Next Article in Journal
The Use of an Ultrasonic Field in Support of Classical Methods of Oxidising Component Leached from Microplastics in Bottom Sediments
Previous Article in Journal
Investigation of Microstructure and Mechanical Properties for Ti-6Al-4V Alloy Parts Produced Using Non-Spherical Precursor Powder by Laser Powder Bed Fusion
Previous Article in Special Issue
Development of Virtual Metrology Using Plasma Information Variables to Predict Si Etch Profile Processed by SF6/O2/Ar Capacitively Coupled Plasma
 
 
Font Type:
Arial Georgia Verdana
Font Size:
Aa Aa Aa
Line Spacing:
Column Width:
Background:
Article

Silicon Oxide Etching Process of NF3 and F3NO Plasmas with a Residual Gas Analyzer

1
Department of Electrical and Biological Physics, Kwangwoon University, 20 Kwangwoon-ro, Nowon-gu, Seoul 01897, Korea
2
Department of Nano-Process, National Nanofab Center (NNFC), 291 Daehak-ro, Yuseong-gu, Daejeon 34141, Korea
3
SK Materials Co., Ltd., 110-5, Myeonghaksandan-ro, Yeondong-myeon, Sejong 30068, Korea
*
Author to whom correspondence should be addressed.
Materials 2021, 14(11), 3026; https://doi.org/10.3390/ma14113026
Submission received: 8 April 2021 / Revised: 28 May 2021 / Accepted: 30 May 2021 / Published: 2 June 2021
(This article belongs to the Special Issue Etching Kinetics and Mechanisms of Thin Films)

Abstract

The use of NF3 is significantly increasing every year. However, NF3 is a greenhouse gas with a very high global warming potential. Therefore, the development of a material to replace NF3 is required. F3NO is considered a potential replacement to NF3. In this study, the characteristics and cleaning performance of the F3NO plasma to replace the greenhouse gas NF3 were examined. Etching of SiO2 thin films was performed, the DC offset of the plasma of both gases (i.e., NF3 and F3NO) was analyzed, and a residual gas analysis was performed. Based on the analysis results, the characteristics of the F3NO plasma were studied, and the SiO2 etch rates of the NF3 and F3NO plasmas were compared. The results show that the etch rates of the two gases have a difference of 95% on average, and therefore, the cleaning performance of the F3NO plasma was demonstrated, and the potential benefit of replacing NF3 with F3NO was confirmed.

1. Introduction

Since the 1980s, the use of NF3 plasmas in semiconductor, display, and solar cell processing applications has been investigated [1]. NF3 plasma is used to etch various thin films under reactive ion etching (RIE) conditions [2,3] or to clean a plasma-enhanced chemical vapor deposition (PECVD) chamber [4,5]. Cleaning the PECVD chamber is performed by supplying ions and radicals for cleaning through a remote plasma source (RPS) [6] or by directly supplying ions and radicals through an in situ plasma discharge [7]. In addition, NF3 is attracting attention as a new etching technology, such as cryogenic electron beam induced etching (EBIE) [8,9] and highly selective etching [10]. NF3 has a high etch rate, etching efficiency, and a relatively high chemical stability [2,11]. Accordingly, the use of NF3 is significantly increasing every year. However, NF3 is a greenhouse gas with a very high global warming potential of 16,100 and a lifespan of 500 years [12]. The contribution of NF3 to the radiative forcing in the Earth’s atmosphere is very small, ~0.01%, in 2011, but the use of NF3 is increasing every day; therefore, this number continues to increase [13]. The share of NF3 in fluorinated gases increased from 13–28% in 2005 to 17–36% in 2010, and NF3 is currently the most widely used and released fluorinated gas [1,14]. Thus, it was included in the second commitment period of the Kyoto Protocol as the seventh greenhouse gas whose emissions are to be regulated [15].
Studies have been conducted to replace NF3 [16,17]. Among them, F3NO was considered a candidate gas to replace NF3 [18]. Similar to NF3, F3NO does not contain perfluorocarbons. In addition, because its molecule has an N=O bond, its atmospheric life is relatively short, and thus, its contribution to global warming is expected to be less than that of NF3. The etch rate of F3NO is almost the same as that of NF3. However, further studies on F3NO have not been conducted, and information on the mechanism occurring in the F3NO plasma during the cleaning process is insufficient. Therefore, research on the F3NO plasma to replace NF3 is urgently needed.
The present study focused on evaluating and analyzing the properties of F3NO plasma. Accordingly, the cleaning abilities of NF3 and F3NO were compared, and the characteristics of the F3NO plasma were analyzed. The cleaning ability of the F3NO plasma was evaluated by etching a SiO2 film previously deposited on a Si wafer sample. Although the etching time of the small sample and the cleaning time of the PECVD chamber may not coincide, it was considered suitable for the evaluation of the cleaning ability of the gas. To analyze the etch mechanism, the etching plasma was diagnosed using a residual gas analyzer (RGA) and a high-voltage probe. The reactions in the F3NO plasma were predicted by comparing the types and intensity of ions generated in the NF3 and F3NO plasmas. In addition, the etch rates of the SiO2 thin film using the NF3 and F3NO plasmas were compared to confirm whether the F3NO plasma can replace NF3.

