Investigation of Acoustic Properties of Poroelastic Asphalt Mixtures in Laboratory and Field Conditions
Abstract
1. Introduction
2. Materials
3. Scheme and Scope of the Tests
- -
- Qv—vertical flow of water through specimen (m3/s),
- -
- l—specimen thickness (m),
- -
- D—specimen diameter (m),
- -
- h—constant height of the water column (in vertical permeability test) (m).
4. Laboratory Test Results and Their Analysis
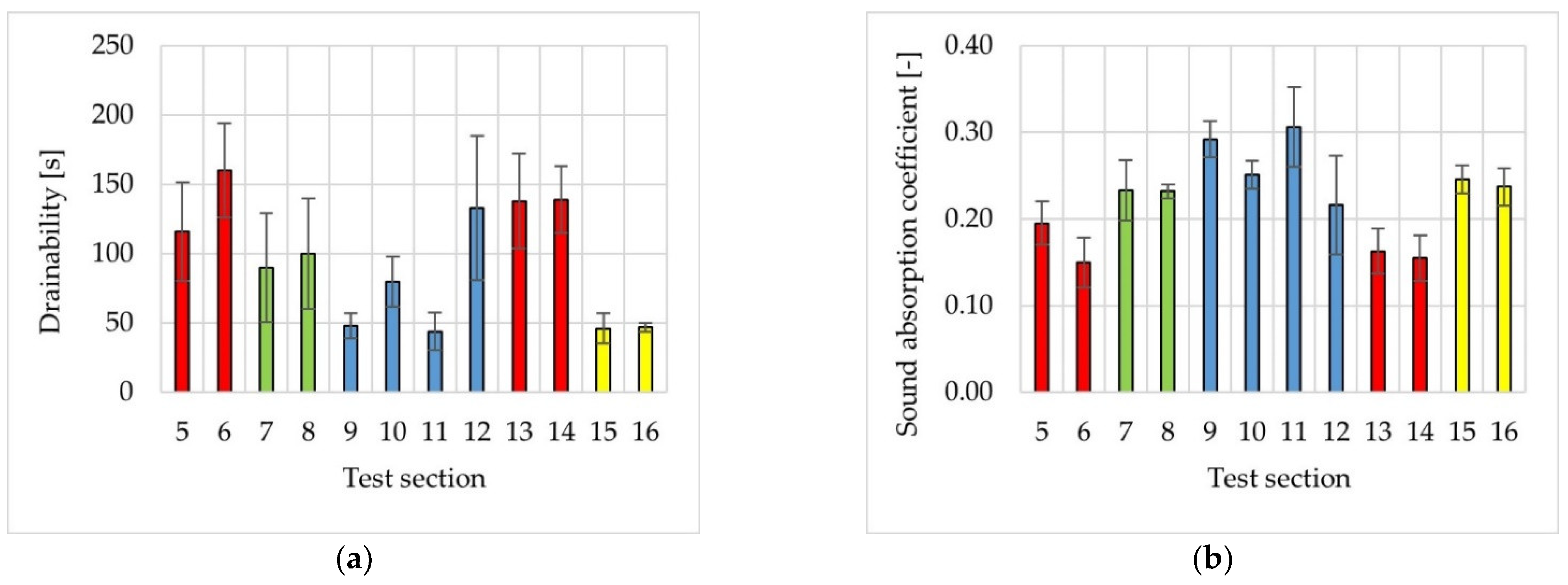
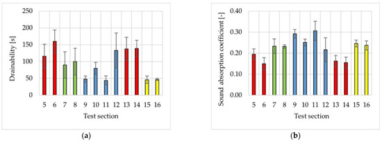
5. Field Verification of Laboratory Tests
- different types of asphalt paver—small and normal size;
- different levels of initial compaction by paver screed (using only tamper bars or tampers and vibrating plates);
- different levels of final compaction provided by an 8.5-ton roller (three or seven passes).
