Sign in to use this feature.

Years

Between: -

Subjects

remove_circle_outline
remove_circle_outline
remove_circle_outline
remove_circle_outline
remove_circle_outline
remove_circle_outline
remove_circle_outline
remove_circle_outline
remove_circle_outline

Journals

remove_circle_outline
remove_circle_outline
remove_circle_outline
remove_circle_outline
remove_circle_outline
remove_circle_outline
remove_circle_outline
remove_circle_outline
remove_circle_outline
remove_circle_outline
remove_circle_outline
remove_circle_outline
remove_circle_outline

Article Types

Countries / Regions

remove_circle_outline
remove_circle_outline
remove_circle_outline
remove_circle_outline
remove_circle_outline

Search Results (1,426)

Search Parameters:
Keywords = SLM

Order results
Result details
Results per page
Select all
Export citation of selected articles as:
15 pages, 3839 KB  
Article
Experimental Investigation of Pixelated Instantaneous Phase-Shifting Interferometry Using Liquid Crystal Spatial Light Modulator
by Fuzhong Bai, Zhiwen Zhao, Jiayi Chen, Xiaojuan Gao, Yubo Chang, Jianxin Wang and Jixiang Cai
Photonics 2026, 13(3), 218; https://doi.org/10.3390/photonics13030218 - 25 Feb 2026
Viewed by 18
Abstract
A pixelated instantaneous phase-shifting interferometry (PSI) using a phase-only liquid crystal spatial light modulator (LC-SLM) is developed and experimentally validated. The LC-SLM generates high-frequency spatial phase modulation and introduces pixelated instantaneous phase-shifting between two incident orthogonal linearly polarized beams propagating along the same [...] Read more.
A pixelated instantaneous phase-shifting interferometry (PSI) using a phase-only liquid crystal spatial light modulator (LC-SLM) is developed and experimentally validated. The LC-SLM generates high-frequency spatial phase modulation and introduces pixelated instantaneous phase-shifting between two incident orthogonal linearly polarized beams propagating along the same optical path. A single-frame pixelated phase-shifted interferogram is captured in one exposure, and the wavefront phase is reconstructed subsequently by using the proposed loop retrieval algorithm. In the experimental investigation, an interference region segmentation method based on wavefront-modulated sequential images is firstly developed to realize precise alignment between LC-SLM pixels and CCD pixels. Secondly, based on the PSI setup established, wavefront measurement experiments for system aberration, tilted wavefront and defocused wavefront are performed. Experimental results show that the root-mean-square (RMS) value of the residual wavefront between the retrieved tilted wavefront and its fitting plane is 0.046 λ. Furthermore, the RMS value of the residual wavefront between the defocused wavefront retrieved by the proposed method and the eight-step phase-shifting method is 0.075 λ, which verifies the effectiveness of the proposed approach. This work provides a simple and rapidly deployable solution for single-shot interferometric measurement. Full article
(This article belongs to the Special Issue Next-Generation Liquid Crystal Devices and Applications)
Show Figures

