Active Actuating of a Simply Supported Beam with the Flexoelectric Effect
Abstract
1. Introduction
2. Materials and Methods
2.1. The Electric Field
2.2. Dynamic Response of the Simply Supported Beam
3. Results and Discussion
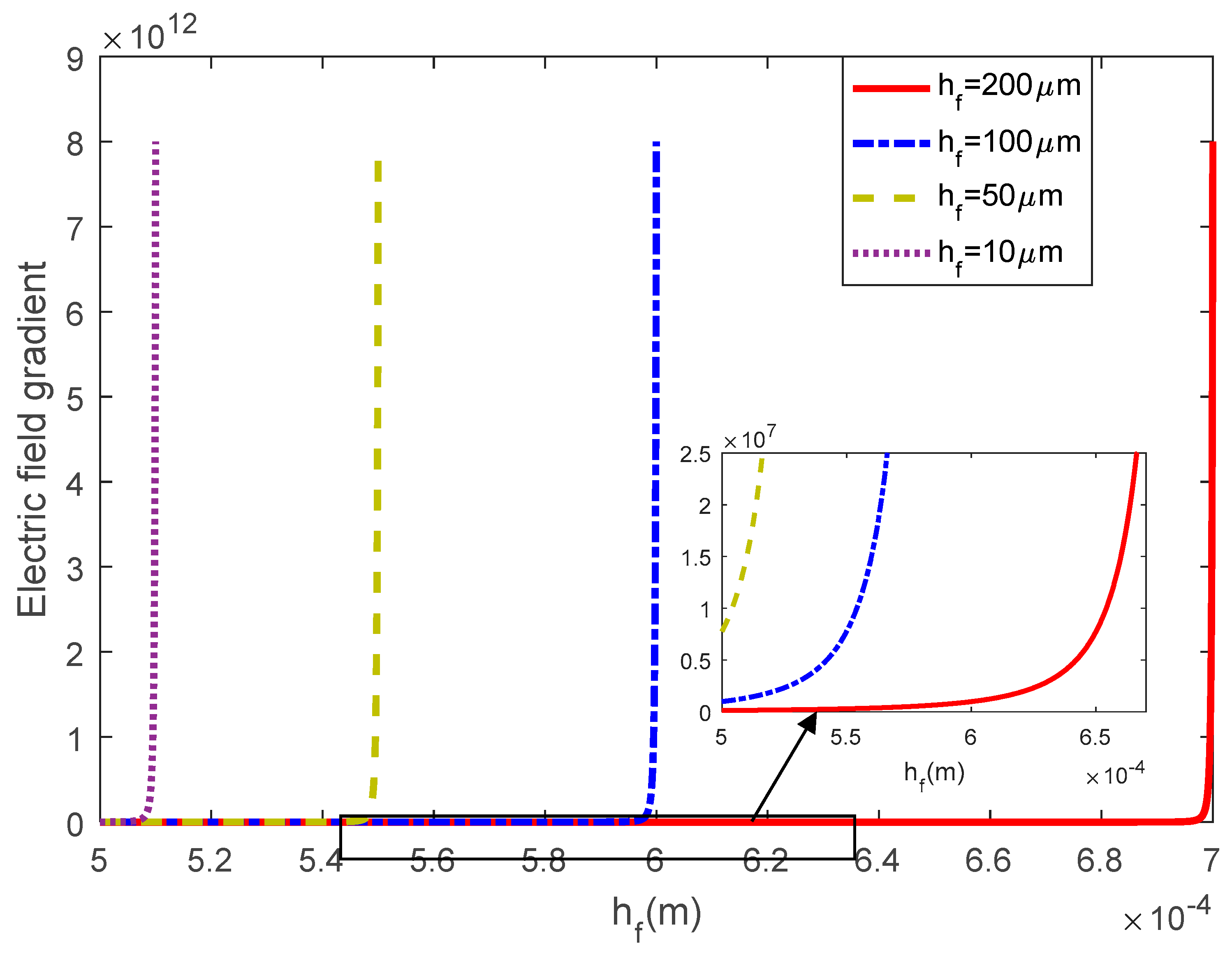
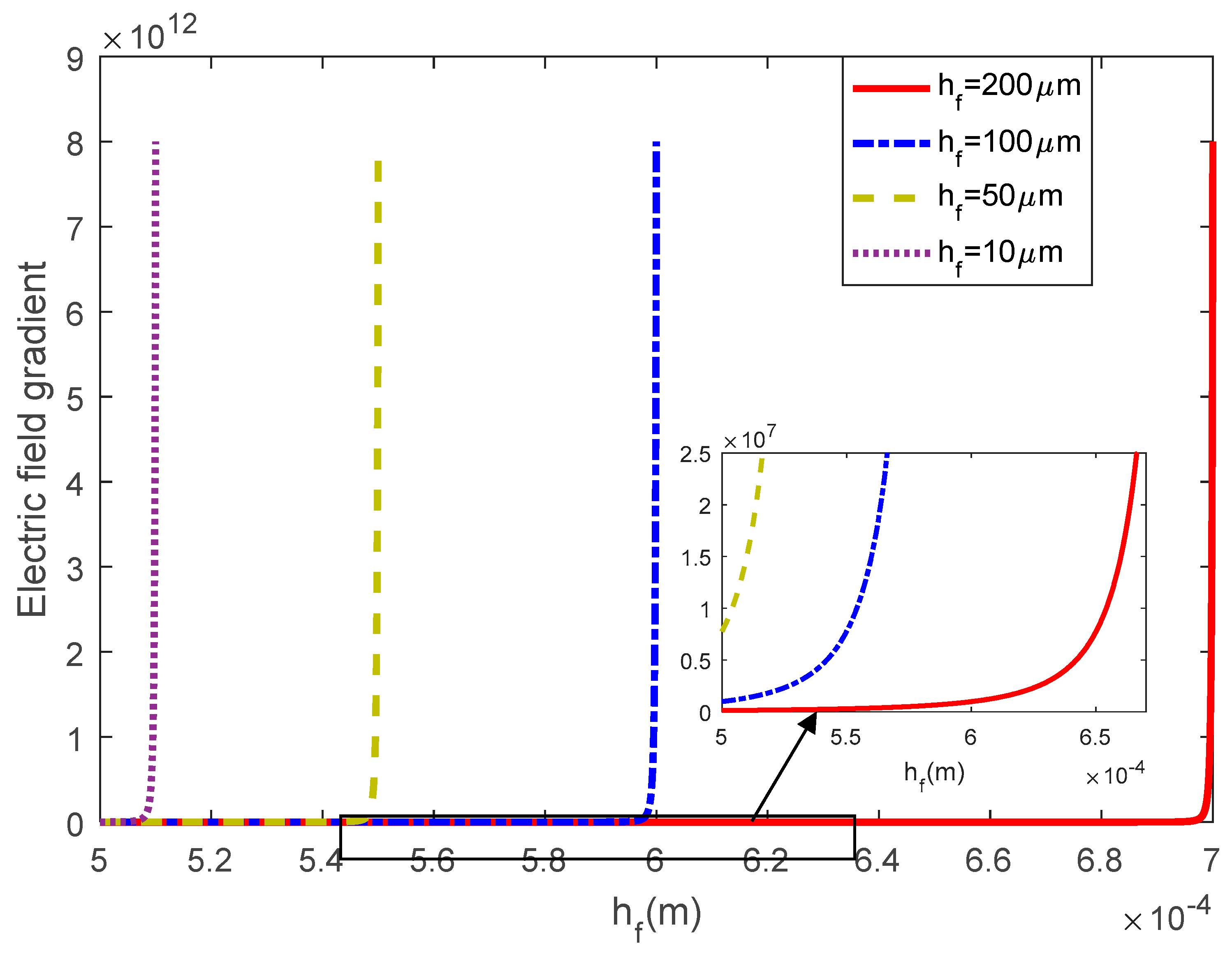
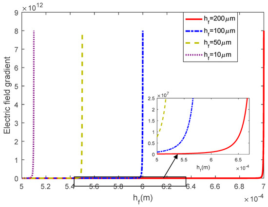
3.1. The Electric Field Gradient
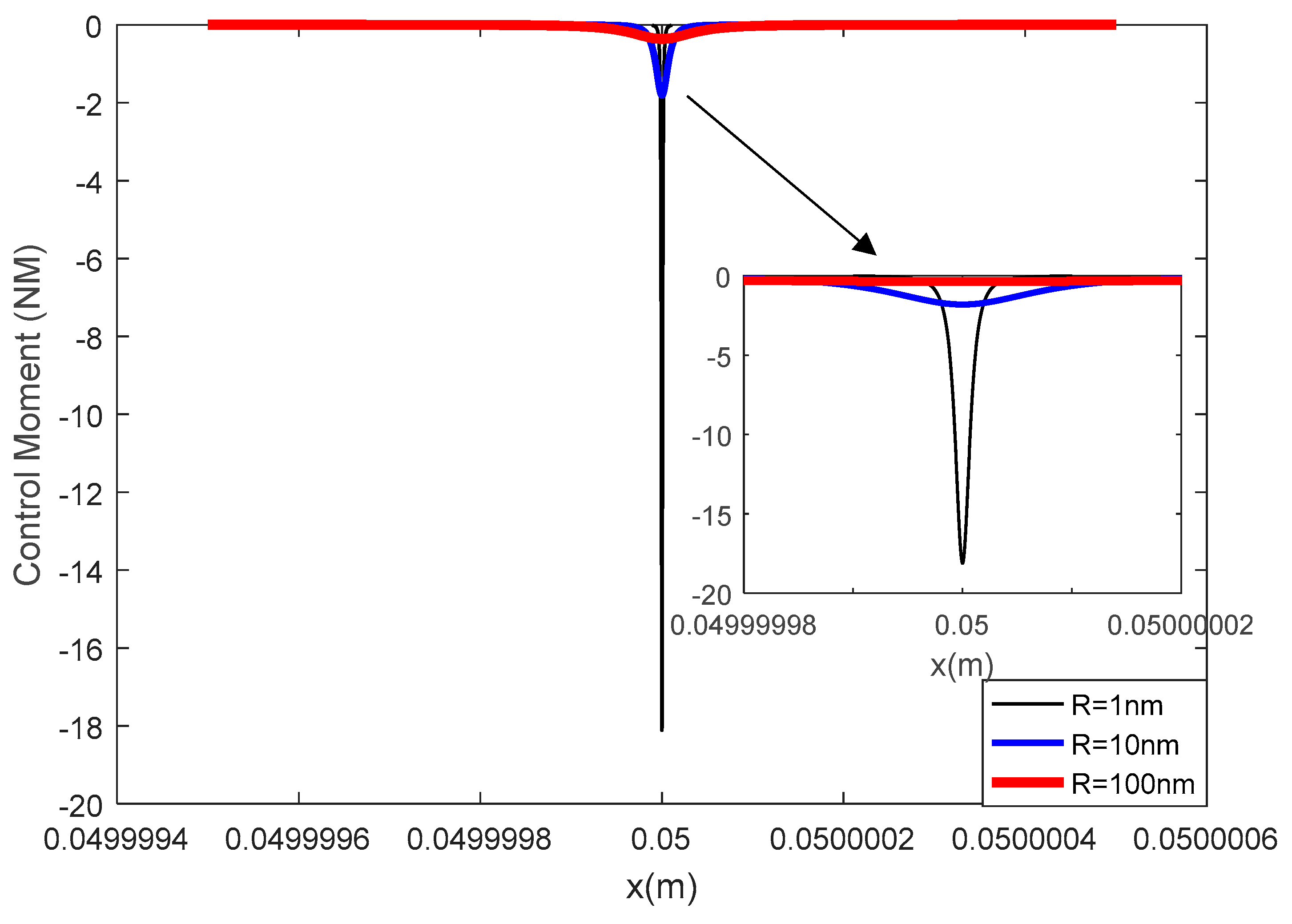
3.2. The Flexoelectric Control Moment
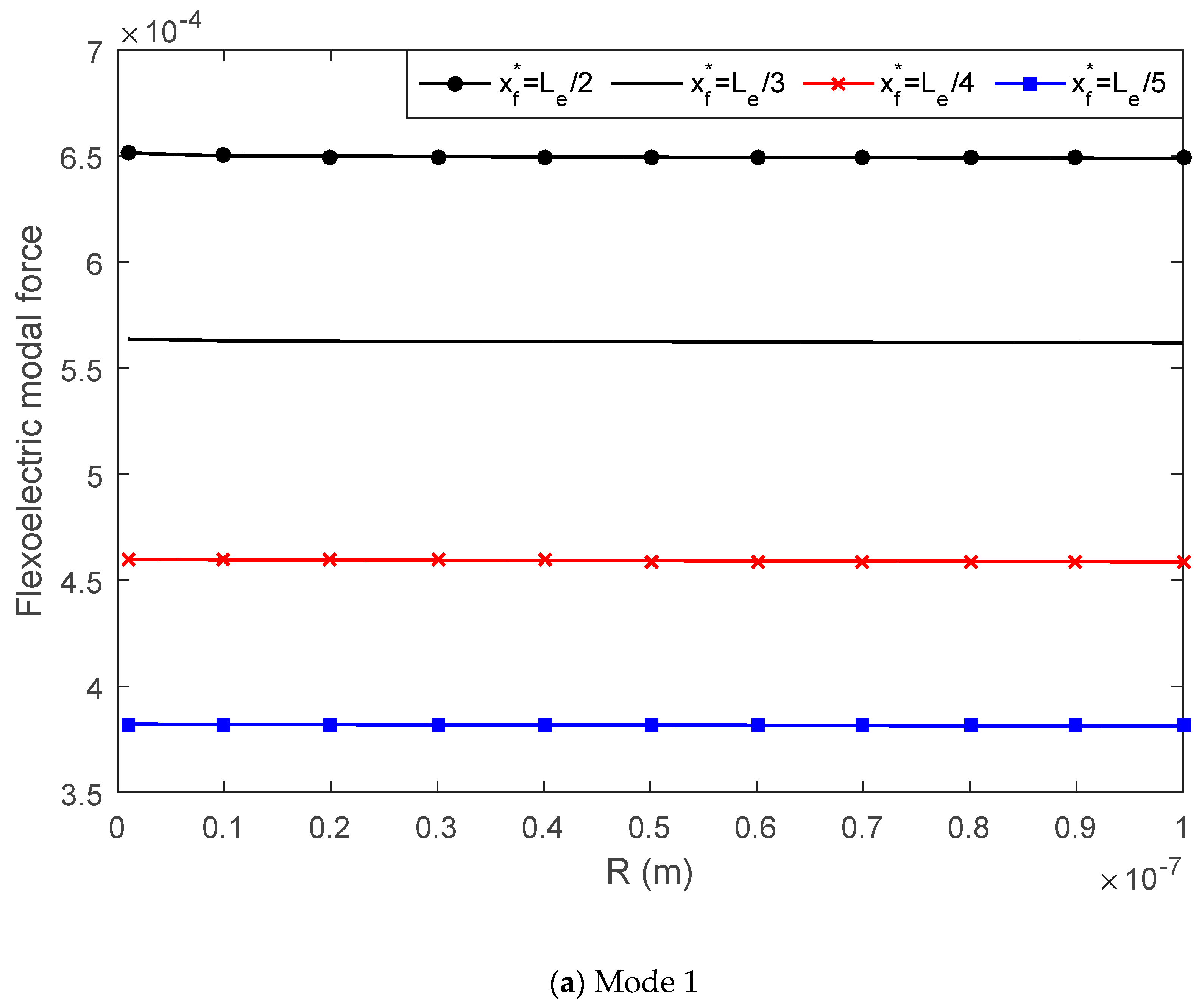
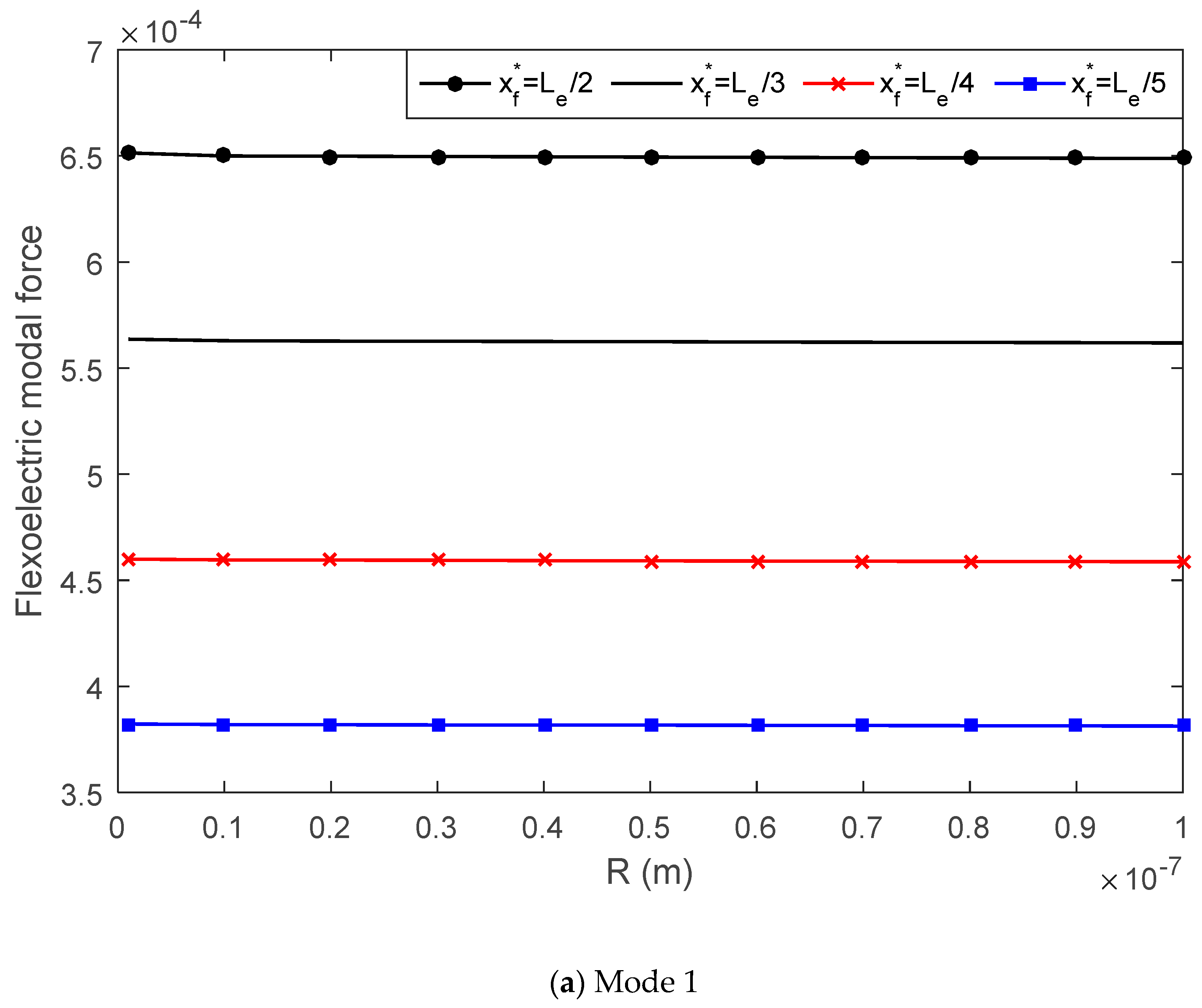
3.3. The Flexoelectric Modal Force
3.4. The Actuated Transverse Displacement
4. Conclusions
Author Contributions
Funding
Conflicts of Interest
References
- Dietl, J.; Wickenheiser, A.; Garcia, E. A Timoshenko beam model for cantilevered piezoelectric energy harvesters. Smart Mater. Struct. 2010, 19, 055018. [Google Scholar] [CrossRef]
