Abstract
Oxidation barrier coatings on the base of a perhydropolysilazane precursor with different amounts of Si, B, SiB6 and Mo5SiB2 (T2) fillers for the oxidation protection of Mo-Si-B alloys were developed. The influence of different filler compositions as well as the influence of pyrolysis conditions (temperature and atmosphere) was studied. The coating slurries were examined with respect to their rheological behavior, which allows optimization of the coating slurry. Dilatometry studies show that the coefficient of thermal expansion of the composites can be matched to refractory, especially molybdenum alloy based, substrates by varying the content and the composition of the filler. The pyrolyzed coating systems offer a low porosity, which is one of the key parameters to a high oxidation protection capability.
1. Introduction
A process–cost–effective alternative to various coating techniques such as pack cementation coating, magnetron sputtering and plasma spraying is offered by coating processes with preceramic polymers (ceramic precursors) under ambient conditions [1]. After their thermal conversion (pyrolysis) into polymer-derived ceramics, they may serve as protective and functional layers for metallic materials [2,3]. In our previous works, oxidation barrier coatings were developed using a perhydropolysilazane precursor and homogeneously distributed in it Mo5SiB2, SiB6, Si and B powder fillers [4,5]. These coating systems are intended to protect Mo-base alloys, in particular Mo-Si-B, Mo-Hf-B and Mo-Zr-B alloys, against high temperature oxidation above 1100 °C. Mo-base alloys containing high volume fractions of the Mo solid solution phase are prone to an infinite oxidation in the temperature range from 400 to 800 °C because of MoO3 formation and its instant evaporation up to the entire alloy’s destruction [6,7,8]. The oxidation protection mechanism of polymer–to–ceramic converted, homogeneously filled coating layers consists in the formation of a high temperature stable SiO2/SiNO matrix, which, in a combination with glass-forming filler particles, protects the alloy surface at the initial stage of oxidation [4,5,6]. The presence of the Mo5SiB2 (T2) phase in Mo-Si-B alloys leads to the formation of a self-protective SiO2-B2O3 layer with high viscosity that serves upon further oxygen penetration into the metal matrix at the later stage of oxidation [6,9,10]. Thus, the protective coating systems were developed taking into account the physical–chemical compatibility of the coating layers to Mo-Si-B, Mo-Hf-B and Mo-Zr-B substrates.
The developed coating systems demonstrate a parabolic oxidation kinetic at 800 °C and 1100 °C in air up to 100 h [4,5]. The coatings were applied to plain Mo-, Mo-Si-B, Mo-Hf-B and Mo-Zr-B alloys [4,6] and Ti-alloys [11,12] using a technologically less challenging dip coating process. The phase composition and microstructure of coating systems, their oxidation protective properties and the process of the polymer-to-ceramic transition are described in detail elsewhere [4,5].
The aim of this work is to investigate the physical–mechanical properties of Mo5SiB2, SiB6, Si and B filled coating systems on the base of free-standing bulk samples without any contact to a Mo based alloy. The thermal expansion coefficient, density and porosity, flexural strength of the developed systems were studied in terms of the significant properties of oxidation barrier coatings. Examinations of the rheological behavior of the coating slurries are important for the application of the dip coating process.
2. Materials and Methods
The coating systems were prepared using a perhydropolysilazane preceramic polymer (PHPS NN 120-20, Clariant Advanced MaterialsGmbH, Sulzbach, Germany) and particulate fillers from commercial suppliers: Si (99.50%, Thermo Fisher (Kandel) GmbH, Kandel, Germany), B (95.00–97.00%, Chempur, Feinchemikalien und Forschungsbedarf GmbH, Karlsruhe, Germany), SiB6 (98.00%). The Mo5SiB2 phase (T2) was produced by a powder metallurgical processing route using elemental powders of Mo (99.95%, H.C. Starck GmbH, Munich, Germany), Si (99.60%) and B (98.00%,) in high-purity quality. The elemental powders were mechanically alloyed for 20 h at 200 rpm in a planetary ball mill (PM 400, Retsch GmbH, Haan, Germany) with further heat treatment at 1400 °C for 1 h in a tubular furnace (Losic 1500-90-600-1, HTM Reetz GmbH, Berlin, Germany, heating/cooling rate of 5 K/min). Subsequently, the annealed powder was grinded for 1 h at 200 rpm in a planetary ball mill to achieve a median particle size of ~5 µm. According to XRD analysis (PANalytical GmbH, Kassel, Cu Kα radiation, λ = 0.1541 nm), the resulting powder consisted mainly of Mo5SiB2 phase with some residual Mo (according to the Ritveld quantification method, 2.23%). Some properties of the filler powders are summarized in Table 1.