6. Conclusions
- Air void content significantly affects both the sound absorption coefficient and the water drainability/permeability of poroelastic mixtures.
- The use of a Spectronics ACUPAVE System enables ranking of poroelastic mixtures according to their sound absorption ability. However, the results obtained for cylindrical specimens are slightly higher than for test slabs.
- Both the use of in situ method and the laboratory method of water drainability/permeability measurement enables the evaluation of acoustic properties of poroelastic mixtures.
- Poroelastic mixtures containing aggregate of maximum particle size of 5 mm are characterised by better acoustic properties than corresponding mixtures with maximum aggregate particle size of 8 mm.
- Changes of crumb rubber aggregate grading and bitumen type (within the tested range of values), as well as the addition of lime, have shown no evident influence on the sound absorption coefficient.
- Noise level measurements on test sections using the CPX method confirmed the ranking of the used poroelastic mixtures in terms of their acoustic properties.
- The results of the Spectronics ACUPAVE System tests are subject to relatively high uncertainty. Hence, further research will be carried out to improve the reliability of this method.
- Research work will be continued in order to obtain more unambiguous findings regarding the influence of the material and technological characteristics of poroelastic asphalt mixtures on the acoustic properties of road surfaces.
Author Contributions
Funding
Institutional Review Board Statement
Informed Consent Statement
Data Availability Statement
Conflicts of Interest
References
- Li, T. Influencing Parameters on Tire–Pavement Interaction Noise: Review, Experiments and Design Considerations. Designs 2018, 2, 38. [Google Scholar] [CrossRef]
- Praticò, F.G.; Vizzari, D.; Fedele, R. Estimating the resistivity and tortuosity of a road pavement using an inverse problem approach. In Proceedings of the 24th International Congress on Sound and Vibration, ICSV 2017, London, UK, 23–27 July 2017. [Google Scholar]
- Praticò, F.G.; Fedele, R.; Vizzari, D. Significance and reliability of absorption spectra of quiet pavements. Constr. Build Mater. 2017, 140, 274–281. [Google Scholar] [CrossRef]
- Attenborough, K.; Howorth, C. Models for the acoustic characteristics of porous road surfaces. In Proceedings of the INTROC 90-International Tire/Road Noise Conference, Gothenburg, Sweden, 8–10 August 1990. [Google Scholar]
- Alber, S.; Ressel, W.; Liu, P.; Hu, J.; Wang, D.; Oeser, M.; Uribe, D.; Steeb, H. Investigation of microstructure characteristics of porous asphalt with relevance to acoustic pavement performance. Int. J. Transp. Sci. Technol. 2018, 7, 199–207. [Google Scholar] [CrossRef]
- Sandberg, U.; Ejsmont, J.A. Tyre/Road Noise Reference Book; Informex: Kisa, Sweden, 2002. [Google Scholar]
- Gardziejczyk, W. Influence of road pavement macrotexture on tyre/road noise of vehicles. Balt. J. Road Bridg. Eng. 2014, 9, 180–190. [Google Scholar] [CrossRef]
- Miljković, M.; Radenberg, M. Thin noise-reducing asphalt pavements for urban areas in Germany. Int. J. Pavement Eng. 2012, 13, 569–578. [Google Scholar] [CrossRef]
- Bendtsen, H.; Andersen, B.; Oddershede, J.; Iversen, L.M. Long time effect of noise reducing thin layers pavements. In Proceedings of the Inter-Noise 2012, New York, NY, USA, 19–22 August 2012. [Google Scholar]
- Gardziejczyk, W. The effect of time on acoustic durability of low noise pavements—The case studies in Poland. Transp. Res. Part D Transp. Environ. 2016, 44, 93–104. [Google Scholar] [CrossRef]
