Abstract
Dye wastewater is a serious threat to human health and life. It is an important task for researchers to treat it efficiently. Among many treatment methods, the photo-Fenton method can rapidly degrade organic pollutants. In this study, a ternary photocatalyst, Ag2O-NiO/CuFe2O4, was prepared and applied for a photo-Fenton reaction to degrade methylene blue (MB). MB had the best degradation effect when 10 mg of the catalyst were used in an 80 mL reaction system for measurement. The degradation rate of MB was up to 96.67% in 60 min with a high degradation rate constant . The total organic carbon (TOC) degradation rate was 78.64% with a TOC degradation rate constant of . Therefore, this study fully proves that Ag2O-NiO/CuFe2O4 can catalyze the photo-Fenton reaction and effectively degrade MB.
1. Introduction
With the rapid development of global industry, the problem of water pollution has become more and more severe. Organic dyes based on heterocyclic aromatic/aromatic-azo compounds are highly toxic, carcinogenic, and difficult to degrade [1,2]. Methylene blue (MB) mainly comes from the printing and dyeing industry [3]. MB can prevent sunlight from entering water and therefore affects the growth of aquatic organisms [4]. Furthermore, MB can cause eye burns and may even lead to permanent damage. If MB is taken into the body, it will cause a burning sensation and vomiting. Therefore, the treatment of dye wastewater has become an urgent problem. Unfortunately, traditional wastewater treatment processes (microbial degradation) cannot efficiently decompose MB.
In recent years, researchers have proposed many new technologies, such as adsorption, condensation, photocatalysis, electrocatalysis, and the photo-Fenton process [5,6,7,8]. Solar energy is an inexhaustible clean energy source that can be used to degrade MB and other dyes. Due to the economics of solar energy, photocatalysis is considered one of the most promising methods. Many semiconductor materials can decompose toxic organic compounds into non-toxic inorganic compounds under light irradiation. Various semiconductors have been developed as photocatalysts, including CuFe2O4, TiO2, CdS, Bi2O3, Ag2O, NiO, and g-C3N4 and so on [9,10,11,12]. Copper ions and iron ions can participate in the photo-Fenton reaction [13]. Therefore, CuFe2O4 can also trigger the photo-Fenton reaction.
Among many photocatalysts, CuFe2O4 has attracted wide attention because of its suitable energy band structure, high chemical stability, thermal stability and low toxicity [14]. In addition, CuFe2O4 has magnetic properties that makes it easy to recycle [15,16]. It will not cause secondary pollution and can be widely used in heterogeneous catalysis. CuFe2O4 has a relatively narrow band gap [17] that can absorb visible light. In order to increase its absorption rate of visible light, it is often prepared into a micro-nano structure [18,19]. The surface of the structure produces defect energy levels and surface energy levels during the preparation process, thereby providing a recombination center for photo-generated electron-holes [20,21]. Then, the lifetime of electrons and holes is reduced, i.e., the photocatalytic efficiency is reduced. Therefore, a single transition metal oxide used for the photocatalytic degradation of MB cannot meet the needs of practical applications. At present, researchers have made many efforts to improve the photocatalytic properties of materials, such as noble metal loading, metal doping, and coupling with other semiconductors (MoS2, Co3O4, NiO, WO3, etc.) [9,22,23,24]. The latest literature has reported that mixed transition metal oxides (CuO/Fe3O4, CuO/MnFe2O4, γ-Fe2O3/Mn3O4, and CoO-CuO) not only have excellent catalytic performance but also maintain excellent stability [24,25,26]. Therefore, the combination of CuFe2O4 and other semiconductors would increase the photo-Fenton reaction rate.
Ag2O and NiO are often used in photocatalysis research. Though it is a narrow-band gap semiconductor, Ag2O is rarely used as the main catalyst, but it is used as a co-catalyst due to the instability of its photocatalytic reaction and its high carrier recombination rate [23,27]. NiO is a wide band gap semiconductor with important electronic, chemical, and electrical properties [28]. NiO can only absorb ultraviolet light, so its utilization rate of sunlight is low. It is the best choice to combine NiO with other semiconductor materials to improve its photocatalytic activity.
