Experimental Investigation on Pool Boiling Heat Transfer Performance Using Tungsten Oxide WO3 Nanomaterial-Based Water Nanofluids
Abstract
1. Introduction
2. Experimental Methods
2.1. Nanofluid Formation Method
2.2. Pool Boiling Chamber Setup and Procedure
2.3. Data Reduction and Uncertainty Analysis
3. Results and Discussion
3.1. Validation of The Experimental Results
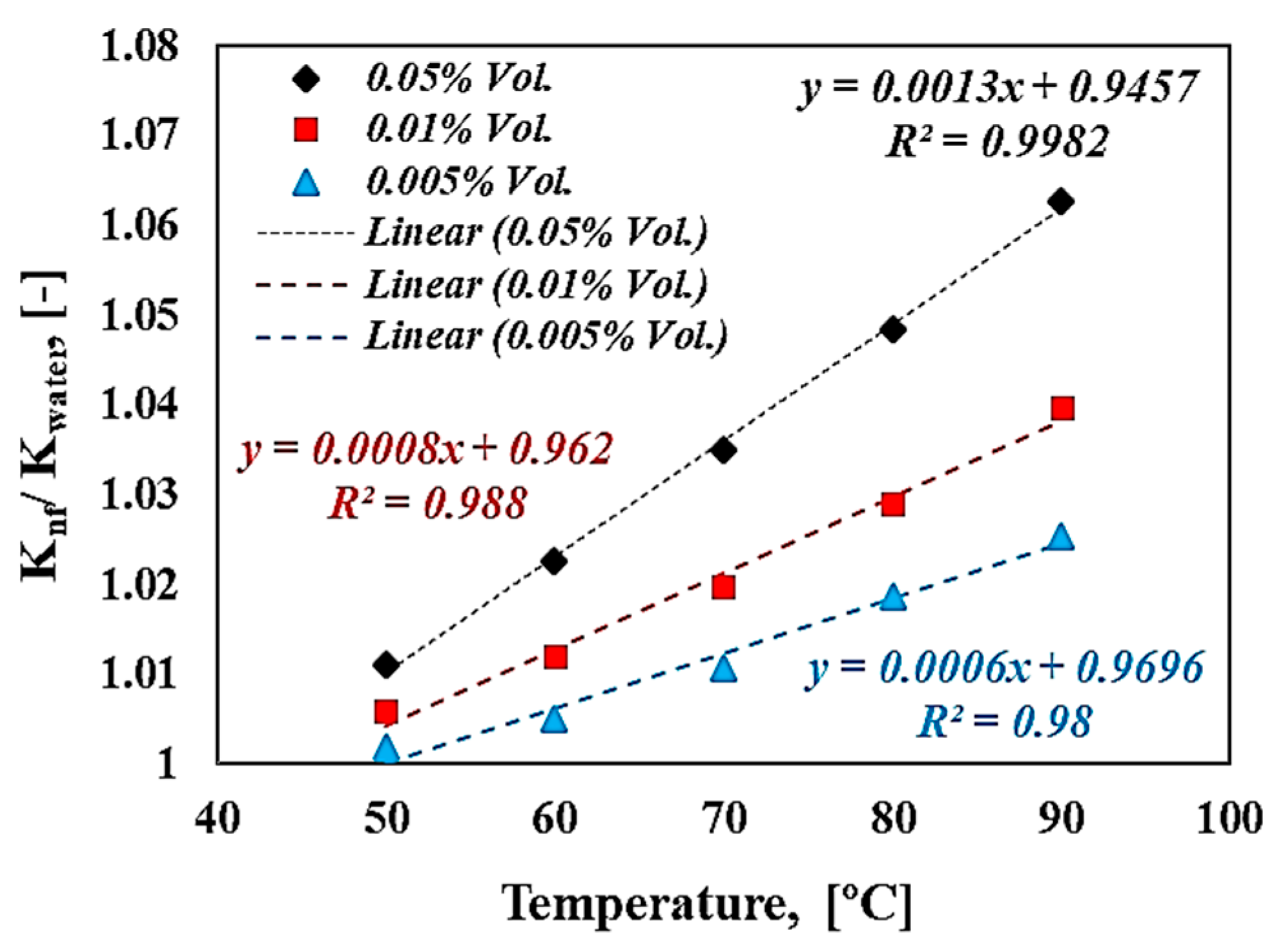
3.2. Results of Pool Boiling Heat Transfer for WO3-Based Water Nanofluids
4. Conclusions
Author Contributions
Funding
Acknowledgments
Conflicts of Interest
Nomenclatures
| pool boiling heat transfer coefficient, kW/m2.K | |
| ethylene glycol | |
| CNTs | carbon nanotubes |
| volume concentration, % | |
| mass concentration, % | |
| the density of nanopowder, kg/m3 | |
| the density of water, kg/m3 | |
| the density of vapor, kg/m3 | |
| length of the boiling chamber, m | |
| width of the boiling chamber, m | |
| the height of the boiling chamber, m | |
| arithmetical mean roughness value, μm | |
| applied heat flux, kW/m2 | |
| electrical power, W | |
| the outer diameter of the copper tube, m | |
| length of copper tube, m | |
| the temperature at the top surface, °C | |
| the temperature at the side surface, °C | |
| the temperature at the bottom surface, °C | |
| average surface temperature, °C | |
| superheat temperature, K | |
| saturation temperature, °C | |
| the viscosity of the liquid, Pa.s | |
| latent heat of vaporization, kJ/kg | |
| surface tension, N/m | |
| specific heat of the liquid, kJ/kg. K | |
| liquid–surface interaction coefficient | |
| liquid Prandtl number | |
| reduced pressure ratio | |
| , , | constants in Gorenflo correlation. |
| Subscripts | |
| V | volume |
| m | mass |
| p | powder |
| w | water |
| v | vapor |
| l | liquid |
| out | outer |
| s | surface |
| sup | superheat |
| sat | saturation |
| nf | nanofluid |
| 0 | reference condition |
References
- Kamel, M.S.; Lezsovits, F.; Hussein, A.M.; Mahian, O.; Wongwises, S. Latest developments in boiling critical heat flux using nanofluids: A concise review. Int. Commun. Heat Mass Transf. 2018, 98, 59–66. [Google Scholar] [CrossRef]
- Kamel, M.; Lezsovits, F. Boiling heat transfer of nanofluids: A review of recent studies. Therm. Sci. 2019, 23, 109–124. [Google Scholar] [CrossRef]
- Kamel, M.S.; Lezsovits, F.; Hussein, A.K. Experimental studies of flow boiling heat transfer by using nanofluids. J. Therm. Anal. Calorim. 2019, 138, 4019–4043. [Google Scholar] [CrossRef]
- Sathyabhama, A.; Hegde, R. Prediction of nucleate pool boiling heat transfer coefficient. Therm. Sci. 2010, 14, 353–364. [Google Scholar] [CrossRef]