- Zhang, X.F.; Hu, S.; Tzou, H. A generic double-curvature piezoelectric shell energy harvester: Linear/nonlinear theory and applications. J. Sound Vib. 2014, 333, 7286–7298. [Google Scholar] [CrossRef]
- Jiang, X.; Kim, K.; Zhang, S.; Johnson, J.; Salazar, G. High-Temperature Piezoelectric Sensing. Sensors (Basel Switz.) 2013, 14, 144–169. [Google Scholar] [CrossRef] [PubMed]
- Yildirim, K.; Kucuk, I. Active piezoelectric vibration control for a Timoshenko beam. J. Frankl. Inst. 2016, 353, 95–107. [Google Scholar] [CrossRef]
- Yildirim, K.; Korpeoglu, S.; Kucuk, I. Dynamics Response Control of a Mindlin-Type Beam. Int. J. Struct. Stab. Dyn. 2017, 17, 1750039. [Google Scholar] [CrossRef]
- Shen, C.; An, X.; Han, Y.; Wang, D. Comparison Analysis of Piezoelectric Vibration Control Methods for Autobody Thin-Wall Structure. Appl. Mech. Mater. 2013, 376, 411–416. [Google Scholar] [CrossRef]
- Tzou, H. Piezoelectric Shells: Sensing, Energy harvesting, and Distributed Control—Second Edition; Springer: Printforce, The Netherlands, 2019. [Google Scholar]
- Sanada, A.; Higashiyama, K.; Tanaka, N. Active control of sound transmission through a rectangular panel using point-force actuators and piezoelectric film sensors. J. Acoust. Soc. Am. 2015, 137, 458. [Google Scholar] [CrossRef] [PubMed]
- Sanada, A.; Tanaka, N. Theoretical and experimental study on active sound transmission control based on single structural mode actuation using point force actuators. J. Acoust. Soc. Am. 2012, 132, 767–778. [Google Scholar] [CrossRef] [PubMed]
- Wang, B.; Gu, Y.; Zhang, S.; Chen, L.-Q. Flexoelectricity in Solids: Progress, Challenges, and Perspectives. Progress Mater. Sci. 2019, 106, 100570. [Google Scholar] [CrossRef]