2. Materials and Methods

The plasma etching equipment used in this study is shown in Figure 1. We manufactured the RIE equipment with a direct capacitively coupled plasma chamber to measure the plasma etching characteristics. The detailed geometry of the device has been shown in a previous study [19]. A coolant path was formed in the electrode, which was designed to maintain a constant temperature (15 °C) during the process.
The sample used for etching was a SiO2 thin film deposited on a Si wafer. The size of the sample was 30 mm × 30 mm, and the thickness of the thin film was 2 μm. NF3 and F3NO were used as process gases for etching. The F3NO used in the experiments was manufactured and supplied by SK Materials (Sejong, Korea) and the National NanoFab Center (Daejeon, Korea). The purity of the provided F3NO gas was 99.995%. The injected process gas was controlled using mass flow controllers. The process flow rate was fixed at 120 sccm. After the injection of the process gas, the process pressure was adjusted using a butterfly valve. The working pressure range was 130–270 mTorr. This working pressure range was set to confirm the possibility of cleaning in situ with a small amount of gas in the chamber while reducing the amount of cleaning gas without any additional high flow MFC configuration. After reaching the process pressure, the discharge power was applied through the RF power generator. The RF input power range was 240–400 W, and the process time was fixed at 3 min.
Mass spectrometry measurements were performed using an RGA (RGA 300, SRS, Sunnyvale, CA, USA). As shown in Figure 1, the RGA is equipped with a differential pump system. The pressure of the differential pump system was fixed at 0.8 mTorr regardless of the process pressure. At this time, the ionization energy of the RGA was fixed at 70 eV. The DC self-bias (DC offset) was measured using a high-voltage probe to determine the characteristics of the NF3 and F3NO plasmas. The etching rate of the thin film was evaluated after etching by measuring its thickness using the spectroscopic reflectometry method via the S-TRC series (Wonwoo Systems Co., Ltd., Seoul, Korea) [20].

