One-Pot Self-Assembly of Dinuclear, Tetranuclear, and H-Bonding-Directed Polynuclear Cobalt(II), Cobalt(III), and Mixed-Valence Co(II)/Co(III) Complexes of Schiff Base Ligands with Incomplete Double Cubane Core
Abstract
1. Introduction
2. Materials and Methods
2.1. Physical Measurements
2.2. Materials
2.3. X-ray Crystallography
3. Results
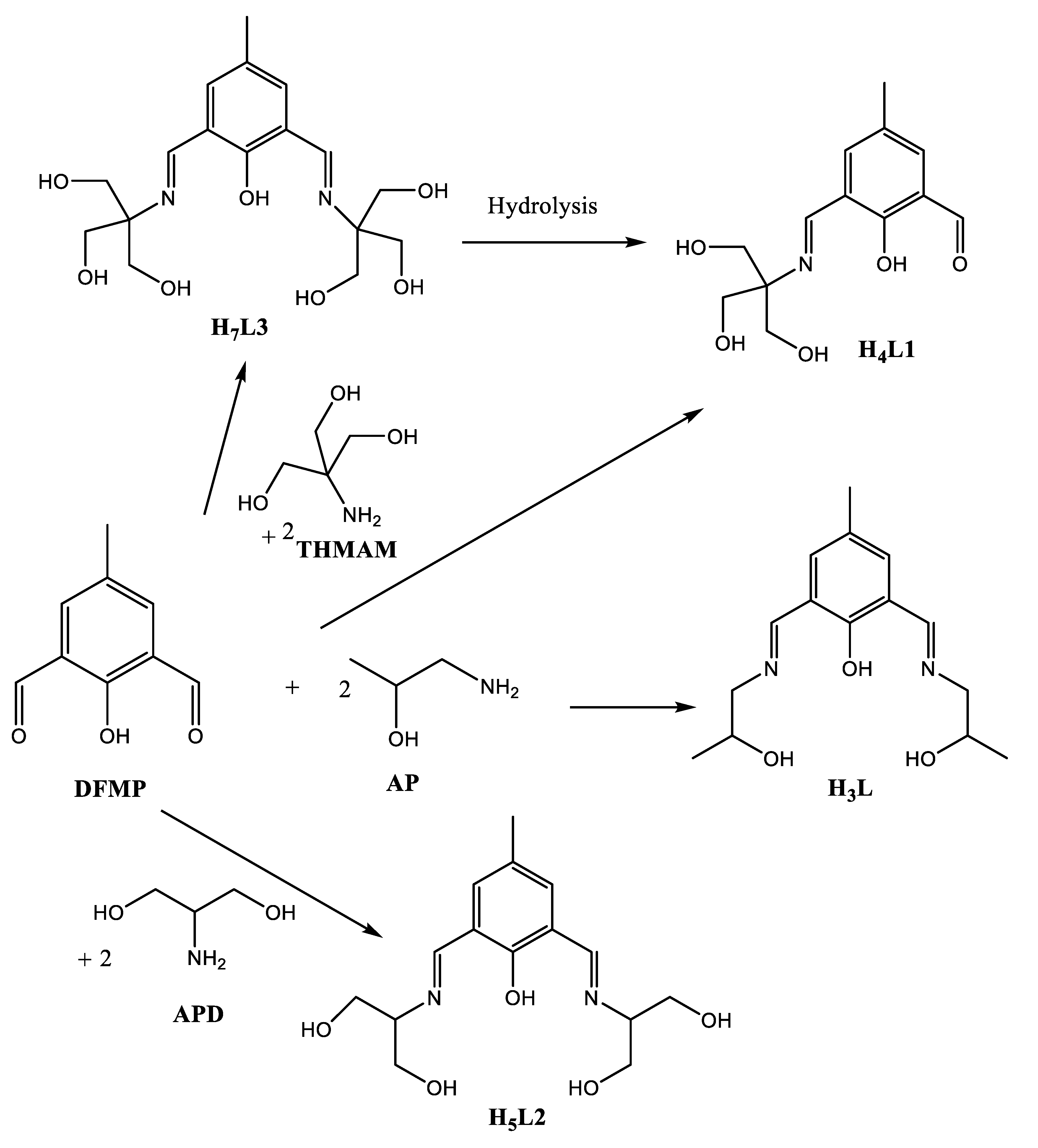
3.1. Synthesis of Complexes
3.2. [Co2III(H2L−1)2(AP−1)(N3)](ClO4)2 (1)
3.3. [Co4(H2L−1)2(µ3-1,1,1-N3)2(µ-1,1-N3)2Cl2(CH3OH)2]·4CH3OH (2)
3.4. [Co2IICo2III(HL−2)2(µ-CH3CO2)2(µ3-OH)2](NO3)2·2CH3CH2OH (3)
3.5. [Co2IICo2III(H2L1−2)2(THMAM−1)2](NO3)4 (4)
4. Discussion
4.1. Synthesis of the Complexes
4.2. Description of Structures
4.2.1. [Co2III(H2L−1)2(AP−1)(N3)](ClO4)2 (1)
4.2.2. [Co4(H2L−1)2(µ3-1,1,1-N3)2(µ-1,1-N3)2Cl2(CH3OH)2]·4CH3OH (2)
4.2.3. [Co2IICo2III(HL−2)2(µ-CH3CO2)2(µ3-OH)2](NO3)2·2CH3CH2OH (3)
4.2.4. [Co2IICo2III(H2L1−2)2(THMAM−1)2](NO3)4 (4)
4.3. Magnetic Properties
4.4. IR and UV–Vis Spectroscopy
5. Conclusions
Supplementary Materials
Author Contributions
Funding
Acknowledgments
Conflicts of Interest
References
- Uhlenheuer, D.A.; Petkau, K.; Brunsreld, L. Combining supramolecular chemistry with biology. Chem. Soc. Rev. 2010, 39, 2817–2826. [Google Scholar] [CrossRef] [PubMed]
- Davis, J.T.; Spada, G.P. Supramolecular architectures generated by self-assembly of guanosine derivatives. Chem. Soc. Rev. 2007, 36, 296–313. [Google Scholar] [CrossRef] [PubMed]
- Younjin, M.; Mustafa, A.; Kai, K.; Yuval, G.; Jacob, I. The role of interparticle and external forces in nanoparticle assembly. Nat. Mater. 2008, 7, 527–538. [Google Scholar]
- Lehn, J.-M. Supramolecular Chemistry-Scope and perspectives molecules, supermolecules, and molecular devices (Nobel Lecture). Angew. Chem. Int. Ed. 1988, 27, 89–112. [Google Scholar] [CrossRef]
- Lohmeijer, B.G.G.; Schubert, U.S. Supramolecular engineering with macromolecules: An alternative concept for block copolymers. Angew. Chem. Int. Ed. 2002, 41, 3825–3829. [Google Scholar] [CrossRef]
- Lehn, J.-M. Supramolecular Chemistry: Concepts and Perspectives; VCH: Weihneim, Germany, 1995. [Google Scholar]
- Stupp, S.I.; Palmer, L.C. Supramolecular chemistry and self-assembly in organic materials design. Chem. Mater. 2014, 26, 507–518. [Google Scholar] [CrossRef]
- Nicolaou, K.C.; Vourloumis, D.; Winssinger, N.; Baran, P.S. The art and science of total synthesis at the dawn of the twenty-first century. Angew. Chem. Int. Ed. 2000, 39, 44–122. [Google Scholar] [CrossRef]
- He, Z.; Jiang, W.; Schalley, C.A. Integrative self-sorting: A versatile strategy for the construction of complex supramolecular architecture. Chem. Soc. Rev. 2015, 44, 779–789. [Google Scholar] [CrossRef]
- Stang, P.J.; Olenyuk, B. Self-assembly, symmetry, and molecular architecture: Coordination as the motif in the rational design of supramolecular metallacyclic polygons and polyhedral. Acc. Chem. Res. 1997, 30, 502–518. [Google Scholar] [CrossRef]
- Glotzer, S.C. Some assembly required. Science 2004, 306, 419–420. [Google Scholar] [CrossRef]
