AC Corrosion of Carbon Steel under Cathodic Protection Condition: Assessment, Criteria and Mechanism. A Review
Abstract
1. Introduction
2. Assessment of AC Corrosion Likelihood
- AC voltage, VAC;
- AC density, iAC;
- DC density, iDC;
- AC/DC densities ratio, iAC/iDC;
- DC potential (IR-free potential, EIR-free, and ON potential, EON);
- Soil resistivity, ρ.
2.1. AC Voltage
2.2. AC Density
2.3. AC/DC Current Density Ratio
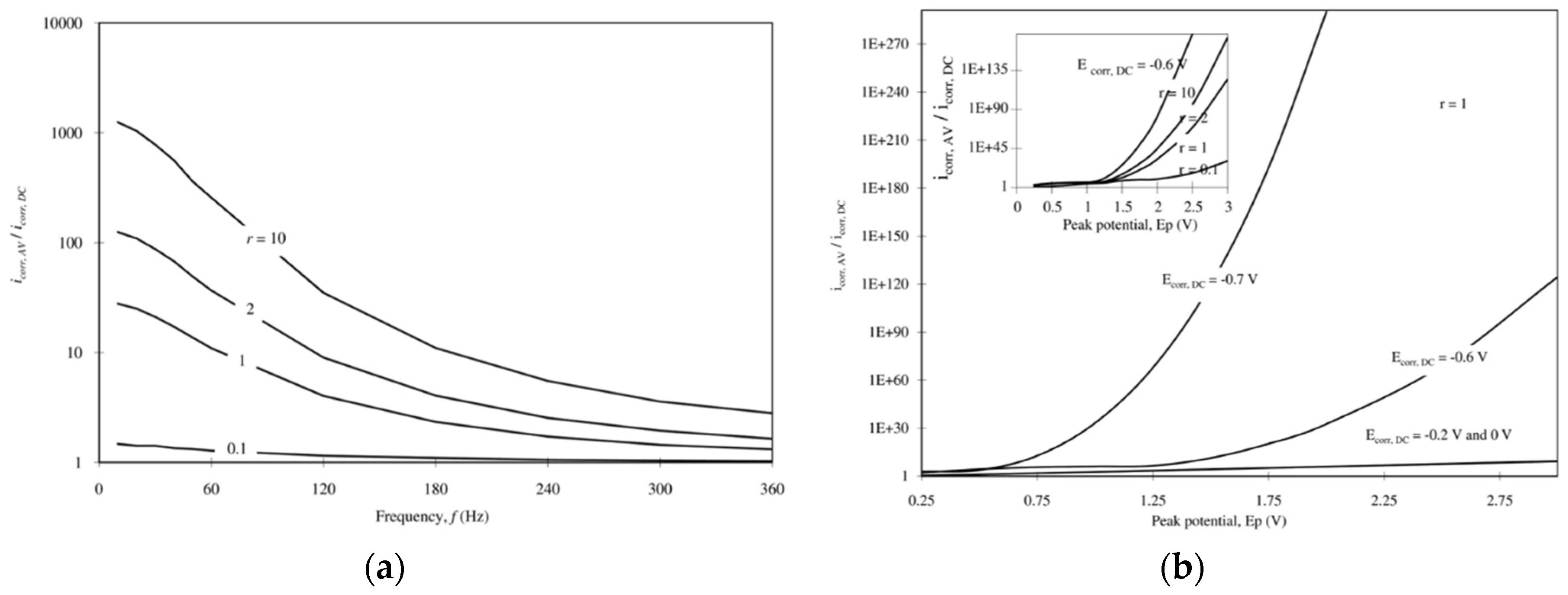
2.4. AC Frequency
2.5. Soil Resistivity and Chemical Composition
- ρ < 25 Ω·m: very high risk;
- 25 Ω·m < ρ < 100 Ω·m: high risk;
- 100 Ω·m < ρ < 300 Ω·m: medium risk;
- ρ > 300 Ω·m: low risk.
