Microstructural and Tensile Properties Anisotropy of Selective Laser Melting Manufactured IN 625
Abstract
1. Introduction
2. Materials and Methods
3. Results
3.1. Microstructural Analysis
3.2. Density Measurements
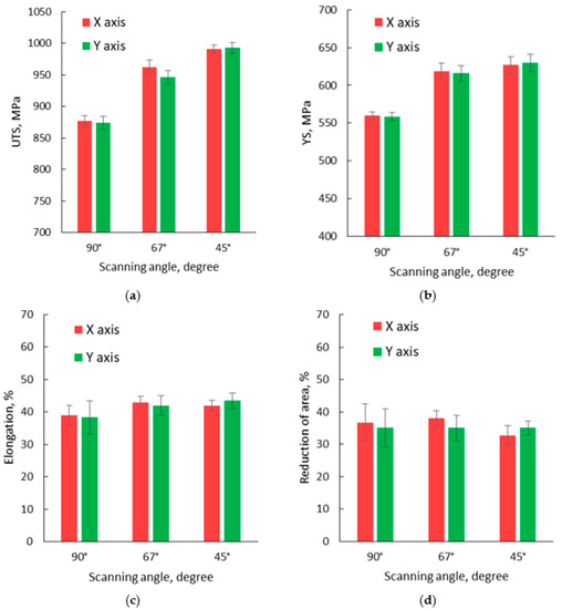
3.3. Tensile Testing
4. Discussion
5. Conclusions
Author Contributions
Funding
Acknowledgments
Conflicts of Interest
Appendix A
| Build Orientation | Scanning Strategy | No. of Specimens | Ultimate Tensile Strength, MPa | 0.2% Yield Strength, MPa | Elongation at Rupture, % | Reduction of Area, % | ||||
|---|---|---|---|---|---|---|---|---|---|---|
| Average | STDEV | Average | STDEV | Average | STDEV | Average | STDEV | |||
| X–Axis | 45° | 14 | 991 | 6 | 627 | 11 | 42 | 2 | 33 | 3 |
| 67° | 14 | 962 | 11 | 619 | 11 | 43 | 2 | 38 | 2 | |
| 90° | 14 | 877 | 8 | 560 | 5 | 39 | 3 | 37 | 6 | |
| Y–Axis | 45° | 14 | 993 | 9 | 630 | 9 | 43 | 2 | 35 | 2 |
| 67° | 14 | 946 | 11 | 616 | 11 | 42 | 3 | 35 | 4 | |
| 90° | 14 | 874 | 10 | 559 | 5 | 38 | 5 | 35 | 6 | |
| Z–Axis | 45° | 14 | 824 | 5 | 551 | 6 | 53 | 1 | 52 | 2 |
| 67° | 14 | 825 | 3 | 546 | 10 | 53 | 1 | 51 | 2 | |
| 90° | 14 | 814 | 4 | 518 | 5 | 50 | 1 | 55 | 1 | |
| Tilt at 45° in the XZ Plane | 45° | 14 | 990 | 9 | 643 | 5 | 46 | 2 | 36 | 2 |
| 67° | 14 | 910 | 7 | 583 | 5 | 48 | 2 | 36 | 2 | |
| 90° | 14 | 870 | 7 | 551 | 6 | 48 | 1 | 38 | 2 | |
References
- Bourell, D.; Kruth, J.P.; Leu, M.; Levy, G.; Rosen, D.; Beese, A.M.; Clare, A. Materials for additive manufacturing. CIRP Ann. 2017, 66, 659–681. [Google Scholar] [CrossRef]
- Neikov, O.D. Powders for Additive Manufacturing Processing. In Handbook of Non-Ferrous Metal Powders; Elsevier BV: Amsterdam, The Netherlands, 2019; pp. 373–399. [Google Scholar]
- Brandt, M. The role of lasers in additive manufacturing. In Laser Additive Manufacturing; Woodhead Publishing: Sawston, UK, 2017; pp. 1–18. [Google Scholar]
- Debroy, T.; Wei, H.; Zuback, J.; Mukherjee, T.; Elmer, J.; Milewski, J.; Beese, A.; Wilson-Heid, A.; De, A.; Zhang, W. Additive manufacturing of metallic components—Process, structure and properties. Prog. Mater. Sci. 2018, 92, 112–224. [Google Scholar] [CrossRef]
- Frazier, W.E. Metal Additive Manufacturing: A Review. J. Mater. Eng. Perform. 2014, 23, 1917–1928. [Google Scholar] [CrossRef]
- Herzog, D.; Seyda, V.; Wycisk, E.; Emmelmann, C. Additive manufacturing of metals. Acta Mater. 2016, 117, 371–392. [Google Scholar] [CrossRef]
- Kok, Y.; Tan, X.; Wang, P.; Nai, M.; Loh, N.; Liu, E.; Tor, S. Anisotropy and heterogeneity of microstructure and mechanical properties in metal additive manufacturing: A critical review. Mater. Des. 2018, 139, 565–586. [Google Scholar] [CrossRef]
- Marchese, G.; Lorusso, M.; Parizia, S.; Bassini, E.; Lee, J.-W.; Calignano, F.; Manfredi, D.; Terner, M.; Hong, H.-U.; Ugues, D.; et al. Influence of heat treatments on microstructure evolution and mechanical properties of Inconel 625 processed by laser powder bed fusion. Mater. Sci. Eng. A 2018, 729, 64–75. [Google Scholar] [CrossRef]
- Li, C.; Guo, Y.; Zhao, J. Interfacial phenomena and characteristics between the deposited material and substrate in selective laser melting Inconel 625. J. Mater. Process. Technol. 2017, 243, 269–281. [Google Scholar] [CrossRef]