- Boles, M.A.; Engel, M.; Talapin, D.V. Self-assembly of colloidal nanocrystals: From intricate structures to functional materials. Chem. Rev. 2016, 116, 11220–11289. [Google Scholar] [CrossRef] [PubMed]
- Cook, T.R.; Zheng, Y.-R.; Stang, P.J. Metal–organic frameworks and self-assembled supramolecular coordination complexes: Comparing and contrasting the design, synthesis, and functionality of metal–organic materials. Chem. Rev. 2013, 113, 734–777. [Google Scholar] [CrossRef] [PubMed]
- Tanaka, S.; Tsurugi, H.; Mashima, K. Supramolecular assemblies of multi-nuclear transition metal complexes: Synthesis and redox properties. Coord. Chem. Rev. 2014, 265, 38–51. [Google Scholar] [CrossRef]
- Dalgarno, S.J.; Power, N.P.; Atwood, J.L. Metallo-supramolecular capsules. Coord. Chem. Rev. 2008, 252, 825–841. [Google Scholar] [CrossRef]
- Koshevoy, I.O.; Koskinen, L.; Haukka, M.; Tunik, S.P.; Serdobintsev, P.Y.; Melnikov, A.S.; Pakkanen, T.A. Self-assembly of supramolecular luminescent AuI–CuI complexes: “Wrapping” an Au6Cu6 cluster in a [Au3(diphosphine)3]3+ “belt”. Angew. Chem. Int. Ed. 2008, 47, 3942–3945. [Google Scholar] [CrossRef]
- Molecular Self-Assembly Organic Versus Inorganic Approaches; Fujita, M., Ed.; Springer: Berlin/Heidelberg, Germany, 2003. [Google Scholar]
- Caulder, D.L.; Powers, R.E.; Parac, T.N.; Raymon, K.N. The Self-assembly of a predesigned tetrahedral M4L6 supramolecular cluster. Angew. Chem. Int. Ed. 1998, 37, 1840–1843. [Google Scholar] [CrossRef]
- Zheng, Z. Ligand-controlled self-assembly of polynuclear lanthanide–oxo/hydroxo complexes: From synthetic serendipity to rational supramolecular design. Chem. Commun. 2001, 2521–2529. [Google Scholar] [CrossRef]
- Johnson, D.W.; Xu, J.; Saalfrank, R.W.; Raymond, K.N. Self-assembly of a three-dimensional [Ga6(L2)6] metal–ligand “cylinder”. Anew. Chem. Int. Ed. 1999, 38, 2882–2885. [Google Scholar] [CrossRef]
- Saalfrank, R.W.; Glaser, H.; Demleitner, B.; Hampel, F.; Chowdhary, M.M.; Schunemann, V.; Trautwein, A.X.; Vaughan, G.B.M.; Yeh, R.; Davis, A.V.; et al. Self-assembly of tetrahedral and trigonal antiprismatic clusters [Fe4 (L4)4] and [Fe6 (L5)6] on the basis of trigonal tris-bidentate chelators. Chem. Eur. J. 2002, 8, 493–497. [Google Scholar] [CrossRef]
- Templated Organic Synthesis; Diederich, F., Stang, P.J., Eds.; Wiley-VCH: Weinheim, Germany, 2000. [Google Scholar]
- Tandon, S.S.; Bunge, S.D.; Toth, S.A.; Sanchiz, J.; Thompson, L.K.; Shelley, J.T. Antiferromagnetically coupled dimeric dodecacopper supramolecular architectures of macrocyclic ligands with a symmetrical μ6-BO33– central moiety. Inorg. Chem. 2015, 54, 6873–6884. [Google Scholar] [CrossRef]
- Wilkinson, M.J.; Van Leeuwen, P.W.; Reek, J.N. New directions in supramolecular transition metal catalysis. Org. Biomol. Chem. 2005, 3, 2371–2383. [Google Scholar] [CrossRef] [PubMed]
- Van Leeuwen, P.W.N.M. Homogeneous Catalysis; Kluwer Academic Publishers: Dordrecht, The Netherlands, 2004. [Google Scholar]