Table 1.
Some properties of filler powders.
Preceramic slurries were mixed in a specific precursor/filler volume ratio and were subjected to rheological examinations. Schematic sample codes are given in Table 2. Rheological measurements of the coating slurries were conducted with a rotational viscometer MCR 301 (Anton Paar Germany GmbH, Ostfildern-Scharnhausen/Germany) in a plate-to-plate configuration with a gap size of 1 mm. The measurements were carried out at room temperature under variation of the shear rate from 10−1 s−1 to 10−3 s−1.
Table 2.
List of compositions and sample codes.
For thermal expansion measurements, flexural strength, porosity and density investigations bulk samples were manufactured by a manually manageable doctor blade (ZUA 2000, Zehntner GmbH, Sissach, Switzerland). The bulk samples of the size 25 mm × 5 mm × 2.5 mm were obtained by four times covering of the first layer. The samples were crosslinked in a drying furnace at 110 °C for 1.5 h, then subjected to pyrolysis in Ar or N2 atmospheres at 1000 °C or 1200 °C for 1 h; heating and cooling rates were 3 K/min, respectively. The dilatometric examinations were carried out using a horizontal dilatometer, model DIL 402 C (Netzsch, Selb, Germany), in the temperature range 25–1300 °C in Ar or N2 at 1000 °C or 1200 °C on pyrolyzed samples; the heating rate was 5 K/min in Ar. The thermal expansion coefficients were evaluated and calculated using the Proteus software (Netzsch, Selb, Germany).
To determine the density and porosity of the bulk samples, a helium pycnometer (AccuPyc 1330, Micromeritics GmbH, Aachen) was applied. Five measurements of each sample were conducted to evaluate the average values.
Three-point bending tests were carried out to determine the flexural strength of the bulk samples. Bar-shaped specimens of 25 mm × 2.5 mm × 2.5 mm (±0.2) were produced according to DIN EN 843-1. Testing was carried out with a universal testing machine (Zwick/Roell Z100, Zwick GmbH & Co. KG, Ulm, Germany). A pre-stress of 5 N was applied to the samples, and the test samples were subjected to a crosshead speed of 0.1 mm/min. The values of bending strengths, , were calculated in accordance with the Equation (1):
where is the breaking strength, is the distance between the centers of the support rollers, and and are the width and the height of the sample, respectively.
3. Results
3.1. Rheological Properties
An estimation of the rheological properties of the coating slurries is required for the formation of homogeneous coating layers in a dip coating or doctor blade process. The developed coating systems vary from each other in terms of filler volume fraction, particles size and physical properties of the starting filler powders (see Table 1). The uniformly dispersed condensed phases in the slurry are an important precondition to obtain thick coating layers from the filler containing precursor. This avoids sedimentation of the coating slurry and results in a coating thicknesses below the critical cracking point [20]. Another point is that filler containing systems should exhibit a shear thinning behavior due to low viscosity at high shear rates at the beginning of the coating procedure and high viscosity after the shear stress is ceased.
In this study, a plate–plate measuring system was applied for the viscosity determination of the coating systems. According to this measuring system, the share rate values cohere with a withdrawal speed of the dip coating process [21]. Their correlation is presented in Equation (2):
where is the average shear rate and is the withdrawal speed.
