The Use of an Ultrasonic Field in Support of Classical Methods of Oxidising Component Leached from Microplastics in Bottom Sediments
Abstract
1. Introduction
2. Materials and Methods
2.1. Chemicals
2.2. The Samples of Bottom Sediment
2.3. Experimental Conditions for the Degradation
2.4. Chemical Analysis
2.5. Statistical Analysis
3. Results and Discussion
3.1. Determining the Optimal Dose of Reagents and pH of the Reaction Medium
3.1.1. The Process Using Hydrogen Peroxide (H2O2) and Its Support with an Ultrasonic Field (H2O2/UD)
3.1.2. The Fenton Process Unsupported (H2O2/Fe2+) or and Supported by an Ultrasonic Field (H2O2/Fe2+/UD)
3.1.3. The Modified Fenton Process (H2O2/Fe3+) as Supported with an Ultrasonic Field (H2O2/Fe3+/UD)
3.2. Impact on Degradation of the Initial Content of Di(2-ethylhexyl) Phthalate
3.2.1. The Process Using Hydrogen Peroxide as Supported by an Ultrasonic Field
3.2.2. The Fenton Process as Supported by an Ultrasonic Field
3.2.3. A Modified Fenton Process Supported by an Ultrasonic Field
3.2.4. Reaction Kinetics
3.3. The Impact of Acoustic-Wave Energetic Parameters on DEHP Degradation
3.4. The Impact of Ageing on DEHP Degradation
3.5. Impacts on Dissolved Organic Carbon (DOC) and Organic Matter (OM)
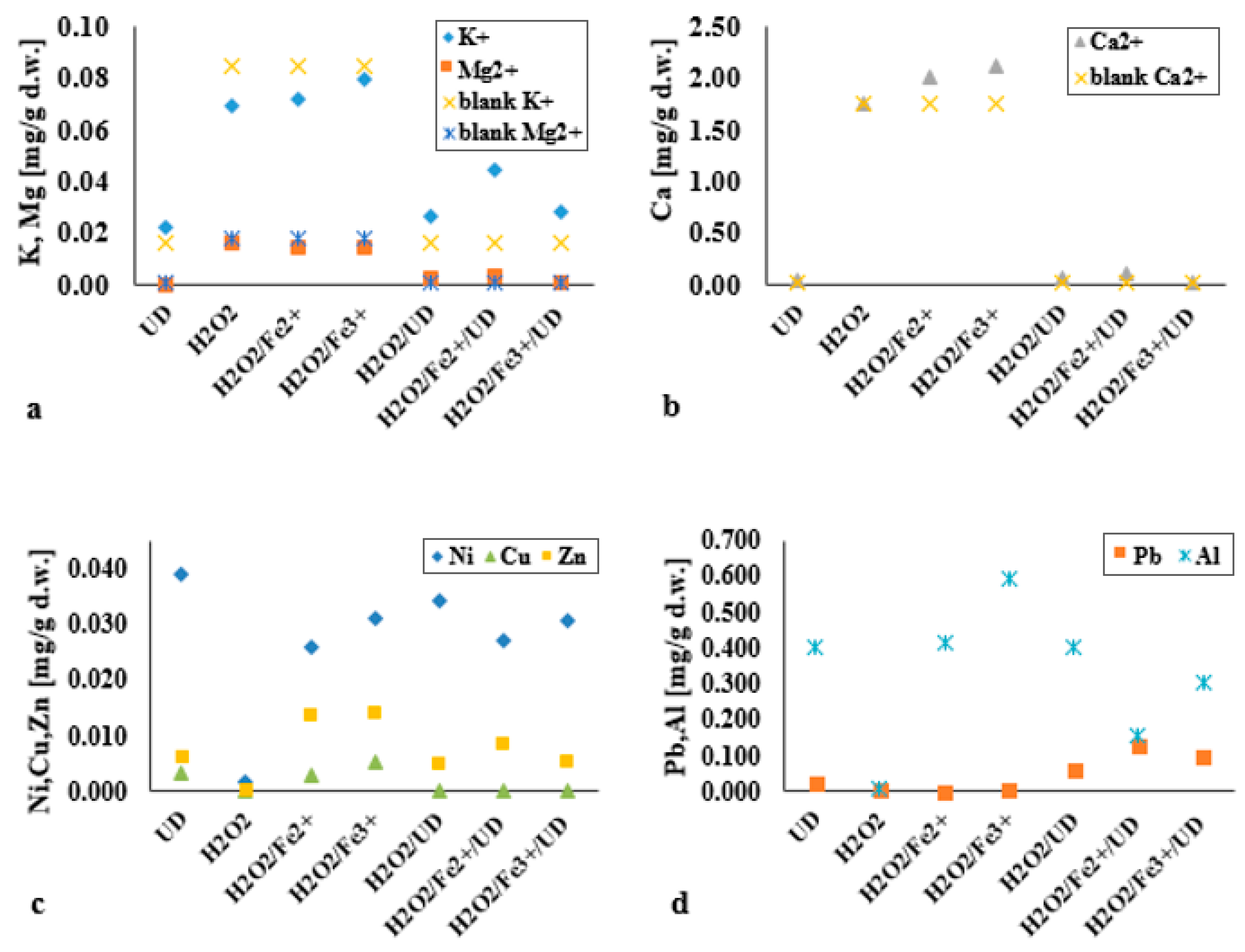
3.6. The Impact of the Applied Processes on the Elution of Selected Components from the Bottom-Sediment Matrix
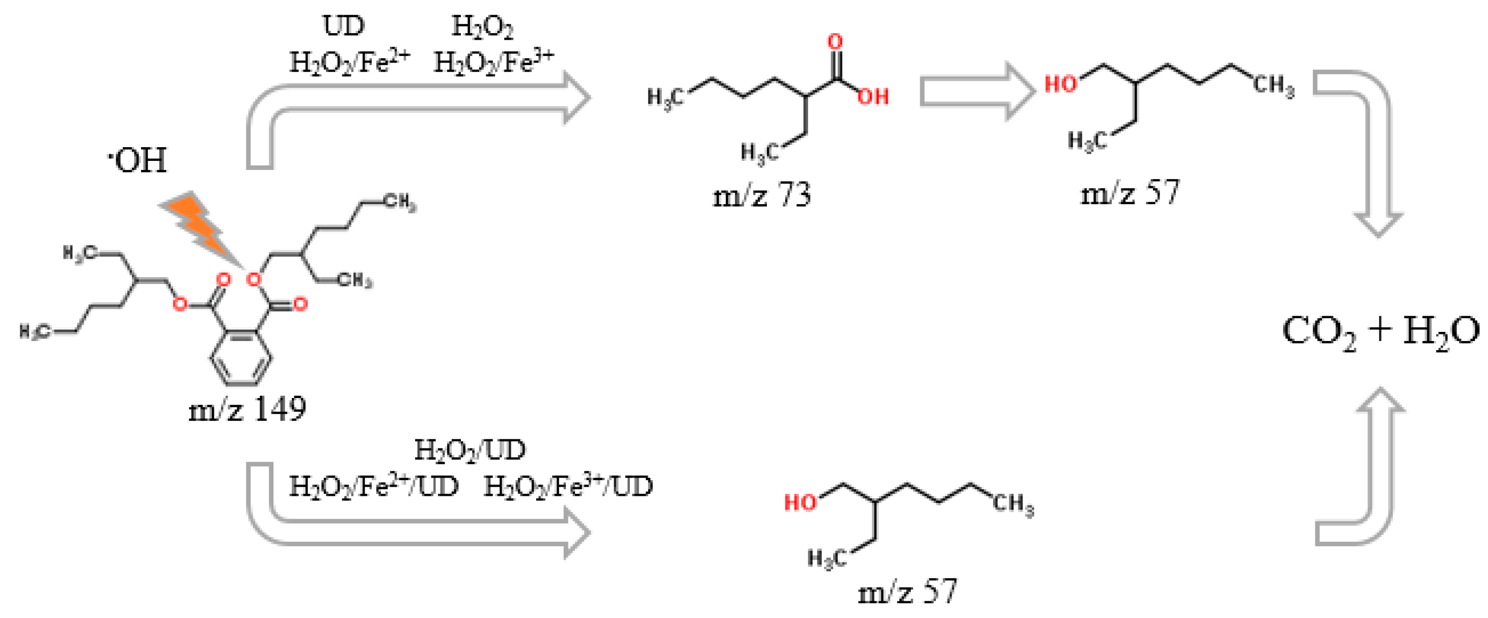
3.7. Impact of Processes Applied on the Formation of Intermediate Products
4. Conclusions
- Neither a process using hydrogen peroxide, nor the classic Fenton reaction, nor a modified Fenton process proved effective enough in removing DEHP from bottom sediments. However, the deployment of an ultrasonic field in support of these processes provided for a synergistic effect on DEHP removal under optimal conditions.