- Sivasubramaniam, V.K.; Ganesan, M.; Rajagopal, S.; Ramaraj, R. Iron (III)−salen complexes as enzyme models: Mechanistic study of oxo (salen) iron complexes oxygenation of organic sulfides. J. Org. Chem. 2002, 67, 1506–1514. [Google Scholar] [CrossRef] [PubMed]
- Rizzarelli, E.; Vecchio, G. Metal complexes of functionalized cyclodextrins as enzyme models and chiral receptors. Coord. Chem. Rev. 1999, 188, 343–364. [Google Scholar] [CrossRef]
- Van den Benken, E.K.; Feringu, B.L. Bimetallic catalysis by late transition metal complexes. Tetrahedron 1998, 54, 12985–13011. [Google Scholar] [CrossRef]
- Karlin, K.D. Progress in Inorganic Chemistry; Wiley: New York, NY, USA, 2007; Volume 41. [Google Scholar]
- Plass, W. Structural variety and magnetic properties of polynuclear assemblies based on 2-aminoglucose and tritopic triaminoguanidine ligands. Coord. Chem. Rev. 2009, 253, 2286–2295. [Google Scholar] [CrossRef]
- Burkhard, A.; Spielberg, E.T.; Simon, S.; Gorls, H.; Buchholz, A.; Plass, W.A. Facile, modular, scalable route to novel helical dications. Chem. Eur. J. 2009, 15, 1261–1271. [Google Scholar]
- Ribas, R.; Escuer, A.; Monfort, M.; Vicente, R.; Cortes, R.; Lezama, L.; Rojo, T. Polynuclear NiII and MnII azido bridging complexes. Structural trends and magnetic behavior. Coord. Chem. Rev. 1999, 193–195, 1027–1068. [Google Scholar] [CrossRef]
- Dul, M.C.; Pardo, E.; Lescouëzec, R.; Journaux, Y.; Ferrando-Soria, J.; Ruiz-García, R.; Cano, J.; Julve, M.; Lloret, F.; Cangussu, D.; et al. Supramolecular coordination chemistry of aromatic polyoxalamide ligands: A metallosupramolecular approach toward functional magnetic materials. Coord. Chem. Rev 2010, 254, 2281–2296. [Google Scholar] [CrossRef]
- Christou, G.; Gatteschi, D.; Hendrickson, D.N.; Sessoli, R. Single-molecule magnets. MRS Bull. 2000, 25, 66–71. [Google Scholar] [CrossRef]
- Nesterov, D.S.; Nesterova, O.V. Polynuclear cobalt complexes as catalysts for light-drivenwater oxidation: A aeview of recent advances. Catalysts 2018, 8, 602. [Google Scholar] [CrossRef]
- Pal, A.; Li, C.; Hanan, G.S.; Colman, E.Z. Blue‐Emissive Cobalt (III) Complexes and Their Use in the Photocatalytic Trifluoromethylation of Polycyclic Aromatic Hydrocarbons. Angew. Chem. 2018, 130, 8159–8163. [Google Scholar]
- McKee, V.; Tandon, S.S. X-Ray crystal structure and some properties of a tetranuclear, mixed-valence manganese complex of a macrocyclic ligand. J. Chem. Soc. Chem. Commun. 1988, 1334–1336. [Google Scholar] [CrossRef]
- McKee, V.; Tandon, S.S. The x-ray crystal structure and some properties of a planar tetracopper(II) macrocyclic complex containing a μ4-hydroxo bridge. J. Chem. Soc. Chem. Commun. 1988, 385–387. [Google Scholar] [CrossRef]
- McKee, V.; Tandon, S.S. An Octacopper(II) complex with µ5- and tripodlike perchlorate ligands: Formation and X-ray structure of the [Cu4(L)0(CI04)]2(C104)2·2H2O dimer. Inorg. Chem. 1989, 28, 2901–2902. [Google Scholar] [CrossRef]