On the other hand, the withdrawal speed predetermines the thickness of the coating, , in accordance with the Landau–Levich theory, Equation (3) [22]:
where is a proportionality constant, is the viscosity of the slurry, is the density of the slurry and is the gravity constant. The Landau–Levich theory in the presented form is, however, limited to fluid systems with a Newtonian flow behavior.
Thus, the coating thickness is directly proportional to the withdrawal speed and the viscosity of the coating slurry, but inversely proportional to its density.
In Figure 1, the viscosity curves of the different coating systems are presented. The values of the viscosity of the 45Si, 5B+40Si and the 45SiB6 system are in the same order of magnitude (Figure 1a). Although the filler materials differ in particle size and particle shape, the densities of the Si, B and SiB6 powders are almost the same (see Table 1). Therefore, at low shear rates, the viscosity of the 45Si and the 5B+40Si systems with almost identical amounts of silicon fillers, 45 vol.% and 40 vol.%, respectively, is cognate.
Figure 1.
Viscosity curves of filler loaded coating slurries: (a) 45Si, 5B+40Si, 45SiB6 systems; (b) 15B+25Si, 10B+35Si, 45 T2 systems; measured at room temperature.
At high shear rates (above 40 s−1), the 45Si and the 5B + 40Si systems demonstrate a dilatant effect—the shear thickening of the coating slurry by increased rates of a shear strain [23]. At these shear rates, the free movement of particles is significantly hampered, since collisions between fine powders increase. Dilatant is controlled by such factors as particle size, shape, crystal structure and distribution. Thus, a high amount of finely dispersed Si powders (4.45 μm) with a diamond cubic structure of a high compressive strength could lead to the shear thickening behavior of the 45Si and the 5B + 40Si coating slurries at high shear rates. In turn, the 45SiB6 system demonstrates a shear-thinning behavior due to the lower particle number of the relatively coarse SiB6 particles (18.99 μm) in the slurry.
The effect of the particle concentration on the viscosity of the coating slurry is described by the Krieger–Dougherty equation [24]:
where is the viscosity of the slurry, is the viscosity of the base medium, is the solid particles concentration in the slurry, is the maximum solid particle concentration in the slurry at which the flow can occur and is the intrinsic viscosity of the medium.
This equation shows that, at low particle concentrations, the system possesses an almost Newtonian flow behavior. Increasing the particle concentration results in an increased particle–particle interaction, and as a result the resistance to flow increases.
According to Equation (4), the higher viscosity values of 10B + 35Si and 15B + 25Si, with a high amount of fine B powder (2.32 μm) compared to 5B + 40Si and 45Si, were explained, see Figure 1b. The dilatant effect was not observed for these systems. Evidently, a rhombohedral crystal structure of boron is more exposed to deformations at high shear rates in comparison to the diamond cubic structure. It must be noted that similar rheological dates were obtained for the 50 vol.% filler loaded perhydropolysilazane precursor system in the work [25].
The viscosity of the 45T2 system appears to be the lowest within this slurry series because of the lower amount of T2 particles due to their high density (see Table 1).
Taking into account the character of the viscosity curves of the coating systems considered in this section and the given Equations (2) and (3), it becomes clear that, when using different coating slurries, the thickness of the coating can be adjusted mainly by varying the withdrawal speed during the dip coating process; this process was applied in former studies [26].