- Yu, L.-H.; Shuxue, X.; Ma, G.; Wang, J. Experimental Research on Water Boiling Heat Transfer on Horizontal Copper Rod Surface at Sub-Atmospheric Pressure. Energies 2015, 8, 10141–10152. [Google Scholar] [CrossRef]
- Trisaksri, V.; Wongwises, S. Nucleate pool boiling heat transfer of TiO2–R141b nanofluids. Int. J. Heat Mass Transf. 2009, 52, 1582–1588. [Google Scholar] [CrossRef]
- Ji, W.-T.; Zhao, C.-Y.; Zhang, D.-C.; Zhao, P.-F.; Li, Z.-Y.; He, Y.-L.; Tao, W.-Q. Pool boiling heat transfer of R134a outside reentrant cavity tubes at higher heat flux. Appl. Therm. Eng. 2017, 127, 1364–1371. [Google Scholar] [CrossRef]
- Gong, M.; Song, Q.; Chen, G.; Zhuang, X.; Yang, Z.; Yao, Y. Boiling Heat Transfer Characteristics for Methane, Ethane and Their Binary Mixtures. Heat Transf. Eng. 2018, 41, 1–16. [Google Scholar] [CrossRef]
- Sarafraz, M.; Peyghambarzadeh, S.; Fazel, A. Experimental studies on nucleate pool boiling heat transfer to ethanol/MEG/DEG ternary mixture as a new coolant. Chem. Ind. Chem. Eng. Q. 2012, 18, 577–586. [Google Scholar] [CrossRef]
- Sarafraz, M.; Fazel, S.A.; Hasanzadeh, Y.; Arabshamsabadi, A.; Bahram, S. Development of a new correlation for estimating pool boiling heat transfer coefficient of MEG/DEG/water ternary mixture. Chem. Ind. Chem. Eng. Q. 2012, 18, 11–18. [Google Scholar] [CrossRef]
- Khan, S.A.; Atieh, M.A.; Koc, M. Micro-Nano Scale Surface Coating for Nucleate Boiling Heat Transfer: A Critical Review. Energies 2018, 11, 3189. [Google Scholar] [CrossRef]
- Patil, C.M.; Kandlikar, S.G. Pool boiling enhancement through microporous coatings selectively electrodeposited on fin tops of open microchannels. Int. J. Heat Mass Transf. 2014, 79, 816–828. [Google Scholar] [CrossRef]
- Gajghate, S.S.; Barathula, S.; Das, S.; Saha, B.B.; Bhaumik, S. Experimental investigation and optimization of pool boiling heat transfer enhancement over graphene-coated copper surface. J. Therm. Anal. Calorim. 2019, 140, 1393–1411. [Google Scholar] [CrossRef]
- Gouda, R.K.; Pathak, M.; Khan, M.K. Pool boiling heat transfer enhancement with segmented finned microchannels structured surface. Int. J. Heat Mass Transf. 2018, 127, 39–50. [Google Scholar] [CrossRef]
- Choi, S.U.S.; Eastman, J.A. Enhancing thermal conductivity of fluids with nanoparticles. In Developments and Applications of Non-Newtonian Flows, Proceedings of the ASME International Mechanical Engineering Congress and Exposition, San Francisco, CA, USA, 12–17 November 1995; Siginer, D.A., Wang, H.P., Eds.; American Society of Mechanical Engineers: New York, NY, USA, 1995; pp. 281–285. [Google Scholar]
- Kamel, M.S.; Al-Agha, M.S.; Lezsovits, F.; Mahian, O. Simulation of pool boiling of nanofluids by using Eulerian multiphase model. J. Therm. Anal. Calorim. 2019, 1–13. [Google Scholar] [CrossRef]