- Process support for the use of hydrogen peroxide or for classic or modified Fenton processes were seen to reduce both reaction times from 24 h down to 5 min and amounts of reagents needed (for hydrogen peroxide up to 1000 times less, for iron 50 times less), in comparison with the single systems, while energy efficiency was also greater than when sonification alone was conducted.
- The energy parameters of the ultrasonic field had a significant impact on the achieved level of degradation of di(2-ethylhexyl) phthalate Increasing the vibration amplitude from 30% to 50% resulted in an increase in DEHP removal efficiency in the H2O2/UD process by 11.6% (t = 5 min).
- The phenomenon of the sequestration of di(2-ethylhexyl) phthalate in bottom sediments proved an important factor affecting the degree of degradation. As a result of the aging of bottom sediments in the H2O2/Fe3+/UD process, the DEHP removal efficiency decreased by a maximum of 9% (t = 60 min).
- The ultrasonic field had a beneficial effect on the decomposition of organic matter and the leaching of heavy metals from bottom sediments.
- As the introduction of the acoustic wave into the reaction system did not cause mono (2-ethylhexyl) phthalate to form, there was no intensified generation of by-products during the degradation process.
- Where the Fenton process applied to bottom sediments was supported by the ultrasonic field, there was no requirement to add catalyst, given the naturally-occurring admixture of iron in the matrix.
Supplementary Materials
Author Contributions
Funding
Institutional Review Board Statement
Informed Consent Statement
Data Availability Statement
Conflicts of Interest
References
- Daiem, M.M.A.; Rivera-Utrilla, J.; Ocampo-Pérez, R.; Méndez-Díaz, J.D.; Sánchez-Polo, M. Environmental impact of phthalic acid esters and their removal from water and sediments by different technologies—A review. J. Environ. Manag. 2012, 109, 164–178. [Google Scholar] [CrossRef]
- Martínez, C.; Ramírez, N.; Gómez, V.; Pocurull, E.; Borrull, F. Simultaneous determination of 76 micropollutants in water samples by headspace solid phase microextraction and gas chromatography–mass spectrometry. Talanta 2013, 116, 937–945. [Google Scholar] [CrossRef]
- Lattuati-Derieux, A.; Egasse, C.; Thao-Heu, S.; Balcar, N.; Barabant, G.; Lavédrine, B. What do plastics emit? HS-SPME-GC/MS analyses of new standard plastics and plastic objects in museum collections. J. Cult. Herit. 2013, 14, 238–247. [Google Scholar] [CrossRef]
- Wei, X.F.; Linde, E.; Hedenqvist, M.S. Plasticiser loss from plastic or rubber products through diffusion and evaporation. NPJ Mater. Degrad. 2019, 3, 18. [Google Scholar] [CrossRef]
- Książek, S.; Kida, M.; Koszelnik, P. The occurrence and source of polycyclic aromatic hydrocarbons in bottom sediments of the Wisłok river. Pol. J. Nat. Sci. 2016, 31, 373–386. [Google Scholar]
- Schenkel, R.; Carl, M.P. European Union Risk Assessment Report: Bis(2-Ethylhexyl) Phthalate (DEHP); European Union: Brussels, Belgium, 2008. [Google Scholar]
- Zolfaghari, M.; Drogui, P.; Seyhi, B.; Brar, S.; Buelna, G.; Dubé, R. Occurrence, fate and effects of Di (2-ethylhexyl) phthalate in wastewater treatment plants: A review. Environ. Pollut. 2014, 194, 281–293. [Google Scholar] [CrossRef]