2.6. Effect on DC Potential (Free Corrosion Condition)
2.6.1. Negative Shift of Potential
2.6.2. Positive Shift of Potential
2.7. Effect on DC Potential (Cathodic Protection Condition)
3. Acceptable AC Interference Levels—Protection Criteria
- if 0.1 A·m−2 ≤ iDC < 1 A·m−2, then iAC/iDC < 25,
- if 1 A·m−2 ≤ iDC ≤ 20 A·m−2, then iAC < 70 A·m−2.
- if 0.1 A·m−2 ≤ iDC < 1 A·m−2, then iAC < 30 A·m−2,
- if 1 A·m−2 ≤ iDC ≤ 10 A·m−2, then iAC < 10 A·m−2.
- iAC < 30 A·m−2;
- iDC < 1 A·m−2;
- iAC/iDC < 3.
- average VAC < 15 V and average EON more positive than −1.2 V vs. CSE;
- VAC < 3·(|EON| − 1.2) where EON is in V vs. CSE and EON < −1.2 V vs. CSE.
- As a first step, the AC voltage on the pipeline should be decreased below 15 V r.m.s. The AC voltage is measured as an average over a representative time (e.g., 24 h) with respect to a reference electrode located in remote position;
- As a second step, AC corrosion mitigation is achieved by matching the CP protection potentials defined in ISO 15589-1 [2] and— maintaining the AC density (iAC) lower than 30 A·m−2 on a 1 cm2 coupon or probe over a representative time (e.g., 24 h), or— maintaining the average cathodic current density lower than 1 A·m−2 on a 1 cm2 coupon or probe over a representative time (e.g., 24 h), if AC density is higher than 30 A·m−2, or— maintaining the ratio between AC and DC densities (iAC/iDC) less than 3 over a representative time (e.g., 24 h).
4. AC Corrosion Mechanism
4.1. Effect of Anodic and Cathodic AC Half-Wave on Metal Dissolution
4.2. The Alkalization Mechanism and the Effect of Spread Resistance
4.3. Effect of AC on Anodic and Cathodic Overvoltages
4.4. Breakdown of the Passive Film and High-pH Corrosion
5. AC Corrosion Monitoring
6. Conclusions
- The assessment of AC corrosion likelihood should be based on the measurement of AC and DC related parameters. The AC interference level is evaluated by AC remote voltage and AC density, while the CP level is assessed by DC density and potential measurements;
- AC and DC densities should be measured by means of a corrosion coupon (1 cm2 area) connected to the structure in CP condition; IR-free potential is considered more accurate than ON potential, because it does not contain the ohmic drop contribution in soil;
- There is general agreement that the DC potential of carbon steel in CP condition increases in the presence of AC interference, although a negative shift is measured at small DC density. Conversely, in free corrosion condition, i.e., without CP, the potential decreases as the AC density increases;
- Overprotection (namely EIR-free < −1.2 V vs. CSE) is the most dangerous condition in the presence of AC interference. At “high” CP levels, the maximum tolerable AC density is 30 A·m−2. Below 1 A·m−2 DC density, the AC corrosion likelihood decreases. Nevertheless, some doubts are revealed regarding the inexistence of the criterion reported in the ISO 18086 standard of an AC density threshold at “low” CP condition (iDC < 1 A·m−2);
- The higher AC corrosion likelihood at high CP levels could be explained by a corrosion mechanism that involves both the AC and DC levels:
- ૦
- At high DC density, a strong alkalization of the electrolyte close to the coating defect occurs with formation of a passive film and deposits (as a calcareous deposit) on carbon steel. Soil chemical composition, pH and spread resistance at the coating defects seem to have a crucial role, controlling the local AC and DC densities;
- ૦
- AC interference provokes a weakening of the passive condition due to an effect on anodic and cathodic overvoltages; moreover, the scale formed in CP condition is not stable in the presence of AC due to potential oscillations that could break the protective layer;
- ૦
- High-pH corrosion occurs with localized corrosion attacks; chemical corrosion (i.e., potential independent) with formation of di-hypo ferrite ions (HFeO2−) is a possible explanation for the occurrence of corrosion at low potentials.
Author Contributions
Funding
Conflicts of Interest
References
- General Principles of Cathodic Protection of Buried or Immersed Onshore Metallic Structures; EN 12954; British Standards Institution: London, UK, 29 August 2019.