3. Results and Discussion

To compare the characteristics of the NF3 and F3NO plasmas and to understand the characteristics of the latter, a DC offset measurement during the RIE plasma discharge was performed (Figure 2). The F3NO plasma showed a similar DC offset value very close to that of the NF3 plasma.
The NF3 plasma has a very high electronegativity [21,22]. Therefore, when compared with fluorocarbon plasmas, the NF3 plasma shows a relatively low DC offset value. Plasma with a high electronegativity tends to be unstable and easily collapses. In this case, the NF3 plasma is discharged only in a part of the chamber, and the plasma collapses in other parts; therefore, these parts may not be exposed to the plasma. Alternatively, a constant discharge may not occur but may flicker and cause discharge.
The comparison results of the DC offset of the NF3 and F3NO plasmas show that the electronegativity of the F3NO plasma can also be quite considerable. In the case of the NF3 plasma, an inert gas (e.g., He, Ar) was diluted and discharged to increase the stability and uniformity of the plasma and enhance etch rates [23,24,25,26]. Inert gases rarely participate in chemical reactions in the plasma but can have a great influence on the discharge process. The DC offset result indicates that the characteristics of the F3NO plasma can also be comparable to those of the NF3 plasma. Thus, in future studies, dilution with an inert gas, such as Ar, is recommended.
Figure 3 shows the current of F+ ions and etch products (SiF, SiF2, and SiF3) generated from the NF3 and F3NO plasmas when etching SiO2 thin films. As the pressure and power increased, the intensity of the peak of F ions and the etch product also increased. At this time, when the pressure or discharge power was low, more F ions were generated in the F3NO plasma than in the NF3 plasma. In addition, the lower the discharge power, the higher the generation of etch products in F3NO than in NF3. These findings confirmed that the etching of F3NO occurs more actively at low power and pressure. In addition, as the power increases, the intensity of F ions in NF3 rapidly increases, whereas in the F3NO plasma, the F ions gradually increase even if the discharge power of F increases. As will be shown further, this trend is similar for other ions as well. Consequently, the plasma density of F3NO reacts more slowly to the change of the discharge power compared to NF3.
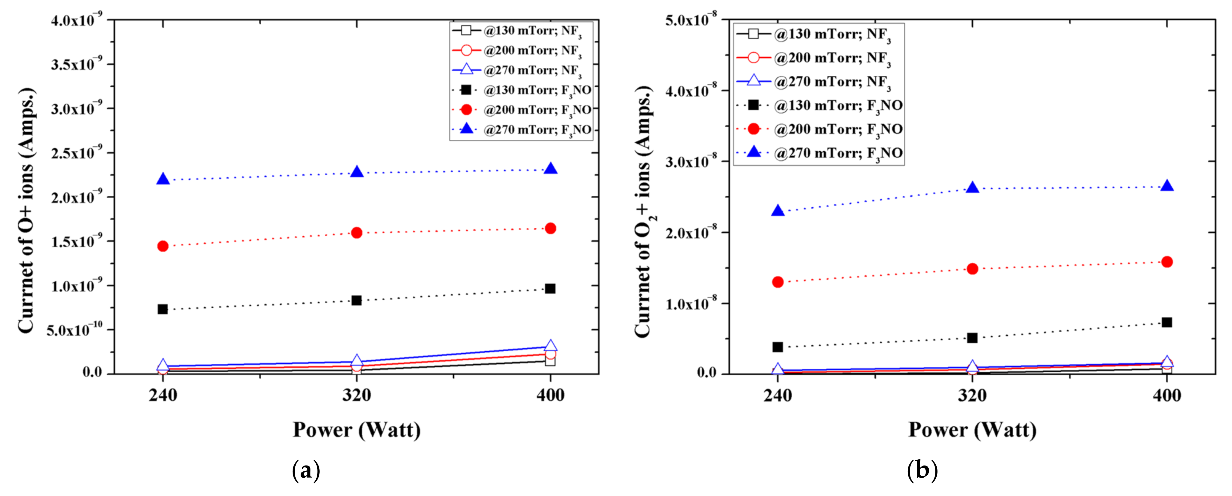
Among the ions generated in the NF3 and F3NO plasmas during the silicon oxide thin film etching, O and O2 were more common in the F3NO plasma under all conditions (Figure 4). Compared with the F3NO plasma, O and O2 ions hardly occurred in the NF3 plasma. In the case of the F3NO plasma, O and O2 ions were simultaneously generated by O contained in F3NO and O2 gas already present in the chamber, whereas the NF3 plasma generated O and O2 ions only from O2 gas existing in the base. Therefore, when the pressure increased, the intensity of O and O2 ions generated in the NF3 plasma was almost unchanged, whereas in the F3NO plasma, when the pressure increased, O and O2 ions appeared to rapidly increase compared to the NF3 plasma.
Figure 5 shows the peak intensities of the major ions generated in the NF3 and F3NO plasmas during the etching of a silicon oxide thin film. N, N2, and F2 ions occurred more in F3NO at low discharging powers and more in NF3 at higher discharging powers. Conversely, NF2 ions occurred more in the NF3 plasma under all conditions.
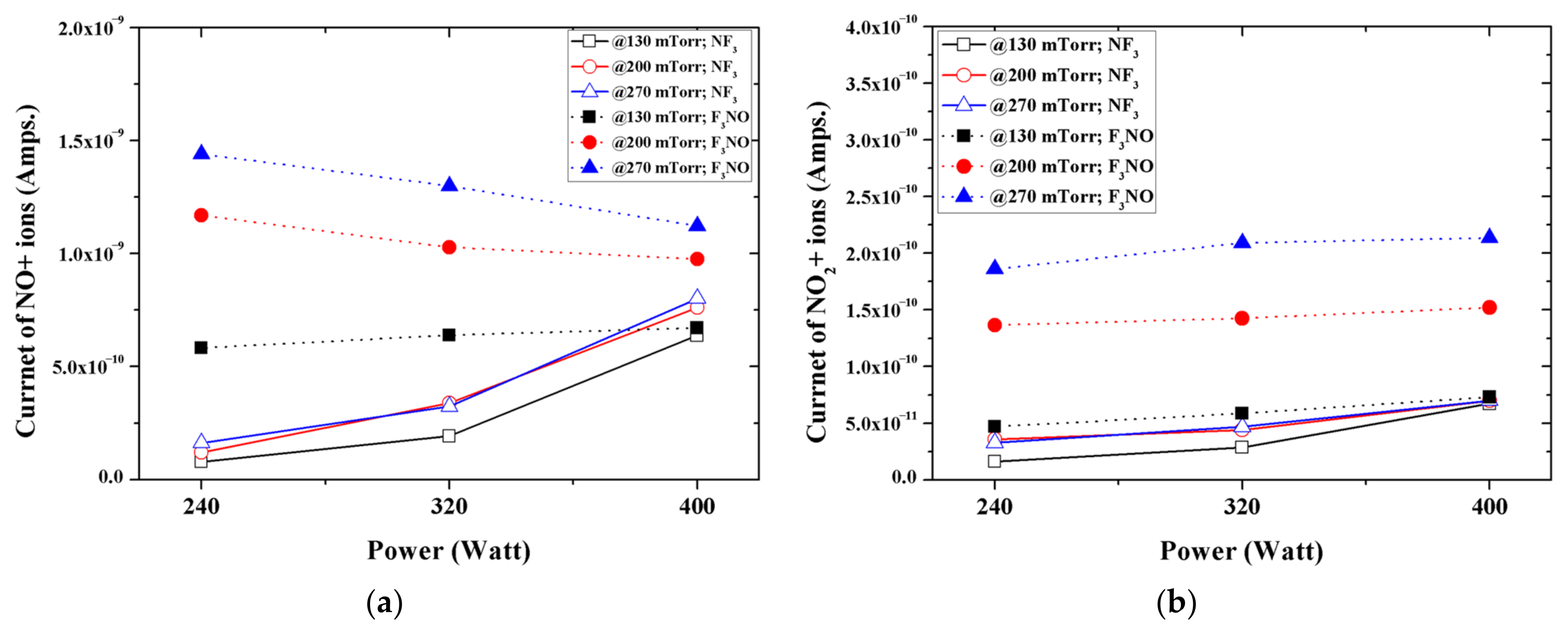
Figure 6 shows the intensity of NO and NO2 ions generated in the NF3 and F3NO plasmas during the etching of silicon oxide thin films. When the discharge power was low, the NO ions generated in the F3NO plasma were more than those of the NF3 plasma (numerical value). However, as the discharge power increased, the number of NO ions in the F3NO plasma gradually decreased, whereas those in the NF3 plasma rapidly increased and became almost the same as the peak intensity of NO ions generated in the F3NO plasma. Conversely, many more NO2 ions occurred in the F3NO plasma under all conditions.
In   the   NF 3   and   F 3 NO   plasmas ,   NO   was   produced   through   the   following   reaction : N 2   ( A 3 Σ u + )   O     NO   +   N .
Metastable N2 is produced mostly by collisions with a high-energy electron, making the mechanism more significant in an electronegative gas discharge, such as NF3 and F3NO. At a higher discharge power, higher energy electrons are supplied, thus increasing the density of NO ions [27]:
N + O2 → NO + O.
A reaction involving atomic nitrogen that resulted in a different density of NO ions in the F3NO plasma and the NF3 plasma was more important in an oxygen-rich plasma [28,29]. As shown in Figure 4a, because F3NO is an oxygen-rich plasma, reaction (2) became significant, and a large amount of NO ions were produced.