- Li, S.; Wei, Q.; Shi, Y.; Zhu, Z.; Zhang, D. Microstructure Characteristics of Inconel 625 Superalloy Manufactured by Selective Laser Melting. J. Mater. Sci. Technol. 2015, 31, 946–952. [Google Scholar] [CrossRef]
- Li, C.; White, R.; Fang, X.; Weaver, M.; Guo, Y. Microstructure evolution characteristics of Inconel 625 alloy from selective laser melting to heat treatment. Mater. Sci. Eng. A 2017, 705, 20–31. [Google Scholar] [CrossRef]
- Amato, K.; Hernandez, J.; Murr, L.E.; Martinez, E.; Gaytan, S.M.; Shindo, P.W.; Collins, S. Comparison of Microstructures and Properties for a Ni-Base Superalloy (Alloy 625) Fabricated by Electron Beam Melting. J. Mater. Sci. Res. 2012, 1, p3. [Google Scholar] [CrossRef]
- Hu, Y.; Lin, X.; Zhang, S.; Jiang, Y.; Lu, X.; Yang, H.; Huang, W. Effect of solution heat treatment on the microstructure and mechanical properties of Inconel 625 superalloy fabricated by laser solid forming. J. Alloys Compd. 2018, 767, 330–344. [Google Scholar] [CrossRef]
- Hu, Y.L.; Lin, X.; Lu, X.F.; Zhang, S.Y.; Yang, H.O.; Wei, L.; Huang, W. Evolution of solidification microstructure and dynamic recrystallisation of Inconel 625 during laser solid forming process. J. Mater. Sci. 2018, 53, 15650–15666. [Google Scholar] [CrossRef]
- Sun, S.-H.; Koizumi, Y.; Saito, T.; Yamanaka, K.; Li, Y.-P.; Cui, Y.; Chiba, A. Electron beam additive manufacturing of Inconel 718 alloy rods: Impact of build direction on microstructure and high-temperature tensile properties. Addit. Manuf. 2018, 23, 457–470. [Google Scholar] [CrossRef]
- Choi, J.-P.; Shin, G.-H.; Yang, S.; Yang, D.-Y.; Lee, J.S.; Brochu, M.; Yu, J.-H. Densification and microstructural investigation of Inconel 718 parts fabricated by selective laser melting. Powder Technol. 2017, 310, 60–66. [Google Scholar] [CrossRef]
- Polonsky, A.T.; Echlin, M.P.; Lenthe, W.C.; Dehoff, R.R.; Kirka, M.M.; Pollock, T.M. Defects and 3D structural inhomogeneity in electron beam additively manufactured Inconel 718. Mater. Charact. 2018, 143, 171–181. [Google Scholar] [CrossRef]
- Knapp, G.; Raghavan, N.; Plotkowski, A.; Debroy, T. Experiments and simulations on solidification microstructure for Inconel 718 in powder bed fusion electron beam additive manufacturing. Addit. Manuf. 2019, 25, 511–521. [Google Scholar] [CrossRef]
- Zhu, Y.-Y.; Tang, H.-B.; Li, Z.; Xu, C.; He, B. Solidification behavior and grain morphology of laser additive manufacturing titanium alloys. J. Alloys Compd. 2019, 777, 712–716. [Google Scholar] [CrossRef]
- Wang, T.; Zhu, Y.; Zhang, S.; Tang, H.; Wang, H.M. Grain morphology evolution behavior of titanium alloy components during laser melting deposition additive manufacturing. J. Alloys Compd. 2015, 632, 505–513. [Google Scholar] [CrossRef]
- Uhlmann, E.; Kersting, R.; Klein, T.B.; Cruz, M.F.; Borille, A.V. Additive Manufacturing of Titanium Alloy for Aircraft Components. Procedia CIRP 2015, 35, 55–60. [Google Scholar] [CrossRef]
- Antonysamy, A.A. Microstructure, Texture and Mechanical Property Evolution during Additive Manufacturing of Ti6Al4V Alloy for Aerospace Applications. Ph.D. Thesis, University of Manchester, Manchester, UK, 2012. [Google Scholar]
- Zhu, Y.; Tian, X.; Li, J.; Wang, H. The anisotropy of laser melting deposition additive manufacturing Ti–6.5Al–3.5Mo–1.5Zr–0.3Si titanium alloy. Mater. Des. 2015, 67, 538–542. [Google Scholar] [CrossRef]