3.2. Density and Porosity of the Coating Systems
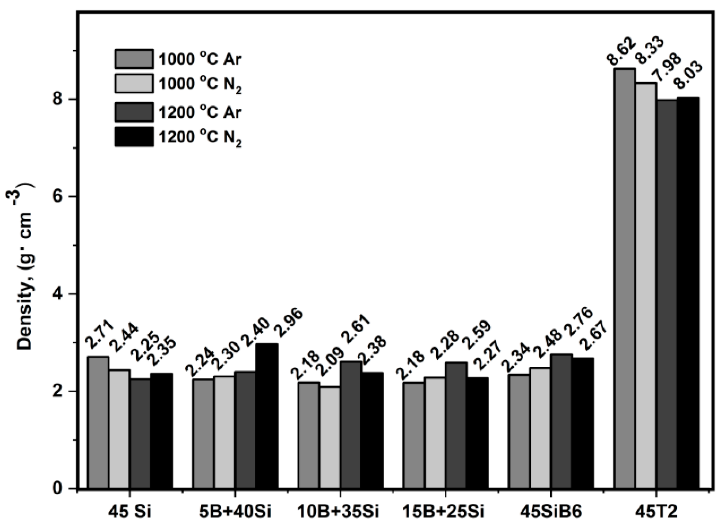
Density and porosity are important physical and microstructure properties for environmental barrier coatings. The density of porous materials can be defined as a bulk density, , which refers to the entire volume of the sample body, and this can be geometrically determined; the skeletal density, , is the volume of the specimen without the volume of the open pores; the true density, , refers to the volume of the solid material without all pores [25,27]. The skeletal density of bulk samples was measured using a helium pycnometer. The values of the skeletal density of bulk samples after pyrolysis in Ar or N2 at 1000 °C and 1200 °C are presented in Figure 2. To determine the true density, samples crushed prior to the measurement were investigated.
Figure 2.
Skeletal density of bulk samples of the filler loaded coating systems after pyrolysis in Ar and in N2 at 1000 °C and 1200 °C.
The density of boron and silicon loaded systems with different Si/B ratios, as well as the SiB6 system, vary among each other only to a minor extent after pyrolysis and independently of the pyrolysis conditions. Their densities range from 2.08 to 2.96 g·cm−3, which is related to the densities of the filler powders (see Table 1). The coating systems loaded with T2 phase have densities of 8.02—8.62 g·cm−3 that also correspond to the initial density of the pure T2 phase. The variation of the pyrolysis temperature (1000 °C or 1200 °C) and the pyrolysis atmosphere (Ar or N2) does not significantly affect the densities of the coating systems.
The open, , and closed, , porosities were calculated using Equations (5) and (6):
Figure 3 presents the values of the open and closed porosity of the samples after pyrolysis in Ar and N2 at 1000 °C and 1200 °C.
Figure 3.
Open and closed porosity of samples after pyrolysis in Ar or in N2 at 1000 °C or 1200 °C; dark part of the bar: closed porosity.
The total porosity of the coating systems is low: the closed porosities do not exceed 0.4% after pyrolysis at 1000 °C and 0.2% after pyrolysis at 1200 °C; the open porosity is 2.9% at 1000 °C and 2.4% at 1200 °C. The high open porosity affects the resistive performance of the coating against oxidation, reducing its ability to protect against oxygen penetration, while the low closed porosity influences the effective elastic modulus, increasing the strain compliance of the coating [1]. The coating system (15B + 25Si) possesses the highest porosity due to the presence of a high amount of small B powder, see Table 1. An increase in the pyrolysis temperature leads to a decrease in porosity of the samples.
3.3. Coefficient of Thermal Expansions
Another important point in case of coatings is the thermal expansion behavior, thus the linear coefficient of thermal expansion (CTE) of bulk samples was measured (Figure 4). Prior to the measurement of the thermal expansion up to 1200 °C in Ar, the samples were subjected to pyrolysis in Ar or N2 at 1000 °C or 1200 °C for 1 h.
Figure 4.
CTE values of bulk samples of the filler loaded coating systems after pyrolysis in Ar and in N2 at 1000 °C and 1200 °C.
These results open the feasibility to evaluate the CTE mismatch between the coatings and a potential substrate. If the thermal behavior of the coating and the substrate are significantly different, thermally induced mechanical stresses occur, which increase the risk of coating spallation [2,28].
The CTE of most Mo-base alloys is in the range of 8–10 × 10−6 K−1, depending on the specific alloy’s phase composition. Thus, for the Mo5Si3 phase (T1) with the tetragonal crystal structure, the CTE of the a axis is ~5.7 × 10−6 K−1, while the CTE of the c axis amounts to 14 × 10−6 K−1 [29]. The CTE value of the MoSi2 phase along the a axis is 8 × 10−6 K−1 and along the c axis is 10 × 10−6 K−1 [29]; the CTE of the Mo solid solution phase varies from 5.35 to 6.5 × 10−6 K−1 [30], while for the T2 phase the CTE is 7.5–7.7 × 10−6 K−1 at room temperature [31].