In the F3NO plasma, NF is decomposed through the following reaction.
NF2 + O → F + FNO.
The species produced in the primary reactions led to secondary reactions which formed NO2 ions through the following exothermic reactions:
FNO + O → F + NO2,
FO + NO → F + NO2,
N2O + NO → N2 + NO2,
NO + O3 → O2 + NO2.
In the case of the NF3 plasma, the above reaction is not significant because the number of O ions is remarkably small, but F3NO causes a more significant reaction. Therefore, the number of NF2 and NF ions are fewer in the F3NO plasma than in the NF3 plasma, whereas ions such as N, N2, and F are present in similar amounts in the F3NO plasma and the NF3 plasma.
In the NF3 plasma, NO ions may be generated through the bonding of O and N ions, which are etching by-products, or through a process in which N ions form Si–O–N bonding on the surface of the silicon oxide thin film [30]. In the F3NO plasma, NO is formed by the N and O ions contained in F3NO. In the case of F3NO, this condition becomes the main mechanism. NO formed in this way forms NO2 through the following reaction:
NO + O + M → NO2 + M.
In the NF3 plasma, because the number of O ions was remarkably small, this oxidation reaction occurred only to a small extent. Conversely, in the F3NO plasma, as the number of O ions was much larger, the extent of the oxidation reaction was more significant. When the discharge power was increased, the number of NO formed was almost unchanged, but the peak of NO ions decreased due to the considerable oxidation of NO.
Figure 7 shows the SiO2 etch rate according to the discharge power and process pressure. The results imply that the lower the pressure and discharge power, the higher the etch rate of F3NO. This is because when the pressure and discharge power is low, chemical etching occurs more easily because the number of F ions generated is greater in F3NO. Conversely, the DC offset at a low power has a small absolute value for the NF3 and F3NO plasmas; therefore, the ion bombardment energy does not have a significant effect on etching. When the discharge power was increased, the DC offset value of the NF3 plasma became larger than that of the F3NO plasma, so the etch rate of NF3 also became higher. When the discharge pressure and discharge power increased, the intensity of F ions also increased as NF3 increased, so the etch rate decreased in F3NO. Furthermore, the etch rate of silicon oxide during F3NO plasma etching was approximately 95.0% of the rate during NF3 plasma etching.
We performed SEM measurements to determine whether O or N ions present in the plasma had a negative effect on the etching quality. Figure 8 shows a SiO2 surface of SEM images after the etching process at 400 W discharge power and 270 mTorr pressure. For accurate SEM measurements, a platinum coating was applied on the surface by sputtering. The round shape particles in the figures are platinum nanoparticles from the platinum coating. The size of these nanoparticles is in order of several nanometers. Besides platinum nanoparticles, no other structures such as cracks or holes were found on the surface. No significant difference was observed between the SEM images of the unprocessed and processed surface of SiO2. Therefore, it was confirmed that O or N ions in F3NO did not have a negative effect on the etching quality.
Figure 9 shows EDS spectra of the SiO2 surface without process and after etching at a 400 W discharge power and 270 mTorr pressure with the NF3 and F3NO plasmas. The C peak in the EDS spectra was caused either by carbon contamination or by the window in the detector. Except for carbon and platinum (from the platinum coating), no peaks other than O and Si were found in the EDS spectra. This indicates that nitrogen, oxygen, or NO did not chemically contaminate the SiO2 surface during the etching process.
The mass ratio of silicon and oxygen is noticeable in the EDS spectra. The mass ratio of silicon and oxygen on the SiO2 surface is almost the same when the process is not performed and when the NF3 etching process is performed. However, the mass ratio of O appears less on the SiO2 surface after F3NO etching. This may be caused by the following reaction on the SiO2 surface during F3NO etching.
O(s) + NO(g) → NO2(g).
As above, NO ions absorb O in the SiO2 surface to decrease surface oxidation [31]. Therefore, the F3NO etched SiO2 surface has a smaller oxygen mass ratio than the NF3 etched SiO2 surface. Moreover, this de-oxidation process increases the Si etching rate, especially during etching with F3NO at low pressure and low power with a significant quantity of NO ions.