- Petroleum, Petrochemical and Natural Gas Industries. Cathodic Protection of Pipeline Systems. Part 1: On-land Pipelines; ISO 15589-1; ISO - International Organization for Standardization: Geneva, Switzerland, 1 March 2015.
- CIGRE Working Group 36.02. Guide on the Influence of High Voltage AC Power Systems on Metallic Pipelines; CIGRE Technical Brochure no. 095; CIGRE: Paris, France, 1995. [Google Scholar]
- Corrosion of Metals and Alloys. Determination of AC Corrosion. Protection Criteria; ISO 18086; ISO - International Organization for Standardization: Geneva, Switzerland, 2019.
- Effects of Electromagnetic Interference on Pipelines Caused by High Voltage a.c. Electric Traction Systems and/or High Voltage a.c. Power Supply Systems; EN 50443; CEN-CENELEC - European Committee for Electrotechnical Standardization: Brussels, Belgium, 1 January 2011.
- IEEE. IEEE Guide for Safety in AC Substation Grounding; IEEE Std. 80-2000; IEEE - The Institute of Electrical and Electronics Engineers, Inc.: New York, NY, USA, 2000. [Google Scholar]
- Mitigation of Alternating Current and Lightning Effects on Metallic Structures and Corrosion Control Systems; NACE SP0177; NACE International: Houston, TX, USA, 22 June 2007.
- Tang, D.; Du, Y.; Lu, M.; Chen, S.; Jiang, Z.; Dong, L. Study on location of reference electrode for measurement of induced alternating current voltage on pipeline. Int. Trans. Electr. Energy Syst. 2013, 25, 99–119. [Google Scholar] [CrossRef]
- NACE International Task Group 327. AC corrosion State-of-the-Art: Corrosion Rate, Mechanism, and Mitigation Requirements; NACE Technical Committee Report 35110; NACE International: Houston, TX, USA, 2010. [Google Scholar]
- Gummow, R.A.; Segall, S.M.; Fieltsch, W. Pipeline ac mitigation misconceptions. In Proceedings of the Northern Area Western Conference, Calgary, AB, Canada, 15–18 February 2010; p. 14. [Google Scholar]
- Panossian, Z.; Filho, S.E.A.; De Almeida, N.L.; Filho, M.L.P.; De L. Silva, D.; Laurino, E.W.; De L. Oliver, J.H.; De S. Pimenta, G.; De C. Albertini, J.Á. Effect of alternating current by high power lines voltage and electric transmission systems in pipelines corrosion. In Proceedings of the Corrosion 2009 Conference & Expo, Atlanta, GA, USA, 22–26 March 2009; p. 41. [Google Scholar]
- Wakelin, R.G.; Gummow, R.A.; Segall, S.M. AC corrosion—Case histories, test procedures, & mitigation. In Proceedings of the Corrosion/98, San Diego, CA, USA, 22–27 March 1998; p. 14. [Google Scholar]
- Ouadah, M.; Touhami, O.; Ibtiouen, R.; Zergoug, M. Method for diagnosis of the effect of AC on the X70 pipeline due to an inductive coupling caused by HVPL. IET Sci. Meas. Technol. 2017, 11, 766–772. [Google Scholar] [CrossRef]
- Williams, J.F. Corrosion of metals under the influence of alternating current. Mater. Prot. 1966, 5, 52–53. [Google Scholar]
- Pookote, S.R.; Chin, D.-T. Effect of alternating current on the underground corrosion of steels. Mater. Performance 1978, 17, 9–15. [Google Scholar]
- Goidanich, S.; Lazzari, L.; Ormellese, M. AC corrosion. Part 2: Parameters influencing corrosion rate. Corros. Sci. 2010, 52, 916–922. [Google Scholar] [CrossRef]
- Fu, A.; Cheng, Y.F. Effects of alternating current on corrosion of a coated pipeline steel in a chloride-containing carbonate/bicarbonate solution. Corros. Sci. 2010, 52, 612–619. [Google Scholar] [CrossRef]