- Zhou, X.; Li, K.; Zhang, D.; Liu, X.; Ma, J.; Liu, W.; Shen, Z. Textures formed in a CoCrMo alloy by selective laser melting. J. Alloys Compd. 2015, 631, 153–164. [Google Scholar] [CrossRef]
- Wang, Z.; Palmer, T.A.; Beese, A.M. Effect of processing parameters on microstructure and tensile properties of austenitic stainless steel 304L made by directed energy deposition additive manufacturing. Acta Mater. 2016, 110, 226–235. [Google Scholar] [CrossRef]
- Gonzalez, J.; Mireles, J.; Stafford, S.; Perez, M.; Terrazas, C.; Wicker, R. Characterization of Inconel 625 fabricated using powder-bed-based additive manufacturing technologies. J. Mater. Process. Technol. 2019, 264, 200–210. [Google Scholar] [CrossRef]
- Ferreri, N.C.; Ghorbanpour, S.; Bhowmik, S.; Lussier, R.; Bicknell, J.; Patterson, B.M.; Knezevic, M. Effects of build orientation and heat treatment on the evolution of microstructure and mechanical properties of alloy Mar-M-509 fabricated via laser powder bed fusion. Int. J. Plast. 2019, 121, 116–133. [Google Scholar] [CrossRef]
- Simonelli, M.; Tse, Y.Y.; Tuck, C. Effect of the build orientation on the mechanical properties and fracture modes of SLM Ti–6Al–4V. Mater. Sci. Eng. A 2014, 616, 1–11. [Google Scholar] [CrossRef]
- Mooney, B.; Kourousis, K.I.; Raghavendra, R.; Agius, D. Process phenomena influencing the tensile and anisotropic characteristics of additively manufactured maraging steel. Mater. Sci. Eng. A 2019, 745, 115–125. [Google Scholar] [CrossRef]
- Hovig, E.W.; Azar, A.S.; Grytten, F.; Sørby, K.; Andreassen, E. Determination of Anisotropic Mechanical Properties for Materials Processed by Laser Powder Bed Fusion. Adv. Mater. Sci. Eng. 2018, 2018, 1–20. [Google Scholar] [CrossRef]
- Kuo, Y.-L.; Horikawa, S.; Kakehi, K. The effect of interdendritic δ phase on the mechanical properties of Alloy 718 built up by additive manufacturing. Mater. Des. 2017, 116, 411–418. [Google Scholar] [CrossRef]
- Du, D.; Dong, A.; Shu, D.; Zhu, G.; Sun, B.; Li, X.; Lavernia, E. Influence of build orientation on microstructure, mechanical and corrosion behavior of Inconel 718 processed by selective laser melting. Mater. Sci. Eng. A 2019, 760, 469–480. [Google Scholar] [CrossRef]
- Ni, M.; Chen, C.; Wang, X.; Wang, P.; Li, R.; Zhang, X.; Zhou, K. Anisotropic tensile behavior of in situ precipitation strengthened Inconel 718 fabricated by additive manufacturing. Mater. Sci. Eng. A 2017, 701, 344–351. [Google Scholar] [CrossRef]
- Pei, C.; Shi, D.; Yuan, H.; Li, H. Assessment of mechanical properties and fatigue performance of a selective laser melted nickel-base superalloy Inconel 718. Mater. Sci. Eng. A 2019, 759, 278–287. [Google Scholar] [CrossRef]
- Wan, H.; Zhou, Z.; Li, C.; Chen, G.; Zhang, G. Effect of scanning strategy on grain structure and crystallographic texture of Inconel 718 processed by selective laser melting. J. Mater. Sci. Technol. 2018, 34, 1799–1804. [Google Scholar] [CrossRef]
- Jiao, Z.; Lei, L.; Yu, H.; Xu, F.; Xu, R.; Wu, X. Experimental evaluation on elevated temperature fatigue and tensile properties of one selective laser melted nickel based superalloy. Int. J. Fatigue 2019, 121, 172–180. [Google Scholar] [CrossRef]