4. Conclusions

The DC offset was measured during NF3 and F3NO plasma discharges. Compared with the DC offset of the NF3 plasma, the F3NO plasma showed an almost similar DC offset value. This finding confirms that the F3NO plasma, similar to the NF3 plasma, can have a very high electronegativity. Moreover, the NF3 plasma, similar to the F3NO plasma, may also exhibit unstable or non-uniform characteristics. Therefore, the diluent of an inert gas into the F3NO plasma can be effective.
The ions generated in the NF3 plasma and the F3NO plasma during the etching of the SiO2 thin film were measured through the RGA. In the case of F ions, when the discharge power and discharge pressure were low, more F3NO plasmas were generated than NF3 plasmas. The result was the same for the etching by-products (SiF, SiF2, and SiF3). In addition, as the power increased, the intensity of F ions in NF3 rapidly increased, whereas in the F3NO plasma, the ions of F gradually increased even if the discharge power of F increased. This result showed a similar trend for other ions afterward, implying that the plasma density of F3NO reacts more slowly to the change of the discharge power compared to NF3. Ions O and O2 generated during the plasma discharge were much more significant in the F3NO plasma than in the NF3 plasma, which is attributed to the O ions contained in F3NO. Furthermore, the intensity of O ions can affect the etching mechanism of the F3NO plasma. F2, N, N2 ions occur more in F3NO at a low discharge power and occur more in NF3 at a high discharge power. In contrast, NF2 ions are much higher in NF3 ions under all conditions. O ions in F3NO cause a reaction to decompose NF2. When the discharge power is low, the NO ions of F3NO are generated in higher amounts compared to the NF3 plasma. However, as the discharge power increases, the number of NO ions in F3NO gradually decreases, whereas the NO ions in the NF3 plasma rapidly increase, and the intensity of the peak of NO generated in F3NO becomes almost similar. Conversely, NO2 ions occur more in the F3NO plasma under all conditions. In the F3NO plasma, many NO ions are generated in the process of decomposing NF2. However, when the pressure increases, NO ions are oxidized by O ions to form NO2 ions, and thus the number of NO ions decreases. Through this oxidation reaction, many more NO2 ions are generated in the F3NO plasma than in the NF3 plasma.
The SiO2 etch rates of the NF3 and F3NO plasmas were compared. The results show that the lower the pressure and discharge power, the higher the etch rate of F3NO. This is because the intensity of F ions is higher in the F3NO plasma at low pressure. As the discharge power increases, the intensity of F ions in the NF3 plasma increases. Therefore, the etch rate of the NF3 plasma increases. The etch rate of silicon oxide during F3NO plasma etching was approximately 95.0% of the NF3 plasma etching rate.
To compare the etch qualities, SEM measurements were performed. There was no difference between the unetched and etched SiO2 surface with the NF3 and F3NO plasmas. Therefore, we found that N or O ions in F3NO did not negatively affect the etch quality. The results of this study confirm the cleaning properties of F3NO. Nonetheless, the limitation of this study is that only NF3 and F3NO plasmas were compared. In addition, EDS measurements were performed in parallel to assess the possibility of chemical contamination of the surface by ions in F3NO and phenomena occurring on the SiO2 surface during etching. As a result of the measurement, no chemical contamination was observed during etching with NF3 plasma or F3NO. Unlike NF3 plasma etching, it was observed that the mass ratio of oxygen of the SiO2 surface decreased during F3NO plasma etching. This may be attributed to the de-oxidation process of the SiO2 surface by NO ions.
The characteristics of the F3NO plasma were identified through these results, and the potential for replacing F3NO with NF3 was confirmed. Further studies will be needed when inert gases, such as Ar or He, are used as diluent. In addition, higher pressures need to be evaluated for the cleaning ability.

Author Contributions

Conceptualization, M.-H.K., J.-H.K. (Jung-Hun Kwak) and G.-C.K.; methodology, W.-J.K., H.-T.K. and G.-W.S.; validation, H.-T.K. and J.-H.K. (Ji-Hwan Kim); formal analysis, W.-J.K., I.-Y.B. and G.-W.S.; investigation, I.-Y.B., J.-H.K. (Ji-Hwan Kim), Y.-S.P. and Y.C.; resources, M.-H.K., Y.C. and B.-H.K.; data curation, I.-Y.B and Y.-S.P.; writing—original draft preparation, W.-J.K.; writing—review and editing, W.-J.K.; supervision, G.-C.K. All authors have read and agreed to the published version of the manuscript.