Figure 1

16 pages, 1819 KB  
Article
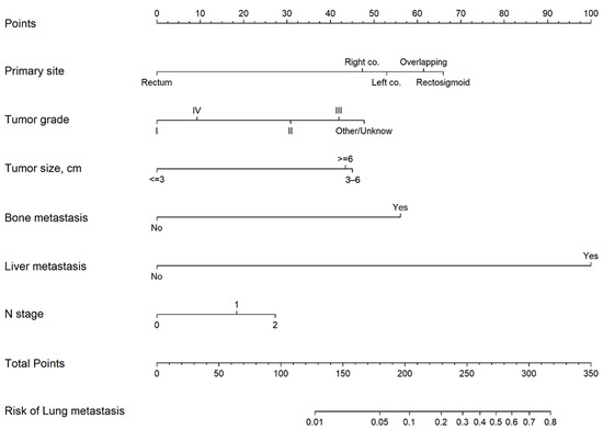
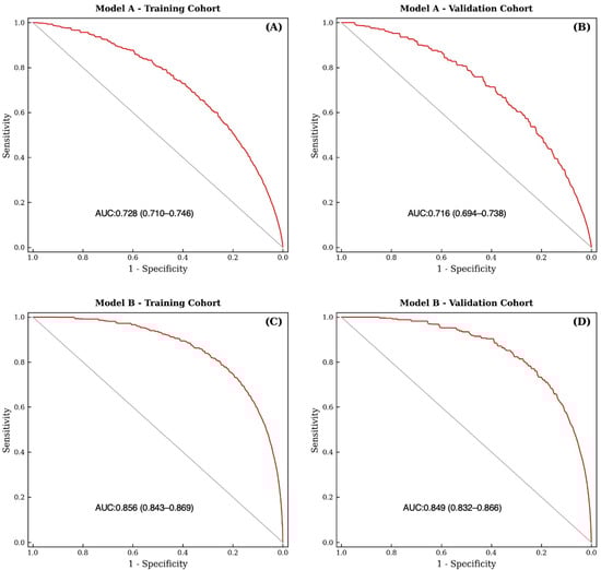
Nomogram Development for Predicting Synchronous Lung Metastasis in Patients with T1 Colorectal Cancer: An SEER-Based Analysis
by Pin-Chun Chen, Yi-Kai Kao, Po-Wen Yang, Chia-Hung Chen and Chih-I Chen
Medicina 2026, 62(3), 431; https://doi.org/10.3390/medicina62030431 - 25 Feb 2026
Viewed by 40
Abstract
Background and Objectives: Colorectal cancer is a significant global health burden, with lung metastasis contributing substantially to mortality. Accurate risk stratification of synchronous lung metastasis (sLM) in patients with T1 colorectal cancer is important for informing staging decisions, yet no validated tool [...] Read more.
Background and Objectives: Colorectal cancer is a significant global health burden, with lung metastasis contributing substantially to mortality. Accurate risk stratification of synchronous lung metastasis (sLM) in patients with T1 colorectal cancer is important for informing staging decisions, yet no validated tool exists to guide selective chest computed tomography (CT) in this population. This study aimed to develop and validate two complementary nomograms: a clinicopathologic model (Model A) for pre-imaging risk stratification to guide chest CT decisions, and a post-staging model (Model B) incorporating concurrent organ metastasis status for comprehensive risk profiling. Materials and Methods: We utilized data from the Surveillance, Epidemiology, and End Results database, including patients diagnosed with T1 colorectal cancer between 2010 and 2020. Logistic regression analyses identified significant predictors of synchronous lung metastasis. A nomogram was constructed based on these predictors and validated using a split-sample approach. Results: The study included 41,728 patients with T1 colorectal cancer. Significant predictors of synchronous lung metastasis included tumor grade, size, location, lymph node involvement, and concurrent metastases in other organs. Two models were developed: Model A (clinicopathologic-only) demonstrated moderate discriminatory ability (AUC = 0.728, 95% CI: 0.710–0.746), while Model B (including concurrent organ metastasis status) demonstrated good discrimination (AUC = 0.856, 95% CI: 0.843–0.869): Model A validation AUC = 0.716; Model B validation AUC = 0.849. Calibration plots showed good agreement between predicted and observed probabilities of synchronous lung metastasis. Conclusions: This study developed and internally validated two nomograms for predicting sLM in patients with T1 CRC. Model A, using readily available clinicopathological factors, may support selective chest CT decisions during initial staging. Model B, incorporating post-staging information, may assist in prognostic counseling. External validation is required before clinical implementation. Full article
(This article belongs to the Section Oncology)
Show Figures

Figure 1

22 pages, 6767 KB  
Article
3D−Printed Gradient TPMS Sandwich Structures: A Study on Bending Performance
by Shuguang Yao, Xinyu Gu, Minhan Xie, Ping Xu, Meng Tang, Jingwen Tan and Guangxiang Hao
Appl. Sci. 2026, 16(4), 2129; https://doi.org/10.3390/app16042129 - 22 Feb 2026
Viewed by 168
Abstract
Triply Periodic Minimal Surface (TPMS) sandwich structures are excellent lightweight load−bearing structures, yet existing 3D printing solutions focus on homogeneous TPMS lattices or their compressive behavior, lacking research on gradient−thickness TPMS core flexural performance. This study designs and fabricates three gradient TPMS core [...] Read more.
Triply Periodic Minimal Surface (TPMS) sandwich structures are excellent lightweight load−bearing structures, yet existing 3D printing solutions focus on homogeneous TPMS lattices or their compressive behavior, lacking research on gradient−thickness TPMS core flexural performance. This study designs and fabricates three gradient TPMS core sandwich structures via SLM 3D printing, systematically investigating their bending performance, failure mechanisms and energy absorption through three−point bending tests and validated finite element models (deviation < 7.9%). We reveal the gradient coefficient’s regulatory effect on different TPMS topologies, propose a z−axis gradient−thickness design to synergistically optimize local stiffness and global lightweight, and establish accurate performance prediction models. Compared with conventional 3D−printed structures, the proposed gradient TPMS structures exhibit superior bending stiffness, peak load and energy absorption, with flexural performance flexibly tunable via gradient coefficients. This work fills key research gaps and provides a novel, efficient design approach for high−performance lightweight structures in aerospace and rail transportation. Full article
Show Figures