- Żyła, G.; Fal, J. Experimental studies on viscosity, thermal and electrical conductivity of aluminum nitride–ethylene glycol (AlN–EG) nanofluids. Thermochim. Acta 2016, 637, 11–16. [Google Scholar] [CrossRef]
- Yang, Y.-M.; Maa, J.R. Boiling of suspension of solid particles in water. Int. J. Heat Mass Transf. 1984, 27, 145–147. [Google Scholar] [CrossRef]
- Das, S.K.; Putra, N.; Roetzel, W. Pool boiling characteristics of nano-fluids. Int. J. Heat Mass Transf. 2003, 46, 851–862. [Google Scholar] [CrossRef]
- Kathiravan, R.; Kumar, R.; Gupta, A.; Chandra, R. Characterization and Pool Boiling Heat Transfer Studies of Nanofluids. J. Heat Transf. 2009, 131, 081902. [Google Scholar] [CrossRef]
- Suriyawong, A.; Wongwises, S. Nucleate pool boiling heat transfer characteristics of TiO2–water nanofluids at very low concentrations. Exp. Therm. Fluid Sci. 2010, 34, 992–999. [Google Scholar] [CrossRef]
- Cieslinski, J.T.; Kaczmarczyk, T.Z. Pool boiling of water-Al2O3 and water-Cu nanofluids on horizontal smooth tubes. Nanoscale Res. Lett. 2011, 6, 220. [Google Scholar] [CrossRef] [PubMed]
- Cieśliński, J.; Kaczmarczyk, T. The effect of pressure on heat transfer during pool boiling of water-Al2O3 and water-Cu nanofluids on stainless steel smooth tube. Chem. Process. Eng. 2011, 32, 321–332. [Google Scholar] [CrossRef]
- Kole, M.; Dey, T. Investigations on the pool boiling heat transfer and critical heat flux of ZnO-ethylene glycol nanofluids. Appl. Therm. Eng. 2012, 37, 112–119. [Google Scholar] [CrossRef]
- Sarafraz, M.; Peyghambarzadeh, S.; Fazel, S.A.; Vaeli, N. Nucleate pool boiling heat transfer of binary nano mixtures under atmospheric pressure around a smooth horizontal cylinder. Period. Polytech. Chem. Eng. 2013, 57, 71. [Google Scholar] [CrossRef]
- Cieśliński, J.T.; Kaczmarczyk, T.Z. Pool boiling of nanofluids on rough and porous coated tubes: Experimental and correlation. Arch. Thermodyn. 2014, 35, 3–20. [Google Scholar] [CrossRef]
- Sarafraz, M.; Hormozi, F. Pool boiling heat transfer to dilute copper oxide aqueous nanofluids. Int. J. Therm. Sci. 2015, 90, 224–237. [Google Scholar] [CrossRef]
- He, Y.; Li, H.; Hu, Y.; Wang, X.; Zhu, J. Boiling heat transfer characteristics of ethylene glycol and water mixture based ZnO nanofluids in a cylindrical vessel. Int. J. Heat Mass Transf. 2016, 98, 611–615. [Google Scholar] [CrossRef]
- Manetti, L.; Stephen, M.T.; Beck, P.A.; Cardoso, E.M. Evaluation of the heat transfer enhancement during pool boiling using low concentrations of Al2O3 -water based nanofluid. Exp. Therm. Fluid Sci. 2017, 87, 191–200. [Google Scholar] [CrossRef]