- Qi, Y.; Kim, J.; Nguyen, T.; Lisko, B.; Purohit, P.; McAlpine, M. Enhanced Piezoelectricity and Stretchability in Energy Harvesting Devices Fabricated from Buckled PZT Ribbons. Nano Lett. 2011, 11, 1331–1336. [Google Scholar] [CrossRef] [PubMed]
- Qi, Y.; Jafferis, N.; Lyons, K.; Lee, C.; Ahmad, H.; McAlpine, M. Piezoelectric Ribbons Printed Onto Rubber for Flexible Energy Conversion. Nano Lett. 2010, 10, 524–528. [Google Scholar] [CrossRef] [PubMed]
- Shingare, K.; Kundalwal, S. Flexoelectric and surface effects on the electromechanical behavior of graphene-based nanobeams. Appl. Math. Model. 2020, 81, 70–91. [Google Scholar] [CrossRef]
- Qi, L.; Huang, S.; Fu, G.; Zhou, S.; Jiang, X. On the mechanics of curved flexoelectric microbeams. Int. J. Eng. Sci. 2018, 124, 1–15. [Google Scholar] [CrossRef]
- Zhang, X.; Yu, W.; Fu, J.; Tzou, H. Flexoelectric control of beams with atomic force microscope probe excitation. J. Mech. Eng. Sci. 2020. [Google Scholar] [CrossRef]
- Mu, F.; Bolei, D.; Hornsen, T. Multiflexoelectric Actuation and Control of Beams. AIAA J. 2019, 57, 5503–5513. [Google Scholar] [CrossRef]
- Mu, F.; Zhongmin, X.; Hornsen, T. Distributed Multi-Flexoelectric Actuation and Control of Plates. AIAA J. 2020, 58, 1377–1385. [Google Scholar] [CrossRef]
- Abplanalp, M. Piezoresponse Scanning Force Microscopy of Ferroelectric Domains. Ph.D. Thesis, The Swiss Federal Institue of Technology Zürich, Zurich, Switzerland, 2001. [Google Scholar] [CrossRef]
- Agronin, A.; Molotskii, M.; Rosenwaks, Y.; Rosenman, G. Dynamics of ferroelectric domain growth in the field of atomic force microscope. J. Appl. Phys. 2006, 99, 16198. [Google Scholar] [CrossRef]