Figure 1

34 pages, 1586 KB  
Article
Curriculum-Aware Retrieval-Augmented Generation for Bilingual Tutoring in Low-Resource Swahili–English Secondary Schools
by Innocent E. Rugemalila, Wei Cai, Xiaogang Zhang, Chuanwei Liu and Bang Wang
Technologies 2026, 14(2), 129; https://doi.org/10.3390/technologies14020129 - 18 Feb 2026
Viewed by 310
Abstract
In Tanzanian secondary education, Swahili-language-based question-answering systems currently face systemic disparities and linguistic barriers, which undermine the fairness and justice of the educational system. While Large Language Models (LLMs) offer scalable instructional support, they typically lack curriculum grounding, which causes them to perform [...] Read more.
In Tanzanian secondary education, Swahili-language-based question-answering systems currently face systemic disparities and linguistic barriers, which undermine the fairness and justice of the educational system. While Large Language Models (LLMs) offer scalable instructional support, they typically lack curriculum grounding, which causes them to perform unreliably in low-resource languages. This study introduces a Curriculum-Aware Retrieval-Augmented Generation (RAG) framework designed to be a linguistically inclusive AI tutor. The architecture combines hybrid dense–lexical retrieval, cross-encoder reranking, and metadata-based curriculum alignment to ensure factual, grade-appropriate responses. We evaluate five distinct generative models using a stratified 500-question Golden Dataset covering English, Swahili, and code-switched inputs. Findings indicate that there is a significant trade-off between scale and deployability. Although high-capacity LLMs provide useful reference performance, Qwen2.5-0.5B offers the most realistic trade-off between quality and deployability in low-resource settings. Under the proposed curriculum-aware pipeline, Qwen2.5-0.5B attains the best answer quality (F1: 32.7%), achieves strong grounding faithfulness (83.0%, validated by human evaluation), and maintains low end-to-end latency suitable for interactive classroom use (≤1.24 s). Notably, considering the limited size of the code-switched evaluation subset, our framework demonstrates promising capabilities in handling Swahili–English code-switched inputs, narrowing the observed performance gap between Swahili and English through improved semantic accuracy. These results provide initial empirical evidence that curriculum-aligned RAG can enable Small Language Models (SLMs) to serve as quality, safe, and sustainable educational assistants in low-resource Global South contexts. Full article
(This article belongs to the Section Information and Communication Technologies)
Show Figures

Figure 1

18 pages, 3423 KB  
Article
Responses of Biofilm-Forming Halophilic Calothrix and Coelastrella Strains to Environmental Stressors Associated with Climate Change
by Gabrielle Zammit, Kristina Fenech and Emmanuel Sinagra
Microorganisms 2026, 14(2), 487; https://doi.org/10.3390/microorganisms14020487 - 17 Feb 2026
Viewed by 173
Abstract
Research into the effects of environmental stressors associated with global climate change (GCC) on cyanobacteria and microalgae is scarce, with bloom-forming planktonic cyanobacteria being the exception. This study aimed to address the issue by assessing morphological and biochemical changes in cyanobacterial and microalgal [...] Read more.
Research into the effects of environmental stressors associated with global climate change (GCC) on cyanobacteria and microalgae is scarce, with bloom-forming planktonic cyanobacteria being the exception. This study aimed to address the issue by assessing morphological and biochemical changes in cyanobacterial and microalgal cells exposed to an increased temperature (T), ultraviolet radiation (UVR) and carbon dioxide (CO2) concentration. The strains selected were Calothrix sp. SLM0211 and Coelastrella sp. SLM0503, which were isolated from a coastal environment in the central Mediterranean island of Malta. Elevated UVR had a pronounced effect on Calothrix sp. filaments, which produced screening compounds and resorted to trichome coiling to enhance self-shading. Enhanced growth was observed in cultures of Calothrix sp. grown at an increased CO2 concentration, which produced significantly high amounts of biomass, chlorophylls and carotenoids. An increased T resulted in stunted growth and low biomass accumulation in both strains. Each strain exhibited a unique response to T and UVR stressors, which stimulated the production of exopolymeric substances (EPS) and mycosporine-like amino acids (MAAs) in cultures of Calothrix sp. and lipid production in Coelastrella sp. cells. Our findings indicate that the effects of stressors related to GCC on cyanobacterial and microalgal cells are strain-specific, making changes at community and ecosystem levels difficult to predict. Full article
(This article belongs to the Special Issue Microorganisms: Climate Change and Terrestrial Ecosystems)
Show Figures

