alloys, 1st ed.; Mehrer, H., Ed.; Springer: Berlin, Germany, 1990; p. 648. [Google Scholar]
- Brik, V.; Larikov, L.; Fal’chenko, V. Study of growth kinetics of recrystallization centres and grains in Thallium with high degree of purity. Ukr. Fiz. Zh. 1975, 20, 397. [Google Scholar]
- Mittemeijer, E.J. Fundamentals of Materials Science: The Microstructure–Property Relationship Using Metals as Model Systems; Springer Science & Business Media: Berlin, Germany, 2010; pp. 202, 348–350. [Google Scholar]
- Pokoev, A.V.; Stepanov, D.I. Anisotropy of 63Ni Diffusion in Monocrystalline Fe-1.94 at. % Si in a Constant Magnetic Field. Defect Diffus. Forum 1997, 143–147, 419–424. [Google Scholar] [CrossRef]
- Anand, M.S.; Agarwala, R.P. Diffusion of Copper in Iron. J. Appl. Phys. 1966, 37, 4248–4251. [Google Scholar] [CrossRef]
- Lowance, F.E.; Constant, F.W. The Structure Sensitiveness of Magnetism in Metals. Phys. Rev. 1931, 38, 1547–1551. [Google Scholar] [CrossRef]
- Bitter, F. On the Magnetic Properties of Metals. Phys. Rev. 1930, 36, 978–983. [Google Scholar] [CrossRef]
- Paul, A.; Laurila, T.; Divinski, S. Chapter 1—Defects, Driving Forces and Definitions of Diffusion Coefficients in Solids. In Handbook of Solid State Diffusion; Paul, A., Divinski, S., Eds.; Elsevier: Cambridge, MA, USA, 2017; Volume 1, pp. 6–7. [Google Scholar]
- Mehrer, H. Diffusion in Solids: Fundamentals, Methods, Materials, Diffusion-Controlled Processes; Springer Science & Business Media: Berlin, Germany, 2007; Volume 155, p. 65. [Google Scholar]
- Mishin, Y.; Herzig, C. Grain boundary diffusion: Recent progress and future research. Mater. Sci. Eng. A 1999, 260, 55–71. [Google Scholar] [CrossRef]






| Temperature T/K | Time t/h | The Angle between MFD and Co DD | Magnetic Field Intensity H/T | 
|---|---|---|---|
| 1265 | 4.5 | 0°/180° | 0 | 
| 1265 | 4.5 | 0°/180° | 6 | 
| 1240 | 6.6 | 0°/180° | 0 | 
| 1240 | 6.6 | 0°/180° | 1 | 
| 1240 | 6.6 | 0°/180° | 3 | 
| 1240 | 6.6 | 0°/180° | 6 | 
| 1214 | 9 | 0°/180° | 0 | 
| 1214 | 9 | 0°/180° | 6 | 
| 1190 | 12 | 0°/180° | 0 | 
| 1190 | 12 | 0°/180° | 6 | 
| 1165 | 15 | 0°/180° | 0 | 
| 1165 | 15 | 0°/180° | 6 | 
| The Angle between MFD and DD of Co | Magnetic Field Intensity H/T | Frequency Factor D0/m2 s−1 | Activation Energy Q/kJmol−1 | 
|---|---|---|---|
| 0° | 0 | 4.7 × 10−4 | 240 ± 30 | 
| 0° | 6 | 8.1 × 10−4 | 244 ± 36 | 
| 180° | 0 | 3.4 × 10−4 | 236 ± 41 | 
| 180° | 6 | 5.1 × 10−4 | 239 ± 35 | 
| The Angle between MFD and DD of Cu | Magnetic Field Intensity H/T | Frequency Factor | Activation Energy Q/kJmol−1 | 
|---|---|---|---|
| 0° | 0 | 2.1 × 10−15 | 116 ± 31 | 
| 0° | 6 | 2.0 × 10−15 | 116 ± 24 | 
| 180° | 0 | 1.7 × 10−15 | 114 ± 23 | 
| 180° | 6 | 2.0 × 10−15 | 116 ± 29 | 
| Publisher’s Note: MDPI stays neutral with regard to jurisdictional claims in published maps and institutional affiliations. | 
© 2021 by the authors. Licensee MDPI, Basel, Switzerland. This article is an open access article distributed under the terms and conditions of the Creative Commons Attribution (CC BY) license (https://creativecommons.org/licenses/by/4.0/).
Share and Cite
Zhang, Z.; Zhao, X.; Tsurekawa, S. Diffusion in Copper/Cobalt Systems under High Magnetic Fields. Materials 2021, 14, 3104. https://doi.org/10.3390/ma14113104
Zhang Z, Zhao X, Tsurekawa S. Diffusion in Copper/Cobalt Systems under High Magnetic Fields. Materials. 2021; 14(11):3104. https://doi.org/10.3390/ma14113104
Chicago/Turabian StyleZhang, Zhiwei, Xiang Zhao, and Sadahiro Tsurekawa. 2021. "Diffusion in Copper/Cobalt Systems under High Magnetic Fields" Materials 14, no. 11: 3104. https://doi.org/10.3390/ma14113104
APA StyleZhang, Z., Zhao, X., & Tsurekawa, S. (2021). Diffusion in Copper/Cobalt Systems under High Magnetic Fields. Materials, 14(11), 3104. https://doi.org/10.3390/ma14113104
 
         
                                                

 
       