According to the CTE measurements, the CTE of the 45T2 system is in the range of 7.3–7.5 × 10−6 K−1, independent of the pyrolysis conditions. This coincides well with the CTE value of T2 powder given in Table 1. For the 45SiB6 systems, the CTE varies from 5.2 to 6 × 10−6 K−1, which is also comparable to the initial CTE value of SiB6 powder. However, an increase in the CTE of up to 7.5 × 10−6 K−1 was observed with the increase in the temperature from 600 °C to 1200 °C. This may be connected to changes in the microstructure of the samples and the presence of large-scale defects such as cracks or pores; no reference for such thermal behavior of SiB6 was found for this temperature range.
The CTE of the 45Si system is 3–4 ×10−6 K−1, which is slightly lower than that of the Si/B systems 5B + 40Si, 10B + 35Si and 15B + 25Si. An increase in the boron content from 5 vol.% to 15 vol.% led to an increase in the CTE from 3.65 × 10−6 K−1 to 4.57 × 10−6 K−1. Thus, a reduction in the CTE mismatch between the coating and the Mo-base substrate might be carried out by an increase in the B-fraction in this system.
It must be noted that the CTE of the polymer-derived SiCNO ceramic is 3–4 × 10−6 K−1 [2,32,33]. The coefficient of thermal expansion of the filler loaded PHPS is basically a combination of the CTE for pure (pyrolyzed) PHPS and the CTEs of the pure filler particles. In case no other phases are formed and the filler particles are homogenously distributed within the matrix, the CTEs follow the rule of mixture [34,35]. Therefore, the theoretical CTE values were calculated according to the Voigt approximation [34,35]:
where , and are the CTEs for pure (pyrolyzed) PHPS and the filler phases, respectively, and and are the volume fractions of the corresponding filler phases. The theoretical CTE values are given in Table 3.
Table 3.
Theoretical and measured CTE values of the coating systems.
The measured CTE values of the 5B + 40Si, 10B + 35Si, 15B + 25Si and the 45SiB6 systems coincide well with the theoretical calculated ones. Some deviations may indicate reactions of the filler particles with the surrounding matrix. A significant deviation of the measured CTE of the 45T2 system from the calculated value might be caused by the presence of residual phases with higher CTEs in the starting T2 powder [9]. Nevertheless, the use of compatible substrate phases such as T2, T1 and other molybdenum silicides appears to be the most efficient method to reduce the CTE mismatch between the coating system and a potential, e.g., refractory alloy, substrate material.
3.4. Flexural Strength
Due to their high sensitivity to tensile stresses, the strength of the ceramic materials was determined by a bending test. Three-point bending was selected as a test setup. The experiments were carried out with pyloysed samples (1000 °C, 1 h in N2). The strength investigations were conducted at room temperatures in air and at 800 °C in Ar with a purity of 4.8. Since the high-temperature testing machine chamber provides three-point bending equipment only, measurements at room temperature were carried out also in this mode. The results of the bending tests are presented in Figure 5.
Figure 5.
Flexural strength of 45Si and 15B + 25Si samples at room temperature (RT) and 800 °C in air.
The average bending strength of 45Si and 15B + 25Si samples at room temperature are 42.36 MPa and 47.43 MPa, respectively. The slightly higher bending strength for 15B + 25Si, with higher content of fine powders than in 45Si, is initially surprising, but the difference lies in the range of the standard deviation. At 800 °C, an increase in the bending strength of the coating systems is observed: 77.99 MPa for 45Si and 61.2 MPa for 15B + 25Si. This may be connected to the formation of SiO2 or B2O3-SiO2 glassy scales on the surface, which cannot be completely avoided by performing the bending tests in a technically pure Ar atmosphere. The strengthening of the 45Si took place due to a steady Si oxidation under the condition of residual O2 penetration from the high-temperature measuring chamber and growing of the amorphous SiO2 layer. A gradually increased oxidation curve was observed for these samples during the cyclic oxidation test in air at 800 °C [5]. Evidently, this may explain some higher values of the flexural strength of 45Si and 15B + 25Si samples at room temperature (RT) and 800 °C in air. However, more detailed investigations of the influence of the glassy scale on the mechanical behavior of the coating systems are the subject of ongoing studies.