- Tandon, S.S.; McKee, V. Lead(II) and barium(II) complexes of a potentially octadentate macrocyclic ligand (H4L), capable of providing endogenous alkoxy and phenoxy bridges. The X-ray crystal structures of [Pb(H4L)](ClO4)2, [Pb2(H2L)](ClO4)2 and [H6L(H2O)2](ClO4)2. J. Chem. Soc. Dalton Trans 1989, 19–24. [Google Scholar] [CrossRef]
- Downard, J.; McKee, V.; Tandon, S.S. Binuclear manganese(II) and nickel(II) complexes of a potentially octadentate macrocyclic ligand (H4L), capable of providing endogenous alkoxy and phenoxy bridges. The x-ray crystal structures of [Mn2(H2L)(CH3COO)2].CH3OH and [Ni2(H2L)Cl2(H2O)2]. Inorg. Chim. Acta 1990, 173, 181–190. [Google Scholar] [CrossRef]
- McKee, V.; Tandon, S.S. Synthesis and characterization of a series of tetra-and octa-copper (II) complexes with macrocyclic ligands. J. Chem. Soc. Dalton Trans. 1991, 221–230. [Google Scholar] [CrossRef]
- Tandon, S.S.; Thompson, L.K.; Bridson, J.N.; McKee, V.; Downard, A.J. Dinuclear copper(II) and polymeric tetranuclear copper(II) and copper(II)-copper(I) complexes of macrocyclic ligands capable of forming endogenous alkoxide and phenoxide bridges. structural, magnetic, and electrochemical studies. Inorg. Chem. 1992, 31, 4635–4642. [Google Scholar] [CrossRef]
- Tandon, S.S.; Thompson, L.K.; Bridson, J.N. A Novel antiferromagnetically coupled, dimeric, dodecanuclear copper(II) complex involving two macrocyclic ligands each with a ’benzene-like’ arrangement of six copper centres. J. Chem. Soc. Chem. Commun. 1992, 911–913. [Google Scholar] [CrossRef]
- Tandon, S.S.; Thompson, L.K.; Bridson, J.N.; Bubenik, M. Synthetic, structural and magnetic properties of mononuclear, dinuclear and tetranuclear copper(II) complexes of a 17-membered macrocyclic ligand (HM3), capable of forming endogenous phenoxide and pyridazino bridges. X-ray crystal structure of [Cu2(M3)(μ2-OMe)(NO3)2], [Cu4(M3)2(μ3-OMe)2(μ2-Cl)2Cl2], [Cu4(M3)2(μ3-OEt)2(μ2-N3)2(N3)2].(MeOH), [Cu4(M3)(μ3-Ome)2(NCS)4](DMF) and [Cu(HM3)(NCS)2]. Inorg. Chem. 1993, 32, 4621–4631. [Google Scholar]
- Chen, L.; Thompson, L.K.; Tandon, S.S.; Bridson, J.N. Synthetic, structural, and spectroscopic studies on copper(II), copper(I), and silver(I) complexes of a series of pyridazinophane and phthalazinophane macrocycles. Unusual extended metallocyclic structures. Inorg. Chem. 1993, 32, 4063–4068. [Google Scholar] [CrossRef]
- Tandon, S.S.; Thompson, L.K.; Bridson, J.N. Dinuclear copper(II) and mixed-valence copper(II)-copper(I) complexes of 34-membered macrocyclic ligands (H2M1,H2M2) capable of forming endogenous phenolate and pyridazino bridges. X-ray crystal structures of the dinuclear copper(II) complexes [Cu2M1][BF4]2.H2O and [Cu2M2][BF4]2.CH3OH, which exhibit a remarkable ligand twist. Inorg. Chem. 1993, 32, 32–39. [Google Scholar]
- Tandon, S.S.; Thompson, L.K.; Bridson, J.N.; Benelli, C. Hexanuclear and dodecanuclear macrocyclic copper (II) and nickel (II) complexes with almost planar" benzene-like" metal arrays. Inorg. Chem. 1995, 34, 5507–5515. [Google Scholar] [CrossRef]