- Manetti, L.L.; Cardoso, E.M.; Nascimento, F. Do Nanofluid Pool Boiling: The Effect of Time, Concentration and Heat Flux on the Heat Transfer. Presented at the 9th World Conference on Experimental Heat Transfer, Fluid Mechanics and Thermodynamics, Iguazu Falls (Foz do Iguaçu), Brazil, 11–15 June 2017. [Google Scholar]
- Çiloğlu, D. An Experimental Investigation of Nucleate Pool Boiling Heat Transfer of Nanofluids from a Hemispherical Surface. Heat Transf. Eng. 2016, 38, 919–930. [Google Scholar] [CrossRef]
- Karimzadehkhouei, M.; Shojaeian, M.; Sendur, K.; Mengüç, M.P.; Koşar, A. The effect of nanoparticle type and nanoparticle mass fraction on heat transfer enhancement in pool boiling. Int. J. Heat Mass Transf. 2017, 109, 157–166. [Google Scholar] [CrossRef]
- Shoghl, S.N.; Bahrami, M.; Jamialahmadi, M. The boiling performance of ZnO, α-Al2O3 and MWCNTs/water nanofluids: An experimental study. Exp. Therm. Fluid Sci. 2017, 80, 27–39. [Google Scholar] [CrossRef]
- Norouzipour, A.; Abdollahi, A.; Afrand, M. Experimental study of the optimum size of silica nanoparticles on the pool boiling heat transfer coefficient of silicon oxide/deionized water nanofluid. Powder Technol. 2019, 345, 728–738. [Google Scholar] [CrossRef]
- Modi, M.; Kangude, P.; Srivastava, A. Performance evaluation of alumina nanofluids and nanoparticles-deposited surface on nucleate pool boiling phenomena. Int. J. Heat Mass Transf. 2020, 146, 118833. [Google Scholar] [CrossRef]
- Bang, I.C.; Chang, S.H. Boiling heat transfer performance and phenomena of Al2O3–water nano-fluids from a plain surface in a pool. Int. J. Heat Mass Transf. 2005, 48, 2407–2419. [Google Scholar] [CrossRef]
- Harish, G.; Emlin, V.; Sajith, V. Effect of surface particle interactions during pool boiling of nanofluids. Int. J. Therm. Sci. 2011, 50, 2318–2327. [Google Scholar] [CrossRef]
- Kim, S.; Bang, I.; Buongiorno, J.; Hu, L. Surface wettability change during pool boiling of nanofluids and its effect on critical heat flux. Int. J. Heat Mass Transf. 2007, 50, 4105–4116. [Google Scholar] [CrossRef]
- Moffat, R.J. Describing the uncertainties in experimental results. Exp. Therm. Fluid Sci. 1988, 1, 3–17. [Google Scholar] [CrossRef]
- Rohsenow, W. A method of correlating heat transfer data for surface boiling liquids. Trans. ASME, J. Heat Transf. 1952, 74, 1–15. [Google Scholar]
- Gorenflo, D.; Kenning, D. H2 Pool Boiling. In VDI Heat Atlas; Springer Science and Business Media LLC: Berlin/Heidelberg, Germany, 2009; pp. 757–792. [Google Scholar]
- Lemmon, E.W.; McLinden, M.O.; Friend, D.G. Thermophysical Properties of Fluid Systems in NIST Chemistry WebBook; CRC: Boca Raton, FL, USA, 2009. Available online: https://webbook.nist.gov/chemistry/fluid/ (accessed on 3 November 2019).