- Gummow, R.A.; Wakelin, R.G.; Segall, S.M. AC corrosion—A new challenge to pipeline integrity. In Proceedings of the Corrosion/98, San Diego, CA, USA, 22–27 March 1998; p. 18. [Google Scholar]
- Pourbaix, A.; Carpentiers, P.; Gregoor, R. Detection and assessment of AC induced corrosion. Mater. Performance 2000, 39, 34–37. [Google Scholar]
- Yunovich, M.; Thompson, N.G. AC corrosion: Corrosion rate and mitigation requirements. In Proceedings of the Corrosion/2004, New Orleans, LA, USA, 22 March–1 April 2004; p. 18. [Google Scholar]
- Ragault, I. AC corrosion induced by V.H.V. electrical lines on polyethylene coated steel gas pipelines. In Proceedings of the Corrosion/98, San Diego, CA, USA, 22–27 March 1998; p. 14. [Google Scholar]
- Büchler, M.; Schöneich, H.-G. Investigation of Alternating Current Corrosion of Cathodically Protected Pipelines: Development of a Detection Method, Mitigation Measures, and a Model for the Mechanism. Corrosion 2009, 65, 578–586. [Google Scholar] [CrossRef]
- Ormellese, M.; Lazzari, L.; Brenna, A.; Trombetta, A. Proposal of CP criterion in the presence of AC-interference. In Proceedings of the Corrosion 2010 Conference & Expo, San Antonio, TX, USA, 14–18 March 2010; p. 17. [Google Scholar]
- He, X.; Jiang, G.; Qiu, Y.; Zhang, G.; Jin, X.; Xiang, Z.; Zhang, Z.; Tang, H. Study of criterion for assuring the effectiveness of cathodic protection of buried steel pipelines being interfered with alternative current. Mater. Corros. 2011, 63, 534–543. [Google Scholar] [CrossRef]
- Ding, H.; Li, J.; Wang, S.; Yang, Y. Experimental study on stray current corrosion of coated pipeline steel. J. Nat. Gas Sci. Eng. 2015, 27, 1555–1561. [Google Scholar] [CrossRef]
- Ormellese, M.; Lazzari, L.; Brenna, A. AC corrosion of cathodically protected buried pipelines: Critical interference values and protection criteria. In Proceedings of the Corrosion 2015 Conference & Expo, Dallas, TX, USA, 15–19 March 2015; p. 11. [Google Scholar]
- Xiao, Y.; Du, Y.; Tang, D.; Ou, L.; Sun, H.; Lu, Y. Study on the influence of environmental factors on AC corrosion behavior and its mechanism. Mater. Corros. 2017, 69, 601–613. [Google Scholar] [CrossRef]
- Fernandes, S.Z.; Mehendale, S.G.; Venkatachalam, S. Influence of frequency of alternating current on the electrochemical dissolution of mild steel and nickel. J. Appl. Electrochem. 1980, 10, 649–654. [Google Scholar] [CrossRef]
- Lalvani, S.; Zhang, G. The corrosion of carbon steel in a chloride environment due to periodic voltage modulation: Part I. Corros. Sci. 1995, 37, 1567–1582. [Google Scholar] [CrossRef]
- Qiu, W.W.; Pagano, M.; Zhang, G.; Lalvani, S. A periodic voltage modulation effect on the corrosion oF Cu-Ni Alloy. Corros. Sci. 1995, 37, 97–110. [Google Scholar] [CrossRef]
- Lalvani, S.B.; Kang, J.-C.; Mandich, N.V. The corrosion of Cu-Ni alloy in a chloride solution subjected to periodic voltage modulation: Part I. Corros. Sci. 1998, 40, 69–89. [Google Scholar] [CrossRef]
- Lalvani, S.B.; Kang, J.-C.; Mandich, N.V. The corrosion of Cu-Ni alloy in a chloride solution subjected to periodic voltage modulation: Part II. Corros. Sci. 1998, 40, 201–214. [Google Scholar] [CrossRef]
- Song, H.; Kim, Y.; Lee, S.; Kho, Y.; Park, Y. Competition of AC and DC current in AC corrosion under cathodic protection. In Proceedings of the Corrosion/2002, Denver, CO, USA, 7–11 April 2002; p. 12. [Google Scholar]