- Thompson, L.K.; Tandon, S.S.; Bridson, J.N.; Park, M.K. Magnetostructural correlations in bis(µ2-phenoxide)-bridged macrocyclic dinuclear copper(II) complexes. Influence of electron-withdrawing substituents on exchange coupling. Inorg. Chem. 1996, 35, 3117–3125. [Google Scholar] [CrossRef]
- McCrea, J.; McKee, V.; Metcalfe, T.; Tandon, S.S.; Wikaira, J. Geometric control of redox level in tetranuclear manganese and cobalt systems. Inorg. Chim. Acta. 2000, 297, 220–230. [Google Scholar] [CrossRef]
- Tandon, S.S.; Bunge, S.D.; Thompson, L.K. A tetradecanuclear copper dimeric macrocyclic complex with a body-centred heptanuclear core-structure and magnetism. Chem. Commun. 2007, 798–800. [Google Scholar] [CrossRef]
- Tandon, S.S.; Bunge, S.D.; Patel, N.; Thompson, L.K. The synthesis, structure, and magnetic properties of a novel copper(II) cluster with H-bonding directed 3D-structure comprised of interconnecteddouble-stranded ladders. Inorg. Chem. Commun. 2009, 12, 1077–1080. [Google Scholar] [CrossRef]
- Tandon, S.S.; Bunge, S.D.; Rakosi, R.; Xu, Z.; Thompson, L.K. Self-assembly of mixed-valence Co(II/III) and Ni(II) clusters: Azide-bridged 1D single chain coordination polymers comprised of tetranuclear units, tetranuclear Co(II/III) complexes, ferromagnetically coupled azide-bridged tetranuclear, and hexanuclear Ni(II) complexes: Synthesis, structural, and magnetic propertie. Dalton Trans. 2009, 6536–6551. [Google Scholar] [CrossRef]
- Tandon, S.S.; Bunge, S.D.; Motry, D.; Costa, J.S.; Aromí, G.; Reedijk, J.; Thompson, L.K. Copper coordination polymers based on single-chain or sheet structures involving dinuclear and tetranuclear copper(II) units: Synthesis, structures, and magnetostructural correlations. Inorg. Chem. 2009, 48, 4873–4881. [Google Scholar] [CrossRef]
- Tandon, S.S.; Bunge, S.D.; Sanchiz, J.; Thompson, L.K. Structures and magnetic properties of an antiferromagnetically coupled polymeric copper(II) complex and ferromagnetically coupled hexanuclear nickel(II) clusters. Inorg. Chem. 2012, 51, 3270–3282. [Google Scholar] [CrossRef]
- Tandon, S.S.; Bunge, S.D.; Patel, N.; Sanchiz, J. H-bonding directed formation of 1D-single chains, 2D-sheets, and 3Dstructures in magnetically coupled tetranuclear nickel(II) complexes with incomplete double cubane core. Polyhedron 2017, 123, 361–375. [Google Scholar] [CrossRef]
- Escuer, A.; Aromi, G. Azide as a bridging ligand and magnetic coupler in transition metal clusters. Eur. J. Inorg. Chem. 2006, 4721–4736. [Google Scholar] [CrossRef]
- Ferbinteanu, M.; Miyasaka, H.; Wernsdorfer, W.; Nakata, K.; Sugiura, K.; Yamashita, M.; Coulon, C.; Clerac, R. Single-chain magnet (NEt4)[Mn2(5-MeOsalen)2Fe(CN)6] made of MnIII-FeIII-MnIII trinuclear single-molecule magnet with an ST ) 9/2 spin ground state. J. Am. Chem. Soc. 2005, 127, 3090–3099. [Google Scholar] [CrossRef] [PubMed]
- Massoud, S.S.; Mautner, F.A.; Vicente, R.; Gallo, A.A.; Ducasse, E. Dinuclear and polynuclear bridged azido–nickel (II) complexes: Synthesis, structure determination, and magnetic properties. Eur. J. Inorg. Chem. 2007, 1091–1102. [Google Scholar] [CrossRef]