Funding

This research was supported by the Korea Institute of Energy Technology Evaluation and Planning (KETEP) and the Ministry of Trade, Industry & Energy (MOTIE) of the Republic of Korea (No. 20172010104840). The present Research also has been conducted by the Research Grant of Kwangwoon University in 2019.

Institutional Review Board Statement

Not applicable.

Informed Consent Statement

Not applicable.

Data Availability Statement

Data available on reasonable request.

Conflicts of Interest

The authors declare no conflict of interest.

References

  1. Arnold, T.; Harth, C.M.; Mühle, J.; Manning, A.J.; Salameh, P.K.; Kim, J.; Weiss, R.F. Nitrogen trifluoride global emissions estimated from updated atmospheric measurements. Proc. Natl. Acad. Sci. USA 2013, 110, 2029–2034. [Google Scholar] [CrossRef] [PubMed]
  2. Golja, B.; Barkanic, J.A.; Hoff, A. A review of nitrogen trifluoride for dry etching in microelectronics processing. Microelectron. J. 1985, 16, 5–21. [Google Scholar] [CrossRef]
  3. Donnelly, V.M.; Flamm, D.L. Dautremont-Smith WC and Werder DJ. J. Appl. Phys. 1984, 1984, 55. [Google Scholar]
  4. Bruno, G. Study of the NF3 plasma cleaning of reactors for amorphous silicon deposition. J. Vac. Sci. Technol. A 1994, 12, 690–698. [Google Scholar] [CrossRef]
  5. Langan, J.G. Electrical impedance analysis and etch rate maximization in NF3/Ar discharges. J. Vac. Sci. Technol. A 1998, 16, 2108–2114. [Google Scholar] [CrossRef]
  6. Raoux, S.; Tanaka, T.; Bhan, M.; Ponnekanti, H.; Seamons, M.; Deacon, T.; Xia, L.-Q.; Pham, F.; Silvetti, D.; Cheung, D.; et al. Remote microwave plasma source for cleaning chemical vapor deposition chambers: Technology for reducing global warming gas emissions. J. Vac. Sci. Technol. B Microelectron. Nanometer Struct. 1999, 17, 477. [Google Scholar] [CrossRef]
  7. Ji, B.; Elder, D.L.; Yang, J.H.; Badowski, P.R.; Karwacki, E.J. Power dependence of NF3 plasma stability for in situ chamber cleaning. J. Appl. Phys. 2004, 95, 4446–4451. [Google Scholar] [CrossRef]
  8. Martin, A.A.; Toth, M. Cryogenic electron beam induced chemical etching. ACS Appl. Mater. Inter. 2014, 6, 18457–18460. [Google Scholar] [CrossRef] [PubMed][Green Version]
  9. Martin, A.A.; Aharonovich, I.; Toth, M. Gas-Mediated Electron Beam Induced Etching - From Fundamental Physics to Device Fabrication. Microsc. Microanal. 2014, 20, 364–365. [Google Scholar] [CrossRef]
  10. Volynets, V.; Barsukov, Y.; Kim, G.; Jung, J.E.; Nam, S.K.; Han, K.; Kushner, M.J. Highly selective Si3N4/SiO2 etching using an NF3/N2/O2/H2 remote plasma. I. Plasma source and critical fluxes. J. Appl. Phys. 2020, 38, 023007. [Google Scholar] [CrossRef]
  11. Woytek, A.J.; Lileck, J.T.; Barkanic, J.A. Nitrogen trifluoride―A new dry etchant gas. Solid State Technol. 1984, 27, 172–175. [Google Scholar]
  12. Myhre, G.; Shindell, D.; Pongratz, J. Anthropogenic and natural radiative forcing. Anthropog. Nat. Radiat. Clim. Chang. 2014, 659–740. [Google Scholar]
  13. Kim, H.S.; Kim, E.Y.; Lee, P.S. Study of the enrichment of NF3 waste gas using zeolite and polymeric membranes. Sep. Purif. Technol. 2019, 220, 1–7. [Google Scholar] [CrossRef]
  14. Tasaka, A. Electrochemical synthesis and application of NF3. J. Fluor. Chem. 2007, 128, 296–310. [Google Scholar] [CrossRef]
  15. Weiss, R.F.; Mühle, J.; Salameh, P.K.; Harth, C.M. Nitrogen trifluoride in the global atmosphere. Geophys. Res. Lett. 2008, 35. [Google Scholar] [CrossRef]
  16. Wieland, R.; Pittroff, M.; Boudaden, J.; Altmannshofer, S.; Kutter, C. Environmental-friendly fluorine mixture for CVD cleaning processes to replace C2F6, CF4 and NF3. ECS Trans. 2016, 72, 23. [Google Scholar] [CrossRef]
  17. Hellriegel, R.; Hintze, B.; Winzig, H.; Albert, M.; Bartha, J.W.; Schwarze, T.; Pittroff, M. Feasibility study for usage of diluted fluorine for chamber clean etch applications as an environmental friendly replacement of NF3. MRS Online Proc. Libr. 2006, 914. [Google Scholar] [CrossRef]
  18. Yonemura, T.; Fukae, K.; Ohira, Y.; Mitsui, Y.; Takaichi, T.; Sekiya, A.; Beppu, T. Evaluation of FNO and F3NO as Substitute Gases for Semiconductor CVD Chamber Cleaning. J. Electrochem. Soc. 2003, 150, G707–G710. [Google Scholar] [CrossRef]
  19. Kwon, H.-T.; Kim, W.-J.; Shin, G.-W.; Lee, H.-H.; Lee, T.-H.; Kang, M.-H.; Kwon, G.-C. Plasma Etching of Silicon at a High Flow and a High Pressure of NF3 in Reactive Ion Etching. J. Korean Phys. Soc. 2019, 74, 1135–1139. [Google Scholar] [CrossRef]
  20. Kihara, T.; Yokomori, K. Simultaneous measurement of refractive index and thickness of thin film by polarized reflectances. Appl. Opt. 1990, 29, 5069–5073. [Google Scholar] [CrossRef]
  21. Sobolewski, M.A.; Langan, J.G.; Felker, B.S. Electrical optimization of plasma-enhanced chemical vapor deposition chamber cleaning plasmas. J. Vac. Sci. Technol. B 1998, 16, 173–182. [Google Scholar] [CrossRef]
  22. Pruette, L. Evaluation of a Dilute Nitrogen Trifluoride Plasma Clean in a Dielectric PECVD Reactor. Electrochem. Solid-State Lett. 1999, 2, 592. [Google Scholar] [CrossRef]
  23. Entley, W.R.; Langan, J.G.; Felker, B.S.; Sobolewski, M.A. Optimizing utilization efficiencies in electronegative discharges: The importance of the impedance phase angle. J. Appl. Phys. 1999, 86, 4825–4835. [Google Scholar] [CrossRef]