Figure 1

10 pages, 451 KB  
Proceeding Paper
Environmental Assessment of Meat and Milk Production of Sedentary Dual-Purpose Cattle Farms in Two Vegetation Zones of Benin Using the GLEAM-i Model
by Pénéloppe G. T. Gnavo, Rodrigue V. Cao. Diogo and Luc H. Dossa
Biol. Life Sci. Forum 2025, 54(1), 25; https://doi.org/10.3390/blsf2025054025 - 14 Feb 2026
Viewed by 21
Abstract
To comply with new pastoral regulations in Benin, herders are increasingly adopting sedentary cattle systems, which may pose environmental risks if poorly managed. This study assessed greenhouse gas (GHG) emissions from three sedentary cattle farm types: zebu (SZF), taurine (STF), and crossbreed (SCF), [...] Read more.
To comply with new pastoral regulations in Benin, herders are increasingly adopting sedentary cattle systems, which may pose environmental risks if poorly managed. This study assessed greenhouse gas (GHG) emissions from three sedentary cattle farm types: zebu (SZF), taurine (STF), and crossbreed (SCF), across two vegetation zones: Sudanian (SZ) and Guineo-Congolian (GCZ) using the GLEAM-i model, online version. Irrespective of the farm type, the animals were exclusively fed on natural pasture. A total of 12 cattle herds were surveyed to collect input data (herd structure, demographic parameters, milk production and composition, and weight data) for the GLEAM-i. The fat and protein content of the milk (determined using a milkotester device), the live weight, and weight at slaughter of animals were entered into the GLEAM-i, which automatically determines the emission intensity values per kg of protein produced. The results revealed that CH4 was the main GHG emitted (88%), followed by CO2 (6–7%) and N2O (6%). The highest and lowest total GHG emissions (kgCO2-eq/year) were recorded in SZF (188,497) and STF (52,003) farms, respectively. With regard to emission intensity (kgCO2-eq/kg protein), this varied from 506.59 to 3043.73 for meat and from 588.86 to 3043.73 for milk. Overall, preliminary trends suggest lower emission intensities for taurine in the GCZ and for zebu in the SZ. However, these results would be more meaningful and more accurate if emission values were directly measured from individual animals using the GreenFeed Technology under current production conditions, using various pasture resources and controlled allocation. These would allow us to make firm recommendations for breeding strategies to reduce GHG emissions in Benin’s extensive livestock production system. Full article
(This article belongs to the Proceedings of The 3rd International Online Conference on Agriculture)
Show Figures

Figure 1

13 pages, 3136 KB  
Article
Effect of Hatch Spacing on Microstructure, Defect Formation and Properties of Additively Manufactured A7075 Alloy
by Adam Ismaeel, Zongxu Chen, Xuexiong Li, Xirui Jia, Ali Jamea, Xuanming Feng, Xiaohu Chen, Dongsheng Xu and Weining Lei
Metals 2026, 16(2), 221; https://doi.org/10.3390/met16020221 - 14 Feb 2026
Viewed by 212
Abstract
Understanding the mechanisms of microstructure evolution and defect formation, and their influence on mechanical properties and fracture mechanisms (from crack initiation to failure stage), is essential for manufacturing high-strength, fatigue-resistant A7075 alloy by selective laser melting (SLM). In this investigation, the A7075 alloy [...] Read more.
Understanding the mechanisms of microstructure evolution and defect formation, and their influence on mechanical properties and fracture mechanisms (from crack initiation to failure stage), is essential for manufacturing high-strength, fatigue-resistant A7075 alloy by selective laser melting (SLM). In this investigation, the A7075 alloy was fabricated using a laser power of 350 W with various hatch spacings of 1.0, 1.5, and 2.0 μm, and scanning speeds of 800, 1100, and 1300 mm/s. The results show that the alloy exhibits an equiaxed grain structure, which varies from coarse grains at small hatch spacing and low scanning speed to fine grains with increasing hatch spacing and scanning speed. The alloys exhibit low tensile strength due to solidification cracking and pores. However, this tensile strength increases with hatch spacing, while it decreases with scanning speed. At small hatch spacing and low scanning speed, fracture occurs through the coalescence of pores and solidification cracking along the weakly bonded grain boundaries (GBs) due to eutectic growth along these boundaries. In contrast, with increasing hatch spacing and scanning speed, fracture occurs through solidification cracking and coalescence of pores. This research provides valuable insights into the microstructure evolution, defect formation, and fracture mechanisms of the A7075 alloy under common processing conditions. Full article
(This article belongs to the Special Issue Additive Manufactured Metal Structural Materials)
Show Figures