- Włodarczyk–Makuła, M. Selected Organic Micropollutants in Waters and Soils; Wydawnictwo Politechniki Częstochowskiej: Częstochowa, Poland, 2013. [Google Scholar]
- Net, S.; Delmont, A.; Sempéré, R.; Paluselli, A.; Ouddane, B. Reliable quantification of phthalates in environmental matrices (air, water, sludge, sediment and soil): A review. Sci. Total Environ. 2015, 515, 162–180. [Google Scholar] [CrossRef]
- Tienpont, B. Determination of Phthalates in Environmental, Food and Biomatrices: An Analytical Challenge. Ph.D. Thesis, Ghent University, Ghent, Belgium, 2004. [Google Scholar]
- Wang, F.; Xia, X.; Sha, Y. Distribution of phthalic acid esters in Wuhan section of the Yangtze River, China. J. Hazard. Mater. 2008, 154, 317–324. [Google Scholar] [CrossRef] [PubMed]
- Lim, M.W.; Von Lau, E.; Poh, P.E. A comprehensive guide of remediation technologies for oil contaminated soil—Present works and future directions. Mar. Pollut. Bull. 2016, 109, 14–45. [Google Scholar] [CrossRef] [PubMed]
- ITRC. Technical and Regulatory Guidance for In Situ Chemical Oxidation of Contaminated Soil and Groundwater, 2nd ed.; Interstate Technology Council: Washington, DC, USA, 2005; Available online: http://www.itcweb.org (accessed on 20 February 2021).
- Kida, M.; Ziembowicz, S.; Koszelnik, P. Impact of a modified fenton process on the degradation of a component leached from microplastics in bottom sediments. Catalysts 2019, 9, 932. [Google Scholar] [CrossRef]
- Pochwat, K.; Kordana, S.; Starzec, M.; Słyś, D. Comparison of two-prototype near-horizontal Drain Water Heat Recovery units on the basis of effectiveness. Energy 2019, 73, 1196–1207. [Google Scholar] [CrossRef]
- Kudlek, E.; Dudziak, M. Degradation pathways of pentachlorophenol and benzo(a)pyrene during heterogeneous photocatalysis. Water Sci. Technol. 2018, 77, 2407–2414. [Google Scholar]
- Kida, M.; Ziembowicz, S.; Koszelnik, P. Study on the suitability of using low-frequency ultrasonic field for removing di(2-ethylhexyl) phthalate from bottom sediments. Sep. Purif. Technol. 2020, 233, 116010. [Google Scholar] [CrossRef]
- Ledakowicz, S.; Olejnik, D.; Perkowski, J.; Żegota, H. The use of in-depth oxidation processes to break down the non-ionic Triton X-114 surfactant. Przemysł Chem. 2001, 80, 453–459. [Google Scholar]
- Lim, M.; Son, Y.; Khim, J. The effects of hydrogen peroxide on the sonochemical degradation of phenol and bisphenol A. Ultrason. Sonochem. 2014, 21, 1976–1981. [Google Scholar] [CrossRef] [PubMed]
- Boczkaj, G.; Fernandes, A. Wastewater treatment by means of advanced oxidation processes at basic pH conditions: A review. Chem. Eng. J. 2017, 320, 608–633. [Google Scholar] [CrossRef]
- Yap, C.L.; Gan, S.; Ng, H.K. Fenton based remediation of polycyclic aromatic hydrocarbons-contaminated soils. Chemosphere 2011, 83, 1414–1430. [Google Scholar] [CrossRef] [PubMed]
- Sun, H.W.; Yan, Q.S. Influence of pyrene combination state in soils on its treatment efficiency by Fenton oxidation. J. Environ. Manag. 2008, 88, 556–563. [Google Scholar] [CrossRef] [PubMed]