Based on above introduction, the hydrothermal method and calcination were used to prepare an Ag2O-NiO/CuFe2O4 ternary catalyst, which showed an excellent photocatalytic performance under sunlight. Within 60 min of photocatalytic degradation in photo-Fenton system, the removal rate of MB was 96.67%. The degradation mechanism of MB in this study was analyzed according to its characterization and catalytic performance.
2. Material and Methods
2.1. Chemicals
Copper sulfate pentahydrate (CuSO4·5H2O, analytical reagent (AR)), ferric chloride hexahydrate (FeCl3·6H2O, AR), nickel acetate tetrahydrate (C4H6NiO4·4H2O, AR), silver sulfate (Ag2SO4, AR), sodium hydroxide (NaOH, AR), methylene blue (MB, AR), 30.0% hydrogen peroxide (H2O2, AR), absolute ethanol (EtOH, C2H5OH, AR), and t-butanol (TBA, (CH3)3COH, AR) were purchased from Sinopharm Chemical Reagent (Shanghai, China) and were used as received without further purification.
2.2. Synthesis and Characterization of Ag2O-CuFe2O4/NiO
In 200 mL deionized water, 3.210 g CuSO4·5H2O and 2.705 g FeCl3·6H2O were fully dissolved under magnetic stirring; this is marked as solution A. Additionally, a 100 mL NaOH solution was prepared with a final pH of 9; this is marked as solution B. We dropwise added solution A to solution B under magnetic stirring, and we kept the pH of the mixture at 9 from beginning to end by adding 1.0 M NaOH, thus generating a black suspension. Then, the suspension was evaporated and concentrated to 60 mL at 60 °C under magnetic stirring. The 60 mL concentrated suspension was poured into a stainless steel reactor and placed in a 100 °C oven for 10 h. Subsequently, the concentrated suspension was centrifuged and dried to obtain a black powder, which is denoted as powder C. To remove undesired soluble ions such as Na+, SO42− and Cl−, powder C was washed with deionized water and then centrifuged three times; then, precipitate powder C was dried in a 60 °C oven overnight. Then, 0.117 g of Ag2SO4 and 0.031 g of C4H6O4Ni·4H2O were dissolved in 20 mL of deionized water, and all of black powder C was poured in; this is denoted as mixture M. Mixture M was tempestuously stirred at room temperature for 2 h to make powder C fully and uniformly contact Ag+ and Ni2+. Then, mixture M was dried at 60 °C under magnetic stirring until the deionized water completely evaporated. We then put the residual solid mixture M into a muffle furnace for high-temperature calcination in an air atmosphere. The detailed process of sample preparation is shown in Figure 1. Figure S1 shows the MB degradation with the samples calcined at different temperatures. It can be found from Figure S1 that the sample calcined at 650 °C had the best degradation effect of MB, so the calcination temperature of all samples used in this study was 650 °C and the sample was coded as Ag2O-NiO/CuFe2O4. The molar ratio among Ag2O, NiO, and CuFe2O4 was calculated as 3:1:40 in Ag2O-NiO/CuFe2O4. For control experiments, a sample without the addition of Ag2SO4 and C4H6O4Ni·4H2O was also prepared by directly calcining powder C; this is coded as CuFe2O4.
Figure 1.
The schematic illustration of the synthetic process of Ag2O-NiO/CuFe2O4.
The phase composition and crystal structure of Ag2O-NiO/CuFe2O4 were analyzed by transmission electron microscopy (TEM) with a JEM2100 (JEOL, Tokyo, Japan) and X-ray diffraction (XRD) with an XRD-6000 (Shimadzu, Kyoto, Japan) with the radiation (λ = 1.5406 Å) in the range of 2θ from 10° to 70° and a 1°/min scanning rate.