Figure 1

32 pages, 1547 KB  
Review
Artificial Intelligence in Post-Liver Transplantation: A Scoping Review of Comparative Model Performance
by Ileana Lulic, Ivan Gornik, Jadranka Pavicic Saric, Dunja Rogic, Alberto Gallego, Laura Karla Bozic, Nikola Prpic, Iva Bacak Kocman, Gorjana Erceg, Jelena Pegan, Iva Majurec, Damira Vukicevic Stironja, Lucija Ermacora, Lorka Tarnovski, Stipislav Jadrijevic, Danko Mikulic, Filip Jadrijevic, Lana Mihanovic and Dinka Lulic
J. Clin. Med. 2026, 15(4), 1491; https://doi.org/10.3390/jcm15041491 - 13 Feb 2026
Viewed by 177
Abstract
Objective: To map and characterize artificial intelligence (AI) applications in post-liver transplantation (LT) care, summarize comparative performance where available, and identify methodological and translational gaps. Methods: We conducted a scoping review in accordance with PRISMA-ScR. A comprehensive search of electronic databases was performed [...] Read more.
Objective: To map and characterize artificial intelligence (AI) applications in post-liver transplantation (LT) care, summarize comparative performance where available, and identify methodological and translational gaps. Methods: We conducted a scoping review in accordance with PRISMA-ScR. A comprehensive search of electronic databases was performed from inception through 1 April 2025. We included primary studies evaluating AI applications in the post-LT period (model development, validation, or implementation). Comparative studies were defined as those reporting head-to-head evaluation of at least two algorithmic models for the same task with quantitative performance metrics. Single-model studies were retained for evidence mapping but analyzed separately. Reviews and the other non-primary literature were included for contextual mapping. Results: The search yielded 3088 records. After deduplication, 2408 were screened, 191 full texts were assessed, and 65 studies were included. Of these, 52 reported primary outcome data. Clinical prediction studies (n = 43) focused on graft survival, rejection, fibrosis, oncologic recurrence, mortality, and composite outcomes. Operational studies (n = 3) evaluated early warning or bedside decision-support systems, and system-level studies (n = 6) examined benchmarking, donor–recipient matching, explainability, fairness, and cross-domain modeling. Most studies were retrospective and single-center, with internal validation commonly reported and external validation uncommon. Conclusions: AI research in post-LT care is expanding, with a predominant focus on clinical prediction. However, limited external validation, heterogeneous methods, and scarce real-world implementation constrain clinical readiness. Standardized evaluation and prospective integration are needed to determine whether AI tools can support decision-making and improve post-transplant outcomes. Full article
(This article belongs to the Special Issue Innovations in Perioperative Anesthesia and Intensive Care)
Show Figures

Graphical abstract

13 pages, 5432 KB  
Article
Effect of Surface Roughness on Fretting Wear of SLM-Fabricated IN 718 Alloy
by Sheng Wang, Yanping Zeng, Wenjuan Wang, Xiguo Chen and Qinjiang Fu
Coatings 2026, 16(2), 228; https://doi.org/10.3390/coatings16020228 - 11 Feb 2026
Viewed by 183
Abstract
To investigate the effect of surface roughness on the fretting wear behavior of the Inconel 718 alloy, specimens fabricated by selective laser melting (SLM) were polished using SiC abrasive papers to obtain different surface roughness levels. Ball-on-flat tangential fretting tests were conducted under [...] Read more.
To investigate the effect of surface roughness on the fretting wear behavior of the Inconel 718 alloy, specimens fabricated by selective laser melting (SLM) were polished using SiC abrasive papers to obtain different surface roughness levels. Ball-on-flat tangential fretting tests were conducted under a normal load of 50 N, displacement amplitudes of 50 and 100 µm, and a total of 104 cycles. The results reveal that all test conditions fall within the gross slip regime (GSR). The coefficient of friction was not significantly affected by surface roughness, while the energy dissipation per cycle exhibited a decreasing trend with decreasing roughness. The high-roughness surface (Ra = 0.80 µm) exhibited severe stress concentration, leading to asperity fracture and fatigue delamination. The medium-roughness specimen (Ra = 0.43 µm) developed a dense third-body layer, showing a synergistic mechanism of abrasive and fatigue wear. The low-roughness specimen (Ra = 0.07 µm) maintained a stable contact interface with sufficient debris evacuation, dominated by adhesive and abrasive wear. At a displacement amplitude of D = 100 µm, the wear depth reached −6 µm, indicating the largest material removal and the most severe damage. Full article
(This article belongs to the Special Issue Mechanical, Wear, and Functional Properties of Composite Coatings)
Show Figures