- Liu, M.; Huang, X.; Xue, G. Effects of double layer porous asphalt pavement of urban streets on noise reduction. Int. J. Sustain. Built Environ. 2016, 5, 183–196. [Google Scholar] [CrossRef]
- Vaitkus, A.; Šernas, O.; Vorobjovas, V.; Gražulytė, J. Selection of Constituent Materials for Asphalt Mixtures of Noise-Reducing Asphalt Pavements. Balt. J. Road Bridg. Eng. 2019, 14, 178–207. [Google Scholar] [CrossRef]
- Sandberg, U.; Goubert, L. Poroelastic Road Surface: A review of 30 years of R&D work. In Proceedings of the Inter—Noise 2011, Osaka, Japan, 4–7 September 2011. [Google Scholar]
- Freitas, E.F. The effect of time on the contribution of asphalt rubber mixtures to noise abatement. Noise Control. Eng. J. 2012, 60, 1–8. [Google Scholar] [CrossRef]
- Callai, S.C.; Sangiorgi, C. A Review on Acoustic and Skid Resistance Solutions for Road Pavements. Infrastructures 2021, 6, 41. [Google Scholar] [CrossRef]
- Goubert, L.; Sandberg, U. The PERSUADE project: Developing the concept of poroelastic road surface into a powerful tool for abating traffic noise. In Proceedings of the Inter—Noise 2010, Lisbon, Portugal, 13–16 June 2010. [Google Scholar]
- Sandberg, U.; Goubert, L. PERSUADE—A European project for exceptional noise reduction by means of poroelastic road surfaces. In Proceedings of the Inter—Noise 2011, Osaka, Japan, 4–7 September 2011. [Google Scholar]
- Kalman, B.; Biligiri, K.P.; Sandberg, U. Project PERSUADE: Optimization of poroelastic road surfaces in the laboratory. In Proceedings of the Inter—Noise 2011, Osaka, Japan, 4–7 September 2011. [Google Scholar]
- Bendtsen, H.; Andersen, B.; Kalman, B.; Cesbron, J. The first poroelastic test section in PERSUADE. In Proceedings of the Inter—Noise 2013, Innsbruck, Austria, 15–18 September 2013. [Google Scholar]
- Mioduszewski, P.; Ejsmont, J.; Ronowski, G.; Taryma, S. Further development of the poroelastic road surface within the new Polish project SEPOR. In Proceedings of the InterNoise 2019, Madrid, Spain, 16–19 June 2019. [Google Scholar]
- ISO 11819-Acoustics—Measurement of the Influence of Road Surfaces on Traffic Noise—Part 1: Statistical Pass-By Method; Inter-national Organization for Standardization: Geneva, Switzerland, 1997.
- ISO 11819-Acoustics—Measurement of the Influence of Road Surfaces on Traffic Noise—Part 2: The Close-Proximity Method; In-ternational Organization for Standardization: Geneva, Switzerland, 2017.
- AASHTO T 316-Standard Method of Test for Measurement of Tire/Pavement Noise Using the On-Board Sound Intensity (OBSI) Method; American Association of State Highway and Transportation Officials: Washington, DC, USA, 2016.
- Mioduszewski, P.; Gardziejczyk, W. Inhomogeneity of low-noise wearing courses evaluated by tire/road noise measurements using the close-proximity method. Appl. Acoust. 2016, 111, 58–66. [Google Scholar] [CrossRef]
- Ledee, F.A.; Brosseaud, Y. Acoustic monitoring of low noise road pavements. Noise Control. Eng. J. 2009, 57, 50. [Google Scholar] [CrossRef]
- Tonin, R.; Saurer, T. Comparison of CPX and OBSI noise measurements for different road surfaces. In Proceedings of the Inter-Noise 2017, Hong Kong, China, 27–30 August 2017. [Google Scholar]
- Cesbron, J.; Klein, P. Correlation between tyre/road noise levels measured by the Coast-by and the Close-ProXimity methods. Appl. Acoust. 2017, 126, 36–46. [Google Scholar] [CrossRef]
- ISO 10534-Acoustics—Determination of Sound Absorption Coefficient and Impedance in Impedance Tubes—Part 1: Method Using Standing Wave Ratio; International Organization for Standardization: Geneva, Switzerland, 1996.