- Tasiopoulos, A.J.; Vinslava, A.; Wernsdorfer, W.; Abboud, K.A.; Christou, G. Giant single-molecule magnets: A {Mn84} torus and its supramolecular nanotubes. Angew. Chem. Int. Ed. 2004, 43, 2117–2121. [Google Scholar] [CrossRef] [PubMed]
- Chakov, N.E.; Wernsdorfer, W.; Abboud, K.A.; Christou, G. Mixed-valence MnIIIMnIV clusters [Mn7O8(O2SePh)8(O2CMe)(H2O)] and [Mn7O8(O2SePh)9(H2O)]: Single-chain magnets exhibiting quantum tunneling of magnetization. Inorg. Chem. 2004, 43, 5919–5930. [Google Scholar] [CrossRef]
- Manson, J.L.; Kmety, C.R.; Huang, Q.-H.; Lynn, J.W.; Bendele, G.M.; Pagola, S.; Stephens, P.W.; Liable-Sands, L.M.; Rheingold, A.L.; Epstein, A.J.; et al. Structure and magnetic ordering of MII[N(CN)2]2 (M ) Co, Ni). Chem. Mater. 1998, 10, 2552–2560. [Google Scholar] [CrossRef]
- Ullman, F.; Brittner, K. Ther die herstellung von oxyuvitinaldehyd aue p-kresol. Chem. Ber. 1909, 42, 2539–2549. [Google Scholar] [CrossRef]
- APEX3, Bruker AXS, Inc. Analytical X-ray Systems; Bruker AXS, Inc.: Madison, WI, USA, 2018. [Google Scholar]
- Bruker AXS, Inc. Analytical X-ray Systems; SAINT Version 6.45A; Bruker AXS, Inc.: Madison, WI, USA, 2003. [Google Scholar]
- Sheldrick, G.M. SHELXT - Integrated space-group and crystal-structure determination. Acta Cryst. 2015, A71, 3–8. [Google Scholar] [CrossRef]
- Bruker AXS, Inc. Analytical X-ray Systems; SHELXTL V6.12; Bruker AXS, Inc.: Madison, WI, USA, 2002. [Google Scholar]
- Dolomanov, O.V.; Bourhis, L.J.; Gildea, R.J.; Howard, J.A.K.; Puschmann, H. OLEX2: A complete structure solution, refinement and analysis program. J. Appl. Cryst. 2009, 42, 339–341. [Google Scholar] [CrossRef]
- Tandon, S.S.; Bunge, S.D.; Patel, N.; Wang, E.; Thompson, L.K. Self-assembly of antiferromagnetically coupled copper(II) supramolecular architectures with diverse structural complexities. Molecules 2020, 25, 5549. [Google Scholar] [CrossRef]
- Shiga, T.; Maruyama, K.; Han, L.Q.; Oshio, H. Structure and magnetic property of an octadecanuclear Cu(II) complex. Chem. Lett. 2005, 34, 1648–1649. [Google Scholar] [CrossRef]
- Yamashita, S.; Shiga, T.; Kurashina, M.; Nihei, M.; Nojjiri, H.; Sawa, H.; Kakiuchi, T.; Oshio, H. Manganese(III,IV) and manganese(III) oxide clusters trapped by copper(II) complexes. Inorg. Chem. 2007, 46, 3810–3812. [Google Scholar] [CrossRef] [PubMed]
- Mandal, D.; Bertolasi, V.; Ribas-Arino, J.; Aromi, G.; Ray, D. Self-assembly of an azido-bridged [NiII6] cluster featuring four fused defective cubanes. Inorg. Chem.Commun. 2008, 47, 3465–3467. [Google Scholar] [CrossRef] [PubMed]
- Palenik, G.J. Bond valence sums in coordination chemistry using oxidation state independent R0 values. Inorg. Chem. 1997, 36, 122. [Google Scholar] [CrossRef]
- Thorp, H.H. Bond valence sum analysis of metal-ligand bond lengths in metalloenzymes and model complexes. Inorg. Chem. 1992, 31, 1585–1588. [Google Scholar] [CrossRef]
- Liu, W.; Thorp, H.H. Bond valence sum analysis of metal-ligand bond lengths in metalloenzymes and model complexes. 2. Refined distances and other enzymes. Inorg. Chem. 1993, 32, 4102–4105. [Google Scholar] [CrossRef]