Figure 1

12 pages, 356 KB  
Article
When Data Is Scarce: Training a Kazakh Speech Language Model from Discrete Units
by Bauyrzhan Kairatuly and Madina Mansurova
Appl. Sci. 2026, 16(4), 1773; https://doi.org/10.3390/app16041773 - 11 Feb 2026
Viewed by 217
Abstract
This research explores the development of a decoder-only speech language model (SLM) for Kazakh, a language currently characterized by limited computational resources. Our approach leverages discrete acoustic units synthesized from self-supervised speech representations. Specifically, we utilize a pretrained Wav2Vec 2.0 model to extract [...] Read more.
This research explores the development of a decoder-only speech language model (SLM) for Kazakh, a language currently characterized by limited computational resources. Our approach leverages discrete acoustic units synthesized from self-supervised speech representations. Specifically, we utilize a pretrained Wav2Vec 2.0 model to extract continuous latent features, which are then transformed into discrete semantic tokens via the k-means clustering algorithm. These tokens serve as the foundation for training a generative model designed to predict and maximize the likelihood of speech-unit sequences. To facilitate this study, we curated a specialized Kazakh speech corpus by synthesizing and refining multiple publicly available audio datasets. Given the constrained hardware resources available, we conducted large-scale feature extraction and tokenization to train the unit-based model. We evaluated the system’s efficacy using negative log-likelihood and perplexity metrics on independent test sets. The model captures Kazakh vowel harmony but struggles with long-range agglutinative chains. Key observations include the model’s high sensitivity to data quality, tokenization techniques, and specific training hyperparameters. Although constrained by data volume and training time relative to global benchmarks, the model successfully captures the underlying structural patterns in Kazakh speech. This work establishes a vital empirical baseline and suggests future improvements through refined unit discovery and integrated speech-text modeling. Full article
(This article belongs to the Section Computing and Artificial Intelligence)
Show Figures

Figure 1

31 pages, 12617 KB  
Article
Laser Power and Scan Speed Effects on Density, Surface Quality, and Mechanical Properties of PBF-LB/M Ti-6Al-4V
by Alexandru Paraschiv, Adrian Bibis, Romica Constantin Stoica, Sebastian-Gabriel Bucaciuc, Claudiu Visan and Florina Branzoi
Crystals 2026, 16(2), 121; https://doi.org/10.3390/cryst16020121 - 6 Feb 2026
Viewed by 251
Abstract
This study investigates how laser power–scan speed combinations influence densification, surface quality, and mechanical performance of Ti-6Al-4V parts fabricated by Powder Bed Fusion–Laser Beam/Metal (PBF-LB/M) on a DMG MORI LASERTEC 30 SLM (2nd generation) system. A parametric matrix was explored by varying laser [...] Read more.
This study investigates how laser power–scan speed combinations influence densification, surface quality, and mechanical performance of Ti-6Al-4V parts fabricated by Powder Bed Fusion–Laser Beam/Metal (PBF-LB/M) on a DMG MORI LASERTEC 30 SLM (2nd generation) system. A parametric matrix was explored by varying laser power (150–400 W) and scan speed (0.9–1.4 m·s−1) at constant layer thickness and hatch spacing, deliberately omitting contour exposure to isolate core scan effects. A stable processing window was identified (250–300 W; 0.9–1.0 m·s−1) corresponding to ~50–60 J·mm−3 volumetric energy density (VED) achieved at 99.5% with residual porosity of 0.1–0.3%. In this regime, as-built roughness measured Ra = 4–6 µm on top surfaces and Ra = 15–17 µm on side surfaces. Mechanical testing in the as-built showed ultimate tensile strength (UTS) = 1150–1180 MPa and offset yield strength (YS0.2) = 955–994 MPa, with elongation up to 6.7%. Hardness increased from 220 HV to 360 HV as densification improved. Notably, similar VED values derived from distinct power–speed combinations resulted in divergent outcomes, confirming that VED alone does not uniquely predict quality. Comparative benchmarks from the literature data highlight the performance achieved. The resulting process–property map provides a practical reference for parameter optimization, reproducibility evaluation, and transferability across platforms. Full article
(This article belongs to the Section Inorganic Crystalline Materials)
Show Figures