- Guo, Y.-B.; Liu, C.; Wang, D.-G.; Liu, S.-H. Effects of alternating current interference on corrosion of X60 pipeline steel. Pet. Sci. 2015, 12, 316–324. [Google Scholar] [CrossRef]
- Guo, Y.; Meng, T.; Wang, D.; Tan, H.; He, R. Experimental research on the corrosion of X series pipeline steels under alternating current interference. Eng. Fail. Anal. 2017, 78, 87–98. [Google Scholar] [CrossRef]
- Yunovich, M.; Thompson, N.G. AC Corrosion: Mechanism and Proposed Model. In Proceedings of the 2004 International Pipeline Conference, Calgary, AB, Canada, 4–8 October 2004; Volumes 1–3, pp. 183–195. [Google Scholar]
- Büchler, M.; Voûte, C.-H.; Schöneich, H.-G.; Stalder, F. Characteristics of potential measurements in the field of ac corrosion. In Proceedings of the CeoCor International Congress and Technical Exhibition, Giardini Naxos, Italy, 13–16 May 2003. [Google Scholar]
- Bolzoni, F.; Goidanich, S.; Lazzari, L.; Ormellese, M. Laboratory test results of AC interference on polarized steel. In Proceedings of the Corrosion/2003, San Diego, CA, USA, 16–20 April 2003; p. 13. [Google Scholar]
- Goidanich, S.; Lazzari, L.; Ormellese, M. AC corrosion—Part 1: Effects on overpotentials of anodic and cathodic processes. Corros. Sci. 2010, 52, 491–497. [Google Scholar] [CrossRef]
- Bolzoni, F.; Goidanich, S.; Lazzari, L.; Ormellese, M.; Pedeferri, M. Laboratory testing on the influence of alternated current on steel corrosion. In Proceedings of the Corrosion/2004, New Orleans, LA, USA, 22 March–1 April 2004; p. 11. [Google Scholar]
- Li, Y. Effects of Stray AC Interference on Corrosion Behavior of X70 Pipeline Steel in a Simulated Marine Soil Solution. Int. J. Electrochem. Sci. 2017, 12, 1829–1845. [Google Scholar] [CrossRef]
- Wang, X. Corrosion Behavior of X70 and X80 Pipeline Steels in Simulated Soil Solution. Int. J. Electrochem. Sci. 2018, 13, 6436–6450. [Google Scholar] [CrossRef]
- Zhang, R.; Vairavanathan, P.R.; Lalvani, S. Perturbation method analysis of AC-induced corrosion. Corros. Sci. 2008, 50, 1664–1671. [Google Scholar] [CrossRef]
- Xiao, H.; Lalvani, S.B. A Linear Model of Alternating Voltage-Induced Corrosion. J. Electrochem. Soc. 2008, 155, C69. [Google Scholar] [CrossRef]
- Lalvani, S.; Lin, X. A theoretical approach for predicting AC-induced corrosion. Corros. Sci. 1994, 36, 1039–1046. [Google Scholar] [CrossRef]
- Lalvani, S.; Lin, X. A revised model for predicting corrosion of materials induced by alternating voltages. Corros. Sci. 1996, 38, 1709–1719. [Google Scholar] [CrossRef]
- Bosch, R.; Bogaerts, W. A theoretical study of AC-induced corrosion considering diffusion phenomena. Corros. Sci. 1998, 40, 323–336. [Google Scholar] [CrossRef]
- Xu, L.; Su, X.; Yin, Z.; Tang, Y.; Cheng, Y.F. Development of a real-time AC/DC data acquisition technique for studies of AC corrosion of pipelines. Corros. Sci. 2012, 61, 215–223. [Google Scholar] [CrossRef]
- Wu, W.; Pan, Y.; Liu, Z.; Du, C.; Li, X. Electrochemical and Stress Corrosion Mechanism of Submarine Pipeline in Simulated Seawater in Presence of Different Alternating Current Densities. Materials 2018, 11, 1074. [Google Scholar] [CrossRef]
- Ormellese, M.; Lazzari, L.; Goidanich, S.; Sesia, V. CP criteria assessment in the presence of AC interference. In Proceedings of the Corrosion 2008 Conference & Expo, New Orleans, LA, USA, 16–20 March 2008; p. 10. [Google Scholar]