4. Conclusions
In this study, new preceramic polymer based coating systems with different amounts of Si, B, SiB6 and T2 fillers for the oxidation protection of refractory alloys were investigated. Since the viscosity is one of the key parameters during dip-coating processing, the relationships between the withdrawal speed of dip coating and the share rate values of the plate–plate measuring system were determined. By varying the withdrawal speed, the thickness of the coating can be adjusted.
Subsequently, further essential parameters for coatings were investigated on bulk samples of coating systems. The samples had a very low porosity regardless of the filler composition and pyrolysis conditions: the total porosity was from 1.3% to 3.3% and should not significantly affect the oxidation resistance. The coating densities correlated with the density of the starting filler powders. The use of MoSi3, T1 or T2 phases as powder fillers can be efficient in reducing the CTE mismatch between the coating and Mo-Si-B, Mo-Hf-B or Mo-Zr-B substrates. An increase in the boron content in the Si/B-filled systems enhances the CTE of the coatings and, in turn, may decrease the mismatch between the layer and a matrix.
In addition, three point bending tests were carried out at room temperature in air and at 800 °C in Ar with selected samples. The flexural strength seems to increase at 800 °C as compared to room temperature, which was attributed to the formation of SiO2 or B2O3-SiO2 glassy coating layers. However, more effort is necessary to further investigate the strengthening effect of the glassy scales on coating systems.
The results in this study point out that viscosity during coating processing, porosity and coefficient of thermal expansion, as essential parameters and properties, can be tailored; the optimized coating systems based on preceramic polymers may be provided as oxidation barrier coatings to refractory alloys.
Author Contributions
Conceptualization, M.K. and M.S. (Michael Scheffler); methodology, M.S. (Michael Scheffler), M.K. and I.S.; software, M.S. (Michael Schwidder), I.S.; validation, I.S., C.G. and M.S. (Michael Schwidder); formal analysis, I.S.; investigation, I.S.; resources, I.S.; data curation, I.S.; writing—original draft preparation, I.S.; writing—review and editing, I.S.; C.G., M.K., M.S. (Michael Schwidder) and M.S. (Michael Scheffler); visualization, I.S.; supervision, M.K. and M.S. (Michael Scheffler); project administration, M.K. and M.S. (Michael Scheffler); funding acquisition, M.K. and M.S. (Michael Scheffler). All authors have read and agreed to the published version of the manuscript.
Funding
This research was funded by Deutsche Forschungsgemeinschaft DFG (317275772).
Conflicts of Interest
The authors declare no conflict of interest.