2.3. Photodegradation Experiments
The photocatalytic performance of Ag2O-NiO/CuFe2O4 was evaluated with MB. A 500 W Xe lamp (GXZ500, Shanghai Jiguang special lighting electric appliance factory, Shanghai, China) was used as the simulated sunlight. The distance from the lamp to the MB suspension liquid level was 15 cm. As is typical, 10.0 mg of Ag2O-NiO/CuFe2O4 and 100 μL of H2O2 were simultaneously added into an aqueous MB solution (80 mL, 10 mg/L), and then the MB photocatalytic degradation experiment was carried out under the irradiation of the Xe lamp. At a certain time interval, a 3 mL suspension was withdrawn from the reaction and subjected to centrifugation. In addition, the same reaction mixture was magnetically stirred in the dark to compare the results irradiated by the Xe lamp. The MB concentration was determined by a UV-VIS spectrophotometer (UV-1240 Shimadzu, Kyoto, Japan) at the wavelength of 664 nm. The total organic carbon (TOC, mg/L) of the MB solution was determined by a TOC analyzer (SSM-5000A Shimadzu, Kyoto, Japan) during the photocatalytic degradation process. To reveal the photocatalytic mechanism, typical radical scavengers such as EtOH and TBA were used in reactions to verify the active species. We used the same method to analyze the photo-Fenton performance of CuFe2O4, NiO/CuFe2O4, andAg2O/CuFe2O4 as the controls. The effects of NiO/CuFe2O4 and Ag2O/CuFe2O4 on MB degradation are shown in Figure S2.
The degradation efficiency of MB can be calculated by Equation (1) [29]:
where C and C0 represent the concentration of MB at time t and the pristine concentration of MB, respectively.
Degradation (%) = (1 − C/C0) × 100%
In this study, Equation (2) [30] was used to analyze the pseudo-first-order dynamics.
where k is the apparent reaction rate constant (min−1).
−ln(C/C0) = kt
3. Results and Discussion
3.1. Characterization of the Synthesized Ag2O-NiO/CuFe2O4
The phase composition and crystal structure of the sample studied by XRD are shown in Figure 2. The XRD data proved that the material contained three components: Ag2O, NiO, and CuFe2O4. The 18.55°, 30.18°, 35.65°, 44.70°, and 65.01° diffraction peaks appeared in the CuFe2O4 and Ag2O-NiO/CuFe2O4 samples. They corresponded to the (101), (112), (211), (202), (220), and (400) crystal planes of CuFe2O4 (PDF card No.72-1174), respectively. The 32.74° and 53.75° diffraction peaks in Ag2O-NiO/CuFe2O4 corresponded to the (111) and (220) crystal planes of Ag2O (PDF card No.12-793), respectively. The 37.29° and 62.67° diffraction peaks in Ag2O-NiO/CuFe2O4 corresponded to the (101) and (110) crystal planes of the NiO phase (PDF card No.44-1159), respectively. These results could convincingly verify the existence of Ag2O and NiO in Ag2O-NiO/CuFe2O4. Therefore, it was proven that Ag2O, NiO, and CuFe2O4 were the main components in the sample and the as-prepared Ag2O-NiO/CuFe2O4 was synthesized successfully.
Figure 2.
XRD patterns of CuFe2O4 and Ag2O-NiO/CuFe2O4.
The morphology of Ag2O-NiO/CuFe2O4 was characterized and analyzed by TEM, as shown in Figure 3. In Figure 3b, the crystal lattice fringe of the sample can be clearly seen, which fully proves that the sample had an excellent crystallinity within a certain size range that was conducive to carrier transmission. Figure 3c–e shows the enlargements of the corresponding square areas in Figure 3b. The measured lattice plane spacings were 0.48, 0.249, and 0.205 nm, corresponding to the (101), (211), and (220) crystal planes of CuFe2O4 (PDF card No.72-1174), respectively, which was consistent with the results of XRD. Due to the small proportion of Ag+ and Ni2+ doping, Ag2O and NiO nanoparticles were not found in the field of TEM.
Figure 3.
(a) TEM image of Ag2O-NiO/CuFe2O4; (b) High Resolution Translation Electron Microscopy (HRTEM) image of Ag2O-NiO/CuFe2O4; (c–e) show the enlargements of the corresponding square areas in Figure 3b.