Figure 1

21 pages, 152264 KB  
Article
Urban Heat Island: Assessing the Influence of Urban Morphology on Air and Surface Temperatures
by Reyhaneh Zeynali, Emanuele Mandanici and Gabriele Bitelli
Sustainability 2026, 18(3), 1695; https://doi.org/10.3390/su18031695 - 6 Feb 2026
Viewed by 263
Abstract
This study investigates the interplay between urban morphology, vegetation, and thermal environments by integrating mobile air temperature (AT) measurements with satellite-derived land surface temperature (LST). The case study is the city of Bologna (Italy). Correlation analysis revealed strong multicollinearity among morphological indicators, with [...] Read more.
This study investigates the interplay between urban morphology, vegetation, and thermal environments by integrating mobile air temperature (AT) measurements with satellite-derived land surface temperature (LST). The case study is the city of Bologna (Italy). Correlation analysis revealed strong multicollinearity among morphological indicators, with building density and floor area ratio nearly collinear, while vegetation cover (PV) remained the most independent predictor. A composite urban density indicator (CUDI), derived through principal component analysis, was introduced to address redundancy among morphological metrics. Ordinary least squares regressions demonstrated significant associations, with PV exerting a pronounced cooling effect and CUDI amplifying both AT and LST. Model diagnostics confirmed statistical robustness, though residual spatial autocorrelation necessitated spatial regression approaches. Spatial lag models (SLMs) substantially improved explanatory power, highlighting spatial spillovers and neighborhood effects as central to understanding urban heat dynamics. Comparative analysis with spatial error models reinforced the dominance of SLM in capturing localized dependencies. Despite limitations in spatial coverage, temporal scope, and indicator transferability, findings emphasize the critical roles of vegetation and urban compactness in shaping thermal environments. This work underscores the necessity of integrating greening strategies with urban form management for effective heat mitigation and provides a methodological framework for analyzing urban heat islands through multi-source thermal and morphological data. Full article
Show Figures

Graphical abstract

15 pages, 2284 KB  
Article
Machine Learning-Enabled Prognostication of Tensile Strength in 316L Stainless Steel Through Additive Manufacturing Processes
by Qing Gao, Congyu Wang, Jiayan Hu, Hongqin Ding, Jiajie Wang, Jie Bai, Haibo Xie, Huayong Yang and Yi Zhu
Micromachines 2026, 17(2), 212; https://doi.org/10.3390/mi17020212 - 5 Feb 2026
Viewed by 244
Abstract
The tensile strength of components fabricated through additive manufacturing processes is of paramount importance for their implementation in practical engineering applications. However, the intricacy of the process parameters renders the prediction of tensile strength a formidable challenge. In this scholarly work, a predictive [...] Read more.
The tensile strength of components fabricated through additive manufacturing processes is of paramount importance for their implementation in practical engineering applications. However, the intricacy of the process parameters renders the prediction of tensile strength a formidable challenge. In this scholarly work, a predictive model for the tensile strength of 316L stainless steel components produced via SLM was developed through the synergistic integration of CNN and RF. The model was trained on a dataset comprising 42 datasets and subsequently validated against 12 sets of experimental data. The model’s predictive performance was quantified using MSE and MAE, which were recorded as 0.00295 and 0.0344, respectively. These values represent a reduction of 3.28% and 31.88% when compared to the predictive accuracy achieved by employing CNN in isolation. Furthermore, the correlation coefficient achieved a substantial increase of 74.18%, reaching a value of 0.9576, which is indicative of a high degree of accuracy in the model’s predictive outcomes. With the same sample size, the incorporation of relative density and Vickers hardness as additional input conditions resulted in a reduction in prediction accuracy. The tensile strength prediction model presented herein demonstrates the capability for high-precision prediction even with small datasets, thereby offering a theoretical framework that may guide future endeavors in the prediction of mechanical properties for a broader spectrum of materials. Full article
(This article belongs to the Special Issue Future Prospects of Additive Manufacturing, 2nd Edition)
Show Figures