  24. Steinfeld, J.I. Reactions of photogenerated free radicals at surfaces of electronic materials. Chem. Rev. 1989, 89, 1291–1301. [Google Scholar] [CrossRef]
  25. Donnelly, V.M.; Flamm, D.L.; Dautremont-Smith, W.C.; Werder, D.J. Anisotropic etching of SiO2 in low-frequency CF4/O2 and NF3/Ar plasmas. J. Appl. Phys. 1984, 55, 242–252. [Google Scholar] [CrossRef]
  26. Langan, J.G.; Rynders, S.W.; Beck, S.E.; Felker, B.S. The role of diluents in electronegative fluorinated gas discharges. J. Appl. Phys. 1996, 79, 3886. [Google Scholar] [CrossRef]
  27. Reyes-Betanzo, C.; Moshkalyov, S.A.; Ramos, A.C.S.; Swart, J.W. Mechanisms of silicon nitride etching by electron cyclotron resonance plasmas using SF6-and NF3-based gas mixtures. J. Vac. Sci. Technol. A 2004, 22, 1513. [Google Scholar] [CrossRef]
  28. Nahomy, J.; Ferreira, C.M.; Gordiets, B.; Pagnon, D.; Touzeau, M.; Vialle, M. Experimental and theoretical investigation of a N2-O2DC flowing glow discharge. J. Phys. D Appl. Phys. 1995, 28, 738–747. [Google Scholar] [CrossRef]
  29. Guerra, V.; Loureiro, J. Non-equilibrium coupled kinetics in stationary N2-O2discharges. J. Phys. D Appl. Phys. 1995, 28, 1903–1918. [Google Scholar] [CrossRef]
  30. Kim, D.J.; Yun, Y.B.; Hwang, J.Y.; Lee, N.E.; Kim, K.S.; Bae, G.H. Role of N2 during chemical dry etching of silicon oxide layers using NF3/N2/Ar remote plasmas. Microelectron. Eng. 2007, 84, 560–566. [Google Scholar] [CrossRef]
  31. Barsukov, Y.; Volynets, V.; Lee, S.; Kim, G.; Lee, B.; Nam, S.K.; Han, K. Role of NO in highly selective SiN/SiO2 and SiN/Si etching with NF3/O2 remote plasma: Experiment and simulation. J. Vac. Sci. Technol. A 2017, 35, 61310. [Google Scholar] [CrossRef]
Figure 1. Plasma etching equipment setup.
Figure 1. Plasma etching equipment setup.
Materials 14 03026 g001
Figure 2. DC offset of the RF electrode during plasma discharge at a total flow rate of 120 sccm.
Figure 2. DC offset of the RF electrode during plasma discharge at a total flow rate of 120 sccm.
Materials 14 03026 g002
Figure 3. (a) Intensity of F+ ions and the sum of the etch product ions (SiF+, SiF2+, and SiF3+) during NF3 plasma silicon oxide etching as functions of the input power for various working pressures; (b) Intensity of F+ ions and the sum of the etch product ions (SiF+, SiF2+, and SiF3+) during F3NO plasma silicon oxide etching as functions of the input power for various working pressures.
Figure 3. (a) Intensity of F+ ions and the sum of the etch product ions (SiF+, SiF2+, and SiF3+) during NF3 plasma silicon oxide etching as functions of the input power for various working pressures; (b) Intensity of F+ ions and the sum of the etch product ions (SiF+, SiF2+, and SiF3+) during F3NO plasma silicon oxide etching as functions of the input power for various working pressures.
Materials 14 03026 g003
Figure 4. Intensity of: (a) O+ ions; (b) O2+ during plasma silicon oxide etching as functions of input power for various working pressures.
Figure 4. Intensity of: (a) O+ ions; (b) O2+ during plasma silicon oxide etching as functions of input power for various working pressures.
Materials 14 03026 g004
Figure 5. Intensity of: (a) N+ ions; (b) N2+ ions; (c) F2+ ions; (d) NF2+ ions during plasma silicon oxide etching as functions of the input power for various working pressures.
Figure 5. Intensity of: (a) N+ ions; (b) N2+ ions; (c) F2+ ions; (d) NF2+ ions during plasma silicon oxide etching as functions of the input power for various working pressures.
Materials 14 03026 g005
Figure 6. Intensity: of (a) NO+ ions; (b) NO2+ ions during plasma silicon oxide etching as functions of the input power for various working pressures.
Figure 6. Intensity: of (a) NO+ ions; (b) NO2+ ions during plasma silicon oxide etching as functions of the input power for various working pressures.
Materials 14 03026 g006
Figure 7. Etch rate as a function of input for various working pressures during plasma silicon oxide etching at a total flow rate of 120 sccm.
Figure 7. Etch rate as a function of input for various working pressures during plasma silicon oxide etching at a total flow rate of 120 sccm.
Materials 14 03026 g007
Figure 8. Surface of the SEM images of the SiO2 samples: without etching of (a) ×5000, (b) ×30,000, at 400 W discharge power and 270 mTorr process pressure with NF3 plasma of (c) ×5000, (d) ×30,000 and F3NO plasma of (e) ×5000 and (f) ×30,000.
Figure 8. Surface of the SEM images of the SiO2 samples: without etching of (a) ×5000, (b) ×30,000, at 400 W discharge power and 270 mTorr process pressure with NF3 plasma of (c) ×5000, (d) ×30,000 and F3NO plasma of (e) ×5000 and (f) ×30,000.
Materials 14 03026 g008
Figure 9. EDS spectra of the SiO2 surface without etching, at 400 W discharge power and 270 mTorr process pressure with NF3 plasma and F3NO plasma.
Figure 9. EDS spectra of the SiO2 surface without etching, at 400 W discharge power and 270 mTorr process pressure with NF3 plasma and F3NO plasma.
Materials 14 03026 g009
Publisher’s Note: MDPI stays neutral with regard to jurisdictional claims in published maps and institutional affiliations.