3.2. MB Degradation
The catalytic activity of synthetic nano-material Ag2O-NiO/CuFe2O4 was analyzed by observing the degradation of MB in the water phase under simulated sunlight irradiation. The degradation efficiency of MB with different catalysts is shown in Figure 4. In a typical experiment, the solid catalyst dosage was 10 mg and the H2O2 dosage was 100 µL, both of which were simultaneously added to an 80 mL MB aqueous solution. Figure 4a shows the degradation of MB by Ag2O-NiO/CuFe2O4/H2O2 in the dark. Meanwhile, the MB degradation by CuFe2O4, CuFe2O4/H2O2, H2O2, and Ag2O-NiO/CuFe2O4 were also compared. The MB removal in each curve decreased within 60 min, and the degradation efficiency of Ag2O-NiO/CuFe2O4/H2O2 was the highest. However, the removal rate of MB was only 8.60%, and the degradation rate constant was . The removal rate of CuFe2O4/H2O2 on MB was 7.30%, and the degradation rate constant was . The degradation efficiency of pure H2O2 was slightly lower than that of Ag2O-NiO/CuFe2O4/H2O2 and CuFe2O4/H2O2. However, in the comparative experiment without H2O2, the MB removal rates of Ag2O-NiO/CuFe2O4 and CuFe2O4 were only 1.98% and 1.04%, respectively. Therefore, it can be seen from these studies that Ag2O-NiO/CuFe2O4 and CuFe2O4 decreased the concentration of MB in the dark due to the small amount of adsorption on the surface of nanomaterials. H2O2 could degrade dyes, but the degradation efficiency was low. Figure 4c depicts the MB degradation under simulated sunlight irradiation. Figure 4d shows that Ag2O-NiO/CuFe2O4/H2O2 had the highest pseudo-first-rate kinetic constant. Ag2O-NiO/CuFe2O4 and CuFe2O4 could catalyze the degradation of MB with H2O2, the MB removal rates were as high as 96.67% and 57.88%, respectively, and the corresponding degradation rate constants were and , respectively. With the assistance of Ag2O-NiO/CuFe2O4, the MB degradation rate constant with H2O2 under simulated sunlight irradiation was two orders of magnitude higher than that in the dark. Therefore, it was proven that we had successfully synthesized a photocatalytic material that efficiently degraded MB. In CuFe2O4, the Cu valence is +2 and the Fe valence is +3. In this study, Fe3+ was reduced to Fe2+ by photoelectrons. Cu2+ and Fe2+ can react with H2O2 to produce OH, which can efficiently degrade MB. This process is called the Fenton reaction. Under solar irradiation, the catalytic effect of the catalyst is improved, and this process is called the photo-Fenton reaction. The degradation of MB by Ag2O-NiO/CuFe2O4 and H2O2 under simulated sunlight irradiation was a photo-Fenton reaction.
Figure 4.
(a) Degradation of methylene blue (MB) with different catalysts in the dark; (b) the pseudo-first-order reaction kinetics for MB degradation with different catalysts in the dark; (c) photocatalytic degradation of MB with different composite photocatalysts under simulated solar irradiation; (d) the pseudo-first-order reaction kinetics for MB degradation with different composite photocatalysts under simulated solar irradiation; (e) percentage decrease in catalytic efficiency of Ag2O-NiO/CuFe2O4 for five cycles. Initial MB concentration: 10 mg/L. Initial H2O2 concentration: 416 mg/L.
In order to investigate the reuse potential of our photo-Fenton catalyst, Ag2O-NiO/CuFe2O4 was collected after each degradation experiment via centrifugation. After deionized water washing and drying at 60 °C, Ag2O-NiO/CuFe2O4 was reused as a reactive catalyst for MB degradation under the same experimental conditions, and the results are shown in Figure 4e. The photocatalyst used for the fifth time could still efficiently degrade MB in the aqueous phase, and the removal rate of MB was still as high as 94.02%.