- Span, R. Properties at Saturation. VDI Heat Atlas; Springer: Berlin/Heidelberg, Germany, 2010; pp. 394–418. [Google Scholar]
- Vachon, R.I.; Nix, G.H.; Tanger, G.E. Evaluation of Constants for the Rohsenow Pool-Boiling Correlation. J. Heat Transf. 1968, 90, 239–246. [Google Scholar] [CrossRef]
- Das, S.K.; Putra, N.; Thiesen, P.H.; Roetzel, W. Temperature Dependence of Thermal Conductivity Enhancement for Nanofluids. J. Heat Transf. 2003, 125, 567–574. [Google Scholar] [CrossRef]
- Tanvir, S.; Qiao, L. Surface tension of Nanofluid-type fuels containing suspended nanomaterials. Nanoscale Res. Lett. 2012, 7, 226. [Google Scholar] [CrossRef] [PubMed]
- Estellé, P.; Cabaleiro, D.; Żyła, G.; Lugo, L.; Murshed, S.M.S. Current trends in surface tension and wetting behavior of nanofluids. Renew. Sustain. Energy Rev. 2018, 94, 931–944. [Google Scholar] [CrossRef]
- Cieśliński, J.T.; Kaczmarczyk, T.Z. Pool Boiling of Water–Al2O3 and Water–Cu Nanofluids Outside Porous Coated Tubes. Heat Transf. Eng. 2014, 36, 553–563. [Google Scholar] [CrossRef]
- Sarafraz, M.; Hormozi, F.; Peyghambarzadeh, S. Pool boiling heat transfer to aqueous alumina nano-fluids on the plain and concentric circular micro-structured (CCM) surfaces. Exp. Therm. Fluid Sci. 2016, 72, 125–139. [Google Scholar] [CrossRef]
- Sarafraz, M.; Hormozi, F. Nucleate pool boiling heat transfer characteristics of dilute Al2O3–ethyleneglycol nanofluids. Int. Commun. Heat Mass Transf. 2014, 58, 96–104. [Google Scholar] [CrossRef]
- Kang, M.-G. Effects of elevation angle on pool boiling heat transfer of tandem tubes. Int. J. Heat Mass Transf. 2015, 85, 918–923. [Google Scholar] [CrossRef]













© 2020 by the authors. Licensee MDPI, Basel, Switzerland. This article is an open access article distributed under the terms and conditions of the Creative Commons Attribution (CC BY) license (http://creativecommons.org/licenses/by/4.0/).
Share and Cite
Kamel, M.S.; Lezsovits, F. Experimental Investigation on Pool Boiling Heat Transfer Performance Using Tungsten Oxide WO3 Nanomaterial-Based Water Nanofluids. Materials 2020, 13, 1922. https://doi.org/10.3390/ma13081922
Kamel MS, Lezsovits F. Experimental Investigation on Pool Boiling Heat Transfer Performance Using Tungsten Oxide WO3 Nanomaterial-Based Water Nanofluids. Materials. 2020; 13(8):1922. https://doi.org/10.3390/ma13081922
Chicago/Turabian StyleKamel, Mohammed Saad, and Ferenc Lezsovits. 2020. "Experimental Investigation on Pool Boiling Heat Transfer Performance Using Tungsten Oxide WO3 Nanomaterial-Based Water Nanofluids" Materials 13, no. 8: 1922. https://doi.org/10.3390/ma13081922
APA StyleKamel, M. S., & Lezsovits, F. (2020). Experimental Investigation on Pool Boiling Heat Transfer Performance Using Tungsten Oxide WO3 Nanomaterial-Based Water Nanofluids. Materials, 13(8), 1922. https://doi.org/10.3390/ma13081922