References
- Barroso, G.; Li, Q.; Bordia, R.K.; Motz, G. Polymeric and ceramic silicon-based coatings—A review. J. Mater. Chem. A 2019, 7, 1936–1963. [Google Scholar] [CrossRef]
- Barroso, G.S.; Krenkel, W.; Motz, G. Low thermal conductivity coating system for application up to 1000 °C by simple PDC processing with active and passive fillers. J. Eur. Ceram. Soc. 2015, 35, 3339–3348. [Google Scholar] [CrossRef]
- Eduok, U.; Faye, O.; Szpunar, J. Recent developments and applications of protective silicone coatings: A review of PDMS functional materials. Prog. Org. Coat. 2017, 111, 124–163. [Google Scholar] [CrossRef]
- Smokovych, I.; Bolbut, V.; Krüger, M.; Scheffler, M. Tailored Oxidation Barrier Coatings for Mo-Hf-B and Mo-Zr-B Alloys. Materials 2019, 12, 2215. [Google Scholar] [CrossRef] [PubMed]
- Smokovych, I.; Krüger, M.; Scheffler, M. Polymer derived ceramic materials from Si, B and MoSiB filler-loaded perhydropolysilazane precursor for oxidation protection. J. Eur. Ceram. Soc. 2019, 39, 3634–3642. [Google Scholar] [CrossRef]
- Smokovych, I.; Hasemann, G.; Krüger, M.; Scheffler, M. Polymer derived oxidation barrier coatings for Mo-Si-B alloys. J. Eur. Ceram. Soc. 2017, 37, 4559–4565. [Google Scholar] [CrossRef]
- Parthasarathy, T.; Mendiratta, M.; Dimiduk, D. Oxidation mechanisms in Mo-reinforced Mo5SiB2(T2)–Mo3Si alloys. Acta Mater. 2002, 50, 1857–1868. [Google Scholar] [CrossRef]
- Perepezko, J.H.; Rioult, F.; Sakidja, R. Oxidation performance of high temperature Mo-Si-B alloys and coatings. Mater. Sci. Forum 2008, 1065–1074. [Google Scholar] [CrossRef]
- Krüger, M.; Schmelzer, J.; Smokovych, I.; Barrilao, J.L.; Hasemann, G. Processing of Mo silicide powders as filler particles in polymer-derived ceramic coatings for Mo-Si-B substrates. Powder Technol. 2019, 352, 381–385. [Google Scholar] [CrossRef]
- Smokovych, I.; Scheffler, M. Polysilazane-Type Coatings on Mo-Si-B Alloys: A Thermodynamic Assessment of the Phase Composition. Adv. Eng. Mater. 2018, 20, 1700936. [Google Scholar] [CrossRef]
- Smokovych, I.; Scheffler, M. Particle-filled polymer derived ceramic coatings on titanium alloy Ti-6Al-4V. Adv. Mater. Lett. 2018, 9, 66–70. [Google Scholar] [CrossRef]
- Smokovych, I.; Scheffler, M.; Li, S.; Yao, B. New-Type Oxidation Barrier Coatings for Titanium Alloys. Adv. Eng. Mater. 2020. [Google Scholar] [CrossRef]
- Hull, R. Properties of Crystalline Silicon; EMIS data reviews series, No. 20; INSPEC; The Institution of Electrical Engineers Press: London, UK, 1999. [Google Scholar]
- Middelmann, T.; Walkov, A.; Bartl, G.; Schödel, R. Thermal expansion coefficient of single-crystal silicon from 7 K to 293 K. Phys. Rev. B 2015, 92, 13. [Google Scholar] [CrossRef]
- Weintraub, E. Boron: Its Properties and Preparation. J. Ind. Eng. Chem. 1913, 5, 106–115. [Google Scholar] [CrossRef][Green Version]
- Vlasse, M.; Slack, G.; Garbauskas, M.; Kasper, J.; Viala, J. The crystal structure of SiB6. J. Solid State Chem. 1986, 63, 31–45. [Google Scholar] [CrossRef]
- Landolt-Börnstein. New series. Group 3, Crystal and solid state physics. In Crystal; Hellwege, K.H., Ed.; Springer: Berlin/Heidelberg, Germany, 1984; Volume 17. [Google Scholar]
- Landolt-Börnstein. New series. Group 3, Numerical data and functional relationships in science and technology. In Crystal; Madelung, O., Ed.; Springer: Berlin/Heidelberg, Germany, 1988; Volume 22. [Google Scholar]