- Silva, V.L.D.; Neto, B.D.B.; Simonnot, M.O. Phenanthrene and pyrene oxidation in contaminated soils using Fenton’s reagent. J. Hazard. Mater. 2009, 161, 967–973. [Google Scholar] [CrossRef] [PubMed]
- Barbusiński, K. Intensification of the wastewater treatment process and stabilization of excessive sludge using Fenton’s reagent. Zeszyty Naukowe 2004, 50, 7–169. [Google Scholar]
- Esmaeli, R.; Hassani, A.H.; Eslami, A.; Ahmadi Moghadam, M.; Safari, A.A. Di-(2-ethylhexyl) phthalate oxidative degradation by fenton process in synthetic and real petrochemical wastewater. J. Environ. Health Sci. Eng. 2011, 8, 201–206. [Google Scholar]
- Guan, R.; Yuan, X.; Wu, Z.; Jiang, L.; Li, Y.; Zeng, G. Principle and application of hydrogen peroxide based advanced oxidation processes in activated sludge treatment: A review. Chem. Eng. J. 2018, 339, 519–530. [Google Scholar] [CrossRef]
- Jorfi, S.; Rezaee, A.; Moheb-ali, G.A.; Alah Jaafarzadeh, N. Pyrene removal from contaminated soils by modified Fenton oxidation using iron nano particles. J. Environ. Health Sci. Eng. 2013, 11, 17. [Google Scholar] [CrossRef]
- Flotron, V.; Delteil, C.; Padellec, Y.; Camel, V. Removal of sorbed polycyclic aromatic hydrocarbons from soil, sludge and sediment samples using the Fenton’s reagent process. Chemosphere 2005, 59, 1427–1437. [Google Scholar] [CrossRef]
- Chiou, C.S.; Chen, Y.H.; Chang, C.T.; Chang, C.Y.; Shie, J.L.; Li, Y.S. Photochemical mineralization of di-n-butyl phthalate with H2O2/Fe3+. J. Hazard. Mater. 2006, 135, 344–349. [Google Scholar] [CrossRef]
- Okitsu, K.; Iwasaki, K.; Yobiko, Y.; Bandow, H.; Nishimura, R.; Maeda, Y. Sonochemical degradation of azo dyes in aqueous solution: A new heterogeneous kinetics model taking into account the local concentration of OH radicals and azo dyes. Ultrason. Sonochem. 2005, 12, 255–262. [Google Scholar] [CrossRef] [PubMed]
- Bokare, A.D.; Choi, W. Review of iron-free Fenton-like systems for activating H2O2 in advanced oxidation processes. J. Hazard. Mater. 2014, 275, 121–135. [Google Scholar] [CrossRef] [PubMed]
- Zhao, M.; Cheng, M.; Zeng, G.; Zhang, C. Degradation of di(2-ethylhexyl) phthalate in sediment by a surfactant-enhanced Fenton-like process. Chemosphere 2018, 198, 327–333. [Google Scholar] [CrossRef] [PubMed]
- Oleszczuk, P. Bioavailability and bioaccumulation of hydrophobic organic pollutants. Part, I. General information. Biotechnologia 2007, 1, 9–25. [Google Scholar]
- Ukalska-Jaruga, A.; Smreczak, B.; Klimkowicz-Pawlas, A.; Maliszewska-Kordybach, B. The role of organic matter in the processes of the accumulation of persistent organic pollutants (POPs) in soils. Pol. J. Agron. 2015, 20, 15–23. [Google Scholar]
- Cheng, M.; Zeng, G.; Huang, D.; Lai, C.; Xu, P.; Zhang, C.; Liu, Y.; Wan, J.; Gong, X.; Zhu, Y. Degradation of atrazine by a novel Fenton-like process and assessment the influence on the treated soil. J. Hazard. Mater. 2016, 312, 184–191. [Google Scholar] [CrossRef]
- Sady, W.; Smoleń, S. Influence of soil-fertilizing factors on the accumulation of heavy metals in plants. In Proceedings of the 10th Polish Scientific Symposium—Effectiveness of Using Fertilizers in Horticultural Crops, Kraków, Poland, 17–18 June 2004. [Google Scholar]