Figure 1

17 pages, 10354 KB  
Article
Surface Nanocrystallization and Strengthening Mechanisms of SLM 316L Stainless Steel Induced by Shot Peening
by Hongfeng Luo and Yuxuan Wang
Metals 2026, 16(2), 186; https://doi.org/10.3390/met16020186 - 4 Feb 2026
Viewed by 237
Abstract
To address surface defects and enhance the wear resistance of 316L stainless steel parts fabricated by Selective Laser Melting (SLM), this study applied shot peening (SP) surface treatment to the SLM-processed samples. Ball-on-disk tribological tests were systematically conducted under water-lubricated conditions to investigate [...] Read more.
To address surface defects and enhance the wear resistance of 316L stainless steel parts fabricated by Selective Laser Melting (SLM), this study applied shot peening (SP) surface treatment to the SLM-processed samples. Ball-on-disk tribological tests were systematically conducted under water-lubricated conditions to investigate the evolution of surface morphology, microstructure, microhardness, and tribological performance before and after SP. The results indicate that SP induced severe plastic deformation in the surface layer, effectively refining the coarse columnar crystals and melt pool structures characteristic of SLM, and forming a crystalline hardened layer with a depth of 70–80 μm. Consequently, the surface microhardness increased by 21.97% compared to the un-peened samples. Under loads of 20 N and 30 N, the coefficient of friction (COF) of the SP-treated samples decreased by 16.36% and 12.4%, while the wear rate was reduced by 17.09% and 14.9%, respectively. In this load range, the samples primarily exhibited uniform plowing and localized adhesive wear, demonstrating significantly improved resistance to plastic deformation and crack initiation. However, when the load increased to 40 N, intense stress and thermal effects diminished the strengthening benefits of SP, resulting in no significant difference in tribological performance between the SP-treated and untreated samples. At this stage, the dominant wear mechanism transitioned to severe plastic deformation, extensive delamination, and thermally induced adhesion. Full article
Show Figures

Figure 1

27 pages, 6028 KB  
Article
A Comparative Study and Introduction of a New Heat Source Model for the Macro-Scale Numerical Simulation of Selective Laser Melting Technology
by Hao Zhang, Shuai Wang, Junjie Wang and Zhiqiang Yan
Materials 2026, 19(3), 480; https://doi.org/10.3390/ma19030480 - 25 Jan 2026
Viewed by 343
Abstract
Selective Laser Melting (SLM), as a common metal additive manufacturing (AM) technology, achieves high-precision complex part formation by layer-by-layer melting of metal powder using a laser. However, the dynamic behavior of the melt pool during the SLM process is influenced by the heat [...] Read more.
Selective Laser Melting (SLM), as a common metal additive manufacturing (AM) technology, achieves high-precision complex part formation by layer-by-layer melting of metal powder using a laser. However, the dynamic behavior of the melt pool during the SLM process is influenced by the heat source model, which is crucial for suppressing porosity defects and optimizing process parameters, directly determining the reliability of numerical simulations. To address the issue of traditional surface heat source models overestimating the melt pool width and volume heat source models underestimating the melt pool depth, this study constructs a three-dimensional transient heat conduction finite element model based on ANSYS Parametric Design Language (APDL) to simulate the evolution of the temperature field and melt pool geometry under different laser parameters. First, the temperature fields and melt pool morphology and dimensions of four heat source models—Gaussian surface heat source, volumetric heat source models (rotating Gaussian volumetric heat source, double ellipsoid heat source), and a combined heat source model—were investigated. Subsequently, a dynamic heat source model was proposed, combining a Gaussian surface heat source with a rotating volumetric heat source. By dynamically allocating the laser energy absorption ratio between the powder surface layer and the substrate depth, the influence of this heat source model on melt pool size was explored and compared with other heat source models. The results show that under the dynamic heat source, the melt pool width and depth are 128.6 μm and 63.13 μm, respectively. The melt pool width is significantly larger compared to other heat source models, and the melt pool depth is about 17% greater than that of the combined heat source model. At the same time, the predicted melt pool width and depth under this heat source model have relative errors of 1.0% and 5.5% compared to the experimental measurements, indicating that this heat source model has high accuracy in predicting the melt pool’s lateral dimensions and can effectively reflect the actual melt pool morphology during processing. Full article
(This article belongs to the Section Materials Simulation and Design)
Show Figures

Figure 1

Back to TopTop