- Stefanescu, D.M. Numerical micro-modeling of solidification. In Science and Engineering of Casting Solidification, 2nd ed.; Springer Science + Business Media. LLC: New York, NY, USA, 2009; pp. 317–360. [Google Scholar]
- Rodgers, T.M.; Madison, J.D.; Tikare, V. Simulation of metal additive manufacturing microstructures using kinetic Monte Carlo. Comput. Mater. Sci. 2017, 135, 78–89. [Google Scholar] [CrossRef]
- Zhang, J.; Yan, L.; Li, W.; Liou, F. A Two-Dimensional Simulation of Grain Structure Growth within Substrate and Fusion Zone during Direct Metal Deposition. In Additive Manufacturing of High-Performance Metals and Alloys—Modeling and Optimization; IntechOpen Limited: London, UK, 2018; pp. 11–32. [Google Scholar]
- Tan, J.H.K.; Sing, S.L.; Yeong, W.Y. Microstructure modelling for metallic additive manufacturing: A review. Virtual Phys. Prototyp. 2019, 15, 87–105. [Google Scholar] [CrossRef]
- Rai, A.; Helmer, H.; Körner, C. Simulation of grain structure evolution during powder bed based additive manufacturing. Addit. Manuf. 2017, 13, 124–134. [Google Scholar] [CrossRef]
- Condruz, M.R.; Matache, G.; Paraschiv, A. Characterization of IN 625 recycled metal powder used for selective laser melting. Manuf. Rev. 2020, 7, 5. [Google Scholar] [CrossRef]
- Chandler, H. Heat Treater’s Guide: Practices for and Procedures Nonferrous Alloys; ASTM International: Material’s Park, OH, USA, 1996; pp. 88–97. [Google Scholar]
- Alcisto, J.; Enriquez, A.; Garcia, H.; Hinkson, S.; Steelman, T.; Silverman, E.; Valdovino, P.; Gigerenzer, H.; Foyos, J.; Ogren, J.; et al. Tensile Properties and Microstructures of Laser-Formed Ti-6Al-4V. J. Mater. Eng. Perform. 2010, 20, 203–212. [Google Scholar] [CrossRef]
- Impermeable Sintered Metal Materials and Hardmetals—Determination of Density; ISO 3369; International Organization for Standardization: Geneva, Switzerland, 2006.
- Qin, L.; Chen, C.; Zhang, M.; Yan, K.; Cheng, G.; Jing, H.; Wang, X. The microstructure and mechanical properties of deposited-IN625 by laser additive manufacturing. Rapid Prototyp. J. 2017, 23, 1119–1129. [Google Scholar] [CrossRef]
- Murr, L. Metallurgy of additive manufacturing: Examples from electron beam melting. Addit. Manuf. 2015, 5, 40–53. [Google Scholar] [CrossRef]
- Agarwal, G. Study of Solidification Cracking during Laser Welding in Advanced High Strength Steels. A Combined Experimental and Numerical Approach. Master’s Thesis, Delft University of Technology, Delft, The Netherlands, 2019. [Google Scholar] [CrossRef]
- Letenneur, M.; Kreitcberg, A.; Brailovski, V. The Average Grain Size and Grain Aspect Ratio in Metal Laser Powder Bed Fusion: Modeling and Experiment. J. Manuf. Mater. Process. 2020, 4, 25. [Google Scholar] [CrossRef]
- Gan, Z.; Lian, Y.; Lin, S.E.; Jones, K.K.; Liu, W.K.; Wagner, G.J. Benchmark Study of Thermal Behavior, Surface Topography, and Dendritic Microstructure in Selective Laser Melting of Inconel 625. Integr. Mater. Manuf. Innov. 2019, 8, 178–193. [Google Scholar] [CrossRef]
- Risse, J. Additive Manufacturing of Nickel-Base Superalloy IN738LC by Laser Powder Bed Fusion. Ph.D. Thesis, Fraunhofer Institute for Laser Technology, Aachen, Germany, 2019. [Google Scholar]