- Xu, L.; Su, X.; Cheng, Y.F. Effect of alternating current on cathodic protection on pipelines. Corros. Sci. 2013, 66, 263–268. [Google Scholar] [CrossRef]
- Xu, L.; Cheng, Y.F. A Real-Time AC/DC Measurement Technique for Investigation of AC Corrosion of Pipelines and Its Effect on the Cathodic Protection Effectiveness. In Proceedings of the Corrosion 2013 Conference & Expo, Orlando, FL, USA, 17–21 March 2013; p. 10. [Google Scholar]
- Kuang, D.; Cheng, Y.F. Effect of alternating current interference on coating disbondment and cathodic protection shielding on pipelines. Corros. Eng. Sci. Technol. 2015, 50, 211–217. [Google Scholar] [CrossRef]
- Kuang, D.; Cheng, Y.F. Effects of alternating current interference on cathodic protection potential and its effectiveness for corrosion protection of pipelines. Corros. Eng. Sci. Technol. 2016, 52, 1–7. [Google Scholar] [CrossRef]
- Wang, L.; Cheng, L.; Li, J.; Zhu, Z.; Bai, S.; Cui, Z. Combined Effect of Alternating Current Interference and Cathodic Protection on Pitting Corrosion and Stress Corrosion Cracking Behavior of X70 Pipeline Steel in Near-Neutral pH Environment. Materials 2018, 11, 465. [Google Scholar] [CrossRef] [PubMed]
- Hosokawa, Y.; Kajiyama, F.; Nakamura, Y. New CP criteria for elimination of the risks of ac corrosion and overprotection on cathodically protected pipelines. In Proceedings of the Corrosion/2002, Denver, CO, USA, 7–11 April 2002; p. 12. [Google Scholar]
- Hosokawa, Y.; Kajiyama, F. New CP maintenance concept for buried steel pipelines—Current density-based CP criteria, and on-line surveillance system for CP rectifiers. In Proceedings of the Corrosion/2004, New Orleans, LA, USA, 22 March–1 April 2004; p. 15. [Google Scholar]
- Hosokawa, Y.; Kajiyama, F. Case studies on the assessment of AC and DC interference using steel coupons with respect to current density CP criteria. In Proceedings of the Corrosion 2006 Conference & Expo, Orlando, FL, USA, 10–14 September 2006; p. 15. [Google Scholar]
- Kajiyama, F.; Nakamura, Y. Development of an advanced instrumentation for assessing the AC corrosion risk of buried pipelines. In Proceedings of the Corrosion 2010 Conference & Expo, San Antonio, TX, USA, 14–18 March 2010; p. 13. [Google Scholar]
- Fu, A.Q.; Cheng, Y.F. Effect of alternating current on corrosion and effectiveness of cathodic protection of pipelines. Can. Met. Q. 2012, 51, 81–90. [Google Scholar] [CrossRef]
- Büchler, M. Alternating current corrosion of cathodically protected pipelines: Discussion of the involved processes and their consequences on the critical interference values. Mater. Corros. 2012, 63, 1181–1187. [Google Scholar] [CrossRef]
- Junker, A.; Nielsen, L.V.; Heinrich, C.; Møller, P. Laboratory and field investigation of the effect of the chemical environment on AC corrosion. In Proceedings of the Corrosion 2018 Conference & Expo, Phoenix, AZ, USA, 15–19 April 2018; p. 15. [Google Scholar]
- Nielsen, L.V. AC Corrosion. In Oil and Gas Pipelines; John Wiley & Sons: Hoboken, NJ, USA, 2015; pp. 363–386. [Google Scholar]
- Nielsen, L.V.; Nielsen, K.V.; Baumgarten, B.; Breuning-Madsen, H.; Cohn, P.; Rosenberg, H. AC-induced corrosion in pipelines: Detection, characterization, and mitigation. In Proceedings of the Corrosion/2004, New Orleans, LA, USA, 22 March–1 April 2004; p. 16. [Google Scholar]