- ISO 13472-Acoustics—Measurement of Sound Absorption Properties of Road Surfaces In Situ—Part 2: Spot Method for Reflective Sur-faces; International Organization for Standardization: Geneva, Switzerland, 2010.
- Vaitkus, A.; Andriejauskas, T.; Vorobjovas, V.; Jagniatinskis, A.; Fiks, B.; Zofka, E. Asphalt wearing course optimization for road traffic noise reduction. Constr. Build. Mater. 2017, 152, 345–356. [Google Scholar] [CrossRef]
- Knabben, R.M.; Trichês, G.; Gerges, S.N.; Vergara, E.F. Evaluation of sound absorption capacity of asphalt mixtures. Appl. Acoust. 2016, 114, 266–274. [Google Scholar] [CrossRef]
- Chu, L.; Fwa, T.; Tan, K. Evaluation of wearing course mix designs on sound absorption improvement of porous asphalt pavement. Constr. Build. Mater. 2017, 141, 402–409. [Google Scholar] [CrossRef]
- Seybert, A.F.; Hua, X.; Herrin, D.W. Controlling uncertainty of sound absorption measurements using the impedance tube method. In Proceedings of the Inter-noise 2013, Innsbruck, Austria, 15–18 September.
- Jaskula, P.; Szydlowski, C.; Stienss, M.; Rys, D.; Jaczewski, M.; Pszczola, M. Durable poroelastic wearing course SEPOR with highly modified bitumen. Transp. Res. Procedia 2020, 45, 882–889. [Google Scholar] [CrossRef]
- Jaskula, P.; Ejsmont, J.; Stienss, M.; Ronowski, G.; Szydlowski, C.; Swieczko-Zurek, B.; Rys, D. Initial Field Validation of Poroelastic Pavement Made with Crumb Rubber, Mineral Aggregate and Highly Polymer-Modified Bitumen. Materials 2020, 13, 1339. [Google Scholar] [CrossRef] [PubMed]
- Jaskula, P.; Rys, D.; Szydłowski, C.; Stienss, M.; Mejlun, L.; Jaczewski, M.; Ronowski, G. Optimisation and field assessment of poroelastic wearing course bond quality. Road Mater. Pavement Des. 2021, 22, S604–S623. [Google Scholar] [CrossRef]
- EN 12697-Bituminous Mixtures—Test Method—Part 33: Specimen Prepared by Roller Compactor; European Standards: Madrid, Spain, 2019.
- ISO 10534-2: Acoustic—Determination of Sound Absorption Coefficient and Impedance in Impedance Tubes—Part 2: Trans-Fer-Function Method; International Organization for Standardization: Geneva, Switzerland, 1998.
- EN 12697-Bituminous Mixtures—Test Methods—Part 40: In Situ Drainability; European Standards: Madrid, Spain, 2020.
- EN 12697-19 +A1 Standard. Bituminous Mixtures—Test Methods—Part 19: Permeability of Specimen; European Standards: Madrid, Spain, 2020.
- Mioduszewski, P.; Ejsmont, J. Tire/road noise measuring principles according to the Close Proximity Method. RED. ZAGR. ANGIELSKI 2007, 82–85. [Google Scholar] [CrossRef]
- ISO 11819-Acoustics—Measurement of the Influence of Road Surfaces on Traffic Noise—Part 3: Reference Tyres; International Organization for Standardization: Geneva, Switzerland, 2017.