- Lian, Y.; Gan, Z.; Yu, C.; Kats, D.; Liu, W.K.; Wagner, G.J. A cellular automaton finite volume method for microstructure evolution during additive manufacturing. Mater. Des. 2019, 169, 107672. [Google Scholar] [CrossRef]
- Raghavan, S.; Nai, M.L.S.; Wang, P.; Sin, W.J.; Li, T.; Wei, J. Heat treatment of electron beam melted (EBM) Ti-6Al-4V: Microstructure to mechanical property correlations. Rapid Prototyp. J. 2018, 24, 774–783. [Google Scholar] [CrossRef]
- Vilaro, T.; Colin, C.; Bartout, J.-D. As-Fabricated and Heat-Treated Microstructures of the Ti-6Al-4V Alloy Processed by Selective Laser Melting. Met. Mater. Trans. A 2011, 42, 3190–3199. [Google Scholar] [CrossRef]
- Poulin, J.-R.; Kreitcberg, A.; Terriault, P.; Brailovski, V. Long fatigue crack propagation behavior of laser powder bed-fused inconel 625 with intentionally-seeded porosity. Int. J. Fatigue 2019, 127, 144–156. [Google Scholar] [CrossRef]
- Jin, Y. Annealing Twin Formation Mechanism. Ph.D. Thesis, Ecole Nationale Superieure des Mines de Paris, Paris, France, 2014. [Google Scholar]
- Tehovnik, F.; Burja, J.; Podgornik, B. Microstructural evolution of Inconel 625 during hot rolling. Mater. Tech. 2015, 49, 801–806. [Google Scholar] [CrossRef]
- Carpenter, H.C.H.; Tamura, S. The formation of twinned metallic crystals. Proc. R. Soc. Lond. Ser. Math. Phys. Sci. 1926, 113, 161–182. [Google Scholar] [CrossRef]
- Meyers, M.A.; Murr, L.E. A model for the formation of annealing twins in F.C.C. metals and alloys. Acta Met. 1978, 26, 951–962. [Google Scholar] [CrossRef]
- Burgers, W.; Meijs, J.; Tiedema, T. Frequency of annealing twins in copper crystals grown by recrystallization. Acta Met. 1953, 1, 75–78. [Google Scholar] [CrossRef]
- Dash, S.; Brown, N. An investigation of the origin and growth of annealing twins. Acta Met. 1963, 11, 1067–1075. [Google Scholar] [CrossRef]
- Bozzolo, N.; Bernacki, M. Viewpoint on the Formation and Evolution of Annealing Twins during Thermomechanical Processing of FCC Metals and Alloys. Met. Mater. Trans. A 2020, 51, 2665–2684. [Google Scholar] [CrossRef]
- Jin, Y.; Bernacki, M.; Agnoli, A.; Lin, B.; Rohrer, G.S.; Rollett, A.D.; Bozzolo, N. Evolution of the Annealing Twin Density during δ-Supersolvus Grain Growth in the Nickel-Based Superalloy Inconel™ 718. Metals 2016, 6, 5. [Google Scholar] [CrossRef]
- Nguejio, J.; Szmytka, F.; Hallais, S.; Tanguy, A.; Nardone, S.; Martinez, M.G. Comparison of microstructure features and mechanical properties for additive manufactured and wrought nickel alloys 625. Mater. Sci. Eng. A 2019, 764, 138214. [Google Scholar] [CrossRef]
- Cao, Y.; Bai, P.; Liu, F.; Hou, X.; Guo, Y. Effect of the Solution Temperature on the Precipitates and Grain Evolution of IN718 Fabricated by Laser Additive Manufacturing. Materials 2020, 13, 340. [Google Scholar] [CrossRef]
- Gao, Y.; Zhou, M. Superior Mechanical Behavior and Fretting Wear Resistance of 3D-Printed Inconel 625 Superalloy. Appl. Sci. 2018, 8, 2439. [Google Scholar] [CrossRef]
- Terris, T.; Adamski, F.; Peyre, P.; Dupuy, C. Influence of SLM process parameters on Inconel 625 superalloy samples. In Proceedings of the Lasers in Manufacturing, Munich, Germany, 26–29 June 2017; Available online: https://www.wlt.de/lim/Proceedings2017/Data/PDF/Contribution110_final.pdf (accessed on 26 October 2020).