- Brown, I.D.; Altermatt, D. Bond-valence parameters obtained from a systematic analysis of the inorganic crystal structure database. Acta Cryst. 1985, B41, 244–247. [Google Scholar] [CrossRef]
- Mandal, D.; Ray, D. Self-assembly of a Co4III face-shared partial double cubane supported by alkoxo terminal and bridging ligands. Inorg. Chem. Commun. 2007, 10, 1202–1205. [Google Scholar] [CrossRef]
- Alley, K.G.; Bircher, R.; Waldmann, O.; Ochsenbein, S.T.; Gudel, H.U.; Moubaraki, B.; Murray, K.S.; Fernandez-Alonso, F.; Abrahams, B.F.; Boskovic, C. Mixed-valent cobalt spin clusters: A hexanuclear complex and a one-dimensional coordination polymer comprised of alternating hepta-and mononuclear fragments. Inorg. Chem. 2006, 45, 8950–8957. [Google Scholar] [CrossRef]
- Abedin, T.S.M.; Thompson, L.K.; Miller, D. An octanuclear [Co(II)2–Co(III)2]2 interlocked grid-example of an inorganic [2] catenane. Chem. Commun. 2005, 5512–5514. [Google Scholar] [CrossRef] [PubMed]
- Aromi, G.; Batsanov, A.S.; Christian, P.; Helliwell, M.; Parkin, A.; Parsons, S.; Smith, A.A.; Timco, G.A.; Winpenny, R.E.P. Synthetic and structural studies of cobalt- pivalate complexes. Chem. Eur. J. 2003, 9, 5142–5161. [Google Scholar] [CrossRef] [PubMed]
- Ma, X.-F.; Wang, Z.; Chen, X.-L.; Kurmoo, M.; Zeng, M.-H. Ligand effect on the single-molecule magnetism of tetranuclear Co(II) cubane. Inorg. Chem. 2017, 56, 15178–15186. [Google Scholar] [CrossRef] [PubMed]
- Nemec, I.; Herchel, R.; Machata, M.; Travnıcek, Z. Tetranuclear Ni(II) and Co(II) Schiff-base complexes with an M4O6 defective dicubane-like core: Zero-field SMM behavior in the cobalt analogue. New J. Chem. 2017, 41, 11258–11267. [Google Scholar] [CrossRef]
- Yue, W.; Liu, X.; Guo, W.-X.; Gao, E.-Q. Structural diversity and magnetic properties of Co(II)/Mn(II)/Ni(II) coordination polymers constructed from an unsymmetrical tetracarboxylic acid and varying N-donor ligands. CrystEngComm 2018, 20, 4258–4267. [Google Scholar] [CrossRef]
- Fiorini, G.; Carrella, L.; Rentschler, E.; Alborés, P. Structural characterization and magnetic property studies of a mixed-valence {CoIIICoII 4} complex with a μ4-oxo tetrahedral {CoII4} motif. Dalton Trans. 2020, 49, 932–940. [Google Scholar] [CrossRef]
- Sun, H.; Gao, Q.; Chhiba, S.; Chibueze, O.J.; Li, Y. Tetranuclear zinc and cobalt clusters with dicubane-typetopology: Synthesis, structures, luminescent and magnetic properties. ChemistrySelect 2019, 4, 11015–11018. [Google Scholar] [CrossRef]
- Papaefstathiou, G.S.; Escuer, A.; Raptopoulou, C.P.; Terzis, A.; Perlepes, S.P.; Vicente, R. Defective double-cubane, tetranuclear manganese(II) and cobalt(II) complexes with simultaneous µ1,1-Azido and µ-O bridges. Eur. J. Inorg. Chem. 2001, 1567–1574. [Google Scholar] [CrossRef]
- Zurine, E.; Serna, Z.E.; Urtiaga, M.E.; Barandika, M.G.; Corte´s, R.; Martin, S.; Lezama, L.; Lsabel, M.; Arriortua, M.I.; Rojo, T. Dicubane-like tetrameric cobalt(II)-pseudohalide ferromagnetic clusters. Inorg. Chem. 2002, 40, 4550–4555. [Google Scholar]