- Zhang, H.; Liu, Z.; Meng, X. Noise reduction characteristics of asphalt pavement based on indoor simulation tests. Constr. Build. Mater. 2019, 215, 285–297. [Google Scholar] [CrossRef]




















| Mixture Designation | Maximum Grain Size [mm] | Type of Binder | Addition of Hydrated Lime | Crumb Rubber Gradation [mm] |
|---|---|---|---|---|
| 1 | 8 | 45/80-80 | No | 2/4 |
| 2 | 8 | 45/80-80 | Yes | 2/4 |
| 3 | 8 | 45/80-80 | No | 4/5,6 |
| 4 | 5 | 45/80-80 | No | 2/4 |
| 5 | 5 | 45/80-80 | Yes | 2/4 |
| 6 | 5 | 65/105-80 | No | 2/4 |
| 7 | 5 | 65/105-80 | Yes | 2/4 |
| Mixture Designation | Air Voids Content (SD) [%] | Internal Shear Strength [MPa] |
|---|---|---|
| 1 | 16.1 (± 1.8) | 0.67 |
| 2 | 18.6 (± 0.5) | 0.72 |
| 3 | 22.5 (± 2.1) | 0.52 |
| 4 | 20.4 (± 0.8) | 0.55 |
| 5 | 24.2 (± 1.8) | 0.61 |
| 6 | 22.3 (± 0.8) | 0.49 |
| 7 | 25.2 (± 0.8) | 0.47 |
| Section No. (Mixture No.) | Paver Type | Screed Settings | Number of 8.5-ton Roller Passes |
|---|---|---|---|
| 5 (No. 1) | small size | tampers only | 3 |
| 6 (No. 1) | 7 | ||
| 7 (No. 4) | standard size | tampers only | 3 |
| 8 (No. 4) | 7 | ||
| 9 (No. 5) | tampers only | 3 | |
| 10 (No. 5) | 7 | ||
| 11 (No. 5) | tampers and vibrating plates | 3 | |
| 12 (No. 5) | 7 | ||
| 13 (No. 1) | tampers only | 3 | |
| 14 (No. 1) | 7 | ||
| 15 (No. 3) | tampers only | 3 | |
| 16 (No. 3) | 7 |
Publisher’s Note: MDPI stays neutral with regard to jurisdictional claims in published maps and institutional affiliations. |
© 2021 by the authors. Licensee MDPI, Basel, Switzerland. This article is an open access article distributed under the terms and conditions of the Creative Commons Attribution (CC BY) license (https://creativecommons.org/licenses/by/4.0/).
Share and Cite
Gardziejczyk, W.; Jaskula, P.; Ejsmont, J.A.; Motylewicz, M.; Stienss, M.; Mioduszewski, P.; Gierasimiuk, P.; Zawadzki, M. Investigation of Acoustic Properties of Poroelastic Asphalt Mixtures in Laboratory and Field Conditions. Materials 2021, 14, 2649. https://doi.org/10.3390/ma14102649
Gardziejczyk W, Jaskula P, Ejsmont JA, Motylewicz M, Stienss M, Mioduszewski P, Gierasimiuk P, Zawadzki M. Investigation of Acoustic Properties of Poroelastic Asphalt Mixtures in Laboratory and Field Conditions. Materials. 2021; 14(10):2649. https://doi.org/10.3390/ma14102649
Chicago/Turabian StyleGardziejczyk, Wladyslaw, Piotr Jaskula, Jerzy A. Ejsmont, Marek Motylewicz, Marcin Stienss, Piotr Mioduszewski, Pawel Gierasimiuk, and Maciej Zawadzki. 2021. "Investigation of Acoustic Properties of Poroelastic Asphalt Mixtures in Laboratory and Field Conditions" Materials 14, no. 10: 2649. https://doi.org/10.3390/ma14102649
APA StyleGardziejczyk, W., Jaskula, P., Ejsmont, J. A., Motylewicz, M., Stienss, M., Mioduszewski, P., Gierasimiuk, P., & Zawadzki, M. (2021). Investigation of Acoustic Properties of Poroelastic Asphalt Mixtures in Laboratory and Field Conditions. Materials, 14(10), 2649. https://doi.org/10.3390/ma14102649