- Anam, A. Microstructure and mechanical properties of selective laser melted superalloy inconel 625. Speed Sch. Eng. 2019. [Google Scholar] [CrossRef][Green Version]
- Standard Specification for Nickel-Chromium-Molybdenum-Columbium Alloy and Nickel-Chromium-Molybdenum-Silicon Alloy Plate, Sheet, and Strip; ASTM B 443; ASTM International: West Conshohocken, PA, USA, 2019.
- Standard Specification for Additive Manufacturing Nickel Alloy (UNS N16625) with Powder Bed Fusion; ASTM F3056; ASTM International: West Conshohocken, PA, USA, 2019.
- Witkin, D.; Albright, T.V.; Patel, D.N. Empirical Approach to Understanding the Fatigue Behavior of Metals Made Using Additive Manufacturing. Met. Mater. Trans. A 2016, 47, 3823–3836. [Google Scholar] [CrossRef]
- Foster, B.K.; Beese, A.M.; Keist, J.; McHale, E.T.; Palmer, T.A. Impact of Interlayer Dwell Time on Microstructure and Mechanical Properties of Nickel and Titanium Alloys. Met. Mater. Trans. A 2017, 48, 4411–4422. [Google Scholar] [CrossRef]
- Yadroitsev, I.; Thivillon, L.; Bertrand, P.; Smurov, I. Strategy of manufacturing components with designed internal structure by selective laser melting of metallic powder. Appl. Surf. Sci. 2007, 254, 980–983. [Google Scholar] [CrossRef]


















| Chemical Elements | Al | C | Co | Cr | Fe | Mn | Mo | Nb | Si | Ti | Ni |
|---|---|---|---|---|---|---|---|---|---|---|---|
| Specification [%wt.] | <0.4 | <0.1 | <1.0 | 20–23 | 3–5 | <0.5 | 8–10 | 3.15–4.15 | <0.5 | <0.4 | Bal. |
| Test certificate [%wt.] | 0.06 | 0.02 | 0.1 | 20.7 | 4.1 | 0.01 | 8.9 | 3.77 | 0.01 | 0.07 | 62.26 |
| Scanning Strategy | 90° | 67° | 45° | |||
|---|---|---|---|---|---|---|
| Building Orientation | X-Axis | Tilt at 45°XZ | X-Axis | Tilt at 45°XZ | X-Axis | Tilt at 45°XZ |
| UTS | 7.2 | 6.5 | 14.3 | 9.4 | 16.8 | 16.8 |
| YS | 7.5 | 6.2 | 11.8 | 6.3 | 12.0 | 14.2 |
| Elongation | −28.2 | −2.0 | −22.8 | −10.5 | −27.2 | −15.8 |
| Reduction of area | −49.6 | −46.4 | −34.2 | −41.1 | −59.9 | −44.0 |
Publisher’s Note: MDPI stays neutral with regard to jurisdictional claims in published maps and institutional affiliations. |
© 2020 by the authors. Licensee MDPI, Basel, Switzerland. This article is an open access article distributed under the terms and conditions of the Creative Commons Attribution (CC BY) license (http://creativecommons.org/licenses/by/4.0/).
Share and Cite
Condruz, M.R.; Matache, G.; Paraschiv, A.; Frigioescu, T.F.; Badea, T. Microstructural and Tensile Properties Anisotropy of Selective Laser Melting Manufactured IN 625. Materials 2020, 13, 4829. https://doi.org/10.3390/ma13214829
Condruz MR, Matache G, Paraschiv A, Frigioescu TF, Badea T. Microstructural and Tensile Properties Anisotropy of Selective Laser Melting Manufactured IN 625. Materials. 2020; 13(21):4829. https://doi.org/10.3390/ma13214829
Chicago/Turabian StyleCondruz, Mihaela Raluca, Gheorghe Matache, Alexandru Paraschiv, Tiberius Florian Frigioescu, and Teodor Badea. 2020. "Microstructural and Tensile Properties Anisotropy of Selective Laser Melting Manufactured IN 625" Materials 13, no. 21: 4829. https://doi.org/10.3390/ma13214829
APA StyleCondruz, M. R., Matache, G., Paraschiv, A., Frigioescu, T. F., & Badea, T. (2020). Microstructural and Tensile Properties Anisotropy of Selective Laser Melting Manufactured IN 625. Materials, 13(21), 4829. https://doi.org/10.3390/ma13214829