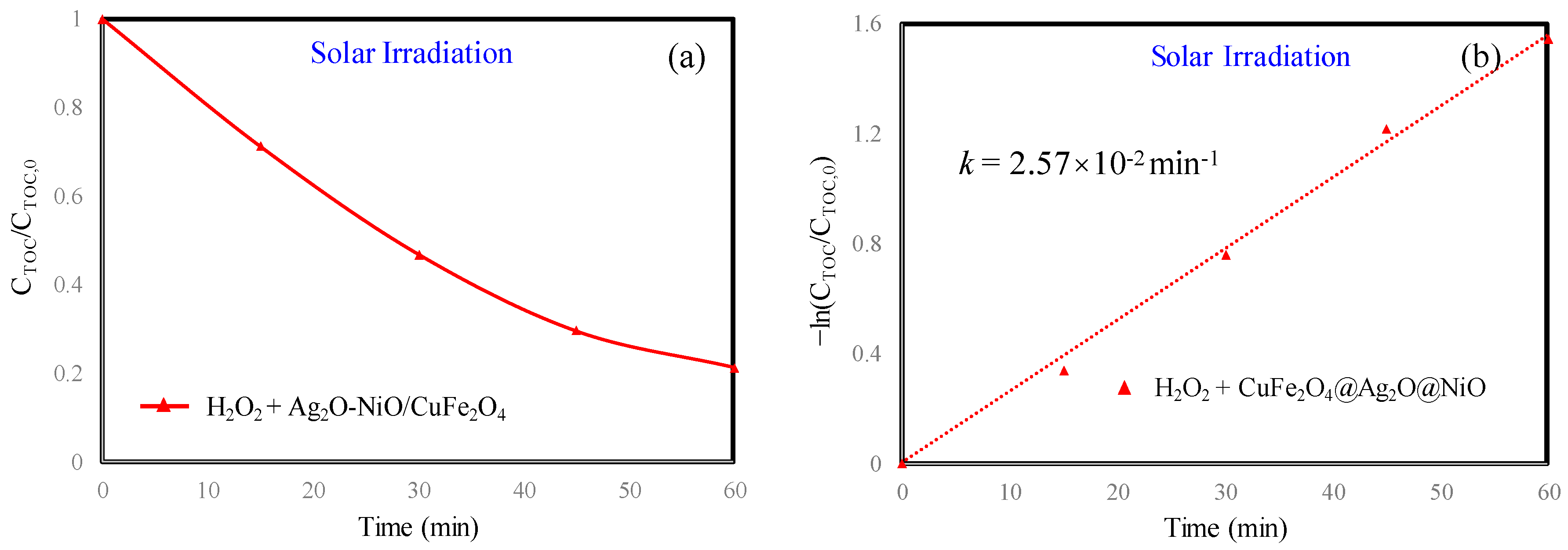
The total organic carbon (TOC) of the MB solution was determined during the experiment. The TOC removal rate and the removal rate constant of Ag2O-NiO/CuFe2O4 were 78.64% and within 60 min, respectively, as shown in Figure 5. The TOC results suggested that Ag2O-NiO/CuFe2O4/H2O2 could effectively mineralize MB under solar irradiation.
Figure 5.
(a) Total organic carbon (TOC) variation of MB; (b) pseudo-first-order kinetic fit for TOC removal during the photo-Fenton process. Initial MB concentration: 10 mg/L. Initial H2O2 concentration: 416 mg/L.
By optimizing the amount of catalyst, the unnecessary use of a photocatalyst in degradation experiments could be minimized. For this purpose, the 10 mg/L MB was degraded for 60 min using 1, 5, 10, 20, and 50 mg of catalysts mixed with 100 µL of H2O2 in an 80 mL MB solution. The results are shown in Figure 6a,b. It was found that increasing the amount of catalyst from 1 to 50 mg could cause the MB removal rate to increase from 86.06% to 96.67% and then decrease to 81.15%. When the dosage of Ag2O-NiO/CuFe2O4 was 10 mg, the catalytic efficiency was the best. When the Ag2O-NiO/CuFe2O4 dosage was less than 10 mg, the catalytic efficiency showed a positive correlation with the catalyst dosage. Then, with the further increase of the catalyst dosage, the MB degradation efficiency significantly decreased. When the dosage of catalyst was small, all reaction sites could fully absorb sunlight and participate in the reaction together with H2O2 until the dosage of the catalyst reached the optimal value. When the dosage of catalyst excessively increased, the light could not penetrate into the dye solution due to excessive scattering of the material. Thus, the MB degradation in the internal solution was hindered, so the overall degradation effect was poor. When the dosage of Ag2O-NiO/CuFe2O4 was 10 mg, the degradation efficiency of MB was positively associated with the dosage of H2O2, as shown Figure S3. However, when the dosage of H2O2 was greater than 100 µL, the degradation efficiency changed slowly, so 100 µL was the cost-effective dosage for H2O2.
Figure 6.
(a) Effect of Ag2O-NiO/CuFe2O4 dosage on MB dye photodegradation; (b) the pseudo-first-order reaction kinetics for MB dye degradation affected by different Ag2O-NiO/CuFe2O4 dosages. Initial MB concentration: 10 mg/L. Initial H2O2 concentration: 416 mg/L.