- Nielsen, L.V. Role of alkalization in AC induced corrosion of pipelines and consequences hereof in relation to CP requirements. In Proceedings of the Corrosion/2005, Houston, TX, USA, 3–7 April 2005; p. 11. [Google Scholar]
- Nielsen, L.V.; Baumgarten, B.; Cohn, P. On-site measurements of AC induced corrosion: Effect of AC and DC parameters—A report from the Danish activities. In Proceedings of the CeoCor International Congress and Technical Exhibition, Dresden, Germany, 15–16 June 2004. [Google Scholar]
- Junker, A.; Møller, P.; Nielsen, L.V. Effect of chemical environment and pH on AC corrosion of cathodically protected structures. In Proceedings of the Corrosion 2017 Conference & Expo, New Orleans, LA, USA, 26–30 March 2017; p. 14. [Google Scholar]
- Junker, A.; Belmonte, L.J.; Kioupis, N.; Nielsen, L.V.; Møller, P. Investigation of stone-hard-soil formation from AC corrosion of cathodically protected pipeline. Mater. Corros. 2018, 69, 1170–1179. [Google Scholar] [CrossRef]
- Santana-Diaz, E.; Nielsen, L.V.; Junker-Holst, A. A critical review of parameters for meaningful AC corrosion modelling. In Proceedings of the Corrosion 2018 Conference & Expo, Phoenix, AZ, USA, 15–19 April 2018; p. 15. [Google Scholar]
- Nielsen, L.V.; Cohn, P. AC corrosion and electrical equivalent diagrams. In Proceedings of the CeoCor International Congress and Technical Exhibition, Bruxelles, Belgium, 9–12 May 2000. [Google Scholar]
- Wang, X.; Wang, Z.; Chen, Y.; Song, X.; Xu, C. Research on the Corrosion Behavior of X70 Pipeline Steel Under Coupling Effect of AC + DC and Stress. J. Mater. Eng. Perform. 2019, 28, 1958–1968. [Google Scholar] [CrossRef]
- Cui, Y.; Shen, T.; Ding, Q. Study on the Influence of AC Stray Current on X80 Steel under Stripped Coating by Electrochemical Method. Int. J. Corros. 2019, 2019, 1–8. [Google Scholar] [CrossRef]
- Ibrahim, I.; Tribollet, B.; Takenouti, H.; Meyer, M. AC-Induced Corrosion of Underground Steel Pipelines. Faradaic Rectification under Cathodic Protection: I. Theoretical Approach with Negligible Electrolyte Resistance. J. Braz. Chem. Soc. 2014, 26, 196–208. [Google Scholar] [CrossRef]
- Ibrahim, I.; Meyer, M.; Takenouti, H.; Tribollet, B. AC Induced Corrosion of Underground Steel Pipelines. Faradaic Rectification under Cathodic Protection: II. Theoretical Approach with Electrolyte Resistance and Double Layer Capacitance for Bi-Tafelian Corrosion Mechanism. J. Braz. Chem. Soc. 2015, 27, 605–615. [Google Scholar] [CrossRef]
- Ibrahim, I.; Meyer, M.; Takenouti, H.; Tribollet, B. AC Induced Corrosion of Underground Steel Pipelines under Cathodic Protection: III. Theoretical Approach with Electrolyte Resistance and Double Layer Capacitance for Mixed Corrosion Kinetics. J. Braz. Chem. Soc. 2017, 28, 1483–1493. [Google Scholar] [CrossRef]
- Brenna, A.; Diamanti, M.V.; Lazzari, L.; Ormellese, M. A proposal of AC corrosion mechanism in cathodic protection. In Proceedings of the 2011 NSTI Nanotechnology Conference and Expo, Boston, MA, USA, 13–16 June 2011; pp. 553–556. [Google Scholar]
- Brenna, A.; Ormellese, M.; Lazzari, L. Electro-mechanical breakdown mechanism of passive film in AC-related corrosion of carbon steel under cathodic protection condition. Corrosion 2016, 72, 1055–1063. [Google Scholar] [CrossRef]