- Marotti de Sciarra, F. Finite element modelling of nonlocal beams. Phys. E Low-Dimensional Syst. Nanostruct. 2014, 59, 144–149. [Google Scholar] [CrossRef]
- Soedel, W. Vibrations of Shells and Plates, 3rd ed.; Marcel Dekker: New York, NY, USA, 2004. [Google Scholar]
- Rao, S.S. Mechanical Vibration, 5th ed.; Pearson Education, Inc.: Upper Saddle River, NJ, USA, 2006. [Google Scholar]











| Properties | Values |
|---|---|
| Beam length Le, (m) | 0.100 |
| Beam width be, (m) | 0.010 |
| Beam thickness, he (m) | 0.001 |
| Young’s modulus of elastic beam, Ye (N/m2) | 1.556 × 109 |
| Beam mass density, ρ (kg/m3) | 1100 |
| Poisson’s ratio, μ | 0.3 |
| Flexoelectric patches thickness, hf (m) | 50 |
| Flexoelectric patches length, Lf (m) | 0.10 |
| Flexoelectric constant, π12 (μV/m) | 100 |
| AFM probe tip radius, R (nm) | 50 |
| Actuation voltage, (V) | 1 |
© 2020 by the authors. Licensee MDPI, Basel, Switzerland. This article is an open access article distributed under the terms and conditions of the Creative Commons Attribution (CC BY) license (http://creativecommons.org/licenses/by/4.0/).
Share and Cite
Fan, M.; Min, H. Active Actuating of a Simply Supported Beam with the Flexoelectric Effect. Materials 2020, 13, 1735. https://doi.org/10.3390/ma13071735
Fan M, Min H. Active Actuating of a Simply Supported Beam with the Flexoelectric Effect. Materials. 2020; 13(7):1735. https://doi.org/10.3390/ma13071735
Chicago/Turabian StyleFan, Mu, and Hequn Min. 2020. "Active Actuating of a Simply Supported Beam with the Flexoelectric Effect" Materials 13, no. 7: 1735. https://doi.org/10.3390/ma13071735
APA StyleFan, M., & Min, H. (2020). Active Actuating of a Simply Supported Beam with the Flexoelectric Effect. Materials, 13(7), 1735. https://doi.org/10.3390/ma13071735