- Bodzek, M.; Konieczny, K. Removal of Inorganic Impurities from the Aquatic Environment by Membrane Methods; Wydawnictwo Seidel-Przywecki: Józefosław, Poland, 2011. [Google Scholar]













| Factor | H2O2 | H2O2/Fe2+ | H2O2/Fe3+ | UD | H2O2/UD | H2O2/Fe2+/UD | H2O2/Fe3+/UD |
|---|---|---|---|---|---|---|---|
| dose | x | x | x | x | x | x | x |
| time | x | x | x | x | x | x | x |
| pH | x | x | x | x | x | x | x |
| initial content of DEHP | x | x | x | x | x | x | x |
| degradation rates | − | − | − | x | x | x | x |
| energetic parameters | − | − | − | x | x | x | x |
| ageing | − | − | − | x | x | x | x |
| DOC and OM | x | x | x | x | x | x | x |
| elution of plant nutrients | x | x | x | x | x | x | x |
| elution of metal | x | x | x | x | x | x | x |
| intermediate products | x | x | x | x | x | x | x |
| Form | Parameters | UD | H2O2/UD | H2O2/Fe2+/UD | H2O2/Fe3+/UD |
|---|---|---|---|---|---|
| k (µM/min) | 5.96 | 8.70 | 10.20 | 11.14 | |
| K (1/mM) | 14.29 | 9.30 | 7.80 | 6.9 | |
| R2 | 0.9973 | 0.9984 | 0.9996 | 0.9940 | |
| APE (%) | 2.41 | 2.64 | 1.48 | 5.48 | |
| k (µM/min) | 5.57 | 8.26 | 9.73 | 9.18 | |
| K (1/mM) | 16.39 | 10.31 | 8.48 | 9.90 | |
| R2 | 0.9956 | 0.9917 | 0.9958 | 0.9536 | |
| APE (%) | 2.98 | 2.60 | 2.00 | 7.87 | |
| k (µM/min) | 5.80 | 8.46 | 9.98 | 9.88 | |
| K (1/mM) | 15.24 | 9.81 | 8.07 | 8.58 | |
| R2 | 0.9781 | 0.9773 | 0.9903 | 0.8345 | |
| APE (%) | 2.55 | 2.59 | 1.57 | 6.60 | |
| k (µM/min) | 5.85 | 8.55 | 10.03 | 10.88 | |
| K (1/mM) | 14.9 | 9.60 | 8.00 | 7.20 | |
| R2 | 0.9781 | 0.9773 | 0.9903 | 0.8345 | |
| APE (%) | 2.47 | 2.57 | 1.56 | 5.55 | |
| k (µM/min) | 5.99 | 8.70 | 10.17 | 11.29 | |
| K (1/mM) | 14.2 | 9.30 | 7.80 | 6.80 | |
| R2 | 0.9973 | 0.9984 | 0.9996 | 0.9940 | |
| APE (%) | 2.49 | 2.63 | 1.51 | 5.56 |
Publisher’s Note: MDPI stays neutral with regard to jurisdictional claims in published maps and institutional affiliations. |
© 2021 by the authors. Licensee MDPI, Basel, Switzerland. This article is an open access article distributed under the terms and conditions of the Creative Commons Attribution (CC BY) license (https://creativecommons.org/licenses/by/4.0/).
Share and Cite
Kida, M.; Ziembowicz, S.; Koszelnik, P. The Use of an Ultrasonic Field in Support of Classical Methods of Oxidising Component Leached from Microplastics in Bottom Sediments. Materials 2021, 14, 3029. https://doi.org/10.3390/ma14113029
Kida M, Ziembowicz S, Koszelnik P. The Use of an Ultrasonic Field in Support of Classical Methods of Oxidising Component Leached from Microplastics in Bottom Sediments. Materials. 2021; 14(11):3029. https://doi.org/10.3390/ma14113029
Chicago/Turabian StyleKida, Małgorzata, Sabina Ziembowicz, and Piotr Koszelnik. 2021. "The Use of an Ultrasonic Field in Support of Classical Methods of Oxidising Component Leached from Microplastics in Bottom Sediments" Materials 14, no. 11: 3029. https://doi.org/10.3390/ma14113029
APA StyleKida, M., Ziembowicz, S., & Koszelnik, P. (2021). The Use of an Ultrasonic Field in Support of Classical Methods of Oxidising Component Leached from Microplastics in Bottom Sediments. Materials, 14(11), 3029. https://doi.org/10.3390/ma14113029