- Sato, N. A theory for breakdown of anodic oxide films on metals. Electrochimica Acta 1971, 16, 1683–1692. [Google Scholar] [CrossRef]
- Bertolini, L.; Carsana, M.; Pedeferri, P. Corrosion behaviour of steel in concrete in the presence of stray current. Corros. Sci. 2007, 49, 1056–1068. [Google Scholar] [CrossRef]
- Ormellese, M.; Brenna, A.; Lazzari, L. Effects of AC-interference on passive metals corrosion. In Proceedings of the Corrosion 2011 Conference & Expo, Houston, TX, USA, 13–17 March 2011; p. 12. [Google Scholar]
- Zhu, M.; Du, C.-W.; Li, X.; Liu, Z.-Y.; Wu, X.-G. Effect of AC on corrosion behavior of X80 pipeline steel in high pH solution. Mater. Corros. 2014, 66, 486–493. [Google Scholar] [CrossRef]
- Brenna, A.; Beretta, S.; Bolzoni, F.M.; Pedeferri, M.; Ormellese, M. Effects of AC-interference on chloride-induced corrosion of reinforced concrete. Constr. Build. Mater. 2017, 137, 76–84. [Google Scholar] [CrossRef]
- Zhu, M. Corrosion Behavior of X65 and X80 Pipeline Steels under AC Interference Condition in High pH Solution. Int. J. Electrochem. Sci. 2018, 13, 10669–10678. [Google Scholar] [CrossRef]
- Zhu, M. Synergistic Effect of AC and Cl- on Stress Corrosion Cracking Behavior of X80 Pipeline Steel in Alkaline Environment. Int. J. Electrochem. Sci. 2018, 13, 10527–10538. [Google Scholar] [CrossRef]
- Wang, H.; Du, C.; Liu, Z.; Wang, L.; Ding, D. Effect of Alternating Current on the Cathodic Protection and Interface Structure of X80 Steel. Materials 2017, 10, 851. [Google Scholar] [CrossRef]
- Drazic, D.; Popic, J. Anomalous dissolution of metals and chemical corrosion. J. Serbian Chem. Soc. 2005, 70, 489–511. [Google Scholar] [CrossRef]
- Nielsen, L.V.; Nielsen, K.V. Differential ER-technology for measuring degree of accumulated corrosion as well as instant corrosion rate. In Proceedings of the Corrosion/2003, San Diego, CA, USA, 16–20 April 2003; p. 13. [Google Scholar]
- Nielsen, L.V.; Galsgaard, F. Sensor technology for on-line monitoring of ac-induced corrosion along pipelines. In Proceedings of the Corrosion/2005, Houston, TX, USA, 3–7 April 2005; p. 12. [Google Scholar]















© 2020 by the authors. Licensee MDPI, Basel, Switzerland. This article is an open access article distributed under the terms and conditions of the Creative Commons Attribution (CC BY) license (http://creativecommons.org/licenses/by/4.0/).
Share and Cite
Brenna, A.; Beretta, S.; Ormellese, M. AC Corrosion of Carbon Steel under Cathodic Protection Condition: Assessment, Criteria and Mechanism. A Review. Materials 2020, 13, 2158. https://doi.org/10.3390/ma13092158
Brenna A, Beretta S, Ormellese M. AC Corrosion of Carbon Steel under Cathodic Protection Condition: Assessment, Criteria and Mechanism. A Review. Materials. 2020; 13(9):2158. https://doi.org/10.3390/ma13092158
Chicago/Turabian StyleBrenna, Andrea, Silvia Beretta, and Marco Ormellese. 2020. "AC Corrosion of Carbon Steel under Cathodic Protection Condition: Assessment, Criteria and Mechanism. A Review" Materials 13, no. 9: 2158. https://doi.org/10.3390/ma13092158
APA StyleBrenna, A., Beretta, S., & Ormellese, M. (2020). AC Corrosion of Carbon Steel under Cathodic Protection Condition: Assessment, Criteria and Mechanism. A Review. Materials, 13(9), 2158. https://doi.org/10.3390/ma13092158