- Tang, Z.; Thom, A.J.; Kramer, M.; Akinc, M. Characterization and oxidation behavior of silicide coating on multiphase Mo–Si–B alloy. Intermetallics 2008, 16, 1125–1133. [Google Scholar] [CrossRef]
- Brinker, C.J. Chemical Solution Deposition of Functional Oxide Thin Films; Schneller, T., Waser, R., Kosec, M., Payne, D., Eds.; Springer: Berlin/Heidelberg, Germany, 2013; Volume 18. [Google Scholar]
- Malcherek, A. Zur Beschreibung der rheologischen Eigenschaften von Flüssigschlicken. Die Küste 2010, 77, 135–178. [Google Scholar]
- Brinker, C.J.; Scherer, G.W. The Physics and Chemistry of Sol-Gel Processing. In Sol.-Gel Science; Elsevier Science: Saint Louis, MO, USA, 2014. [Google Scholar]
- Rapp, B.E. Microfluidics: Modelling, Mechanics and Mathematics; Elsevier: Amsterdam, The Netherlands, 2017. [Google Scholar]
- Ogawa, A.; Yamada, H.; Matsuda, S.; Okajima, K.; Doi, M. Viscosity equation for concentrated suspensions of charged colloidal particles. J. Rheol. 1997, 41, 769–785. [Google Scholar] [CrossRef]
- Fedorova, A. Polymerabgeleitete Keramiken mit Niedriger und Negativer Wärmeausdehnung (German Edition); Otto-von-Guericke University Magdeburg Press: Magdeburg, Germany, 2016. [Google Scholar]
- Smokovych, I.; Eley, H.; Bosiaha, M.; Scheffler, M. Ceramic oxidation protection coatings for refractory alloys from filler-loaded preceramic polymers: The role of particle size and volume fraction of particulate fillers. IOP Conf. Ser. Mater. Sci. Eng. 2020, 882. [Google Scholar] [CrossRef]
- Kalweit, A.; Paul, C.; Peters, S.; Wallbaum, R. Handbuch für Technisches Produktdesign, 2nd ed.; Springer-Verlag GmbH: Heidelberg, Germany, 2012. [Google Scholar]
- Goncalves, P.D.C. Dry Sliding Behavior of Filled PDC Coatings Applied onto Surface Modified Sintered Steel; Universidade Federal de Santa Catarina Press: Florianópolis, Brazil, 2016. [Google Scholar]
- Perepezko, J.; Sossaman, T.A.; Taylor, M. Environmentally resistant Mo-Si-B-based coatings. J. Therm. Spray Technol. 2017, 26, 929–940. [Google Scholar] [CrossRef]
- Shabalin, I.L. Ultra-High. Temperature Materials; Springer: Berlin/Heidelberg, Germany, 2014. [Google Scholar]
- Lemberg, J.A.; Ritchie, R.O. Mo-Si-B Alloys for Ultrahigh-Temperature Structural Applications. Adv. Mater. 2012, 24, 3445–3480. [Google Scholar] [CrossRef] [PubMed]
- Colombo, P.; Mera, G.; Riedel, R.; Sorarù, G.D. Polymer-derived ceramics: 40 years of research and innovation in advanced ceramics. J. Am. Ceram. Soc. 2010, 93, 1805–1837. [Google Scholar] [CrossRef]
- Günthner, M.; Schütz, A.; Glatzel, U.; Wang, K.; Bordia, R.K.; Greißl, O.; Krenkel, W.; Motz, G. High performance environmental barrier coatings, Part I: Passive filler loaded SiCN system for steel. J. Eur. Ceram. Soc. 2011, 31, 3003–3010. [Google Scholar] [CrossRef]
- Bruck, H.A.; Rabin, B.H. Evaluation of Rule-of-Mixtures Predictions of Thermal Expansion in Powder-Processed Ni-Al2O3 Composites. J. Am. Ceram. Soc. 2004, 82, 2927–2930. [Google Scholar] [CrossRef]
- Voigt, W. Mit Ausschluß der Kristalloptik. In Lehrbuch der Kristallphysik, 1st ed.; Springer Vieweg Verlag: Berlin, Germany, 1996. [Google Scholar]
Publisher’s Note: MDPI stays neutral with regard to jurisdictional claims in published maps and institutional affiliations. |
© 2020 by the authors. Licensee MDPI, Basel, Switzerland. This article is an open access article distributed under the terms and conditions of the Creative Commons Attribution (CC BY) license (http://creativecommons.org/licenses/by/4.0/).