Share and Cite

MDPI and ACS Style

Kim, W.-J.; Bang, I.-Y.; Kim, J.-H.; Park, Y.-S.; Kwon, H.-T.; Shin, G.-W.; Kang, M.-H.; Cho, Y.; Kwon, B.-H.; Kwak, J.-H.; et al. Silicon Oxide Etching Process of NF3 and F3NO Plasmas with a Residual Gas Analyzer. Materials 2021, 14, 3026. https://doi.org/10.3390/ma14113026

AMA Style

Kim W-J, Bang I-Y, Kim J-H, Park Y-S, Kwon H-T, Shin G-W, Kang M-H, Cho Y, Kwon B-H, Kwak J-H, et al. Silicon Oxide Etching Process of NF3 and F3NO Plasmas with a Residual Gas Analyzer. Materials. 2021; 14(11):3026. https://doi.org/10.3390/ma14113026

Chicago/Turabian Style

Kim, Woo-Jae, In-Young Bang, Ji-Hwan Kim, Yeon-Soo Park, Hee-Tae Kwon, Gi-Won Shin, Min-Ho Kang, Youngjun Cho, Byung-Hyang Kwon, Jung-Hun Kwak, and et al. 2021. "Silicon Oxide Etching Process of NF3 and F3NO Plasmas with a Residual Gas Analyzer" Materials 14, no. 11: 3026. https://doi.org/10.3390/ma14113026

APA Style

Kim, W.-J., Bang, I.-Y., Kim, J.-H., Park, Y.-S., Kwon, H.-T., Shin, G.-W., Kang, M.-H., Cho, Y., Kwon, B.-H., Kwak, J.-H., & Kwon, G.-C. (2021). Silicon Oxide Etching Process of NF3 and F3NO Plasmas with a Residual Gas Analyzer. Materials, 14(11), 3026. https://doi.org/10.3390/ma14113026

Note that from the first issue of 2016, this journal uses article numbers instead of page numbers. See further details here.

Article Metrics

Back to TopTop