| Compound | 1 | 2 | 3 | 4 |
|---|---|---|---|---|
| Empirical formula | C33H50Cl2Co2N8O15 | C36H60Cl2Co4N16O12 | C38 H60Co4N6O20 | C34H50Co4N8O28 |
| M | 986.56 | 1215.62 | 1156.64 | 1254.54 |
| Crystal System | triclinic | monoclinic | triclinic | monoclinic |
| Space group | P-1 | P21/c | P-1 | P21/c |
| a/Å | 12.976(7) | 12.3537(13) | 9.594(3) | 10.9951(12) |
| b/Å | 13.417(7) | 12.0935(13) | 11.947(4) | 18.435(2) |
| c/Å | 13.652(7) | 18.306(2) | 12.238(4) | 14.5466(16) |
| α/° | 77.064(9) | - | 94.242(5) | - |
| β/° | 73.785(9) | 98.075(2) | 110.439(5) | 111.377(2) |
| γ/° | 85.693(9) | - | 104.116(4) | - |
| V/Å3 | 2224(2) | 2707.8(5) | 1255.1(7) | 2745.7(5) |
| ρcalcd (g cm−3) | 1.473 | 1.491 | 1.530 | 1.517 |
| T/K | 180 | 105.15 | 105.15 | 190 |
| Z | 2 | 2 | 1 | 2 |
| μ/mm−1 | 0.938 | 1.370 | 1.377 | 1.277 |
| Crystal size (mm) | 0.20 × 0.15 × 0.10 | 0.41 × 0.25 × 0.10 | 0.2 × 0.2 × 0.1 | 0.20 × 0.2 × 0.10 |
| Reflections collected: | ||||
| Total | 17942 | 21211 | 9624 | 21677 |
| Unique | 7850 | 4798 | 4410 | 4858 |
| Rint | 0.0973 | 0.0256 | 0.1010 | 0.0668 |
| Final R1, wR2 | 0.0806, 0.1931 | 0.0334, 0.0929 | 0.0533, 0.1388 | 0.0539, 0.1262 |
Publisher’s Note: MDPI stays neutral with regard to jurisdictional claims in published maps and institutional affiliations. |
© 2020 by the authors. Licensee MDPI, Basel, Switzerland. This article is an open access article distributed under the terms and conditions of the Creative Commons Attribution (CC BY) license (http://creativecommons.org/licenses/by/4.0/).
Share and Cite
Tandon, S.S.; Patel, N.; Bunge, S.D.; Wang, E.C.; Thompson, R.; Thompson, L.K. One-Pot Self-Assembly of Dinuclear, Tetranuclear, and H-Bonding-Directed Polynuclear Cobalt(II), Cobalt(III), and Mixed-Valence Co(II)/Co(III) Complexes of Schiff Base Ligands with Incomplete Double Cubane Core. Materials 2020, 13, 5425. https://doi.org/10.3390/ma13235425
Tandon SS, Patel N, Bunge SD, Wang EC, Thompson R, Thompson LK. One-Pot Self-Assembly of Dinuclear, Tetranuclear, and H-Bonding-Directed Polynuclear Cobalt(II), Cobalt(III), and Mixed-Valence Co(II)/Co(III) Complexes of Schiff Base Ligands with Incomplete Double Cubane Core. Materials. 2020; 13(23):5425. https://doi.org/10.3390/ma13235425
Chicago/Turabian StyleTandon, Santokh S., Neil Patel, Scott D. Bunge, Esther C. Wang, Rachel Thompson, and Laurence K. Thompson. 2020. "One-Pot Self-Assembly of Dinuclear, Tetranuclear, and H-Bonding-Directed Polynuclear Cobalt(II), Cobalt(III), and Mixed-Valence Co(II)/Co(III) Complexes of Schiff Base Ligands with Incomplete Double Cubane Core" Materials 13, no. 23: 5425. https://doi.org/10.3390/ma13235425
APA StyleTandon, S. S., Patel, N., Bunge, S. D., Wang, E. C., Thompson, R., & Thompson, L. K. (2020). One-Pot Self-Assembly of Dinuclear, Tetranuclear, and H-Bonding-Directed Polynuclear Cobalt(II), Cobalt(III), and Mixed-Valence Co(II)/Co(III) Complexes of Schiff Base Ligands with Incomplete Double Cubane Core. Materials, 13(23), 5425. https://doi.org/10.3390/ma13235425