3.3. Enhanced Mechanism of Ag2O-NiO/CuFe2O4 on Photocatalytic Activity
In order to study the role of ·OH in the MB degradation process, EtOH and TBA were used as ·OH quenchers. Then, we studied their effect on MB degradation, as shown in Figure 7. Both EtOH and TBA inhibited MB degradation. When 10 mL of EtOH and 10 mL of TBA were added, the degradation rates of MB were 0.44% and 0.64%, respectively. These data fully proved that the increase of ·OH produced by the photo-Fenton reaction in this study led to an increase of the MB removal rate.
Figure 7.
The impact of different ·OH quenchers on MB removal in a photocatalytic system. (a) MB degradation with different quenchers; (b) the pseudo-first-order reaction kinetics for MB degradation with different quenchers. Initial MB concentration: 10 mg/L. Initial H2O2 concentration: 416 mg/L.
Ag2O-NiO/CuFe2O4 showed an excellent photocatalytic performance. Ag2O-NiO/CuFe2O4 was much more efficient in degrading MB than CuFe2O4. CuFe2O4 was a typical photocatalytic semiconductor material with band gap width Eg = 1.43 eV, a conduction band bottom position Ec = −1.12 V, and a valence band top position Ev = 0.31 V [31]. Under the sunlight irradiation, electrons in the valence band of CuFe2O4 could absorb the photons (hυ > 1.43 eV) and jump to the conduction band. Photogenerated electrons have reductive properties [32]. Thus, the ferric iron Fe(III) in CuFe2O4 can be reduced to Fe(II) via a ligand-to-metal charge transfer (LMCT) mechanism. As such, Fe(II) and Cu(II) all can catalytically decompose H2O2 into OH, which is the key active species to degrade MB dye [33]. Here, MB was adsorbed onto the surface of photocatalytic material due to hydrogen bonding, interactions, surface complexation, electrostatic interactions, and chemisorption. Then, the Fe(III) and Cu(III) generated by H2O2 oxidation could be reduced into Fe(II) and Cu(II) by photo-induced electrons, but the CuFe2O4 would show an oxidation state because it lacked electron, thus resulting in a low photo-Fenton efficiency. The photo-Fenton reaction process sponsored by CuFe2O4 can be described by Equations (3)–(6) [13].
Ag2O and NiO are commonly used as photocatalysts. Ag2O has a narrow band gap, Eg = 1.51 eV, and electron-hole pairs can be generated by absorbing visible light [13]. NiO has a wide band gap width of 3.63 eV. The bottom of NiO conduction band is Ec = −0.345 V, and the top of the valence band is Ev = 3.285 V [34]. A ternary catalyst composed of Ag2O, NiO, and CuFe2O4 can greatly improve photocatalytic efficiency.
Because the number of photoelectrons produced by CuFe2O4 is very limited and the Fe(III) and Cu(III) cannot be reduced in time, the photo-Fenton degradation effect of MB by the pristine CuFe2O4 reaction was very poor. Ag2O and NiO were able to promote the transition of photoelectrons in the ternary catalyst, as shown in Figure 8. The electrons in the valence band could jump into the conduction band under the sunlight excitation in Ag2O and NiO. Then, these photo-induced electrons could jump into the valence band of CuFe2O4 via a heterogeneous structure, thus promoting the effective reduction for Fe(III) and Cu(III) in CuFe2O4 and further improving the photo-Fenton efficiency. In addition, the photo-induced hole in Ag2O could also directly oxidatively degrade MB. Meanwhile, the photo-induced hole in NiO could oxidize OH− or H2O to produce OH for MB degradation [35].
Figure 8.
The proposed mechanism for enhanced photo-Fenton reactions with the ternary catalyst Ag2O-NiO/CuFe2O4.
4. Conclusions
Ag2O-NiO/CuFe2O4 was synthesized by simple hydrothermal and calcination methods, and its morphology and structure characteristics were analyzed by TEM and XRD. The synthesized Ag2O-NiO/CuFe2O4 showed an excellent catalytic performance in the degradation of MB in wastewater via the photo-Fenton reaction. The mineralization rate of the 10 mg/L (80 mL) MB solution was 78.64% within 60 min with 10 mg of the Ag2O-NiO/CuFe2O4 photo-Fenton catalyst and 100 µL of H2O2. The novelty of this study lies in that Ag2O-NiO/CuFe2O4 is a novel, simple, low-cost and high-efficient photocatalyst.
Supplementary Materials
The following are available online at https://www.mdpi.com/1996-1944/13/21/4760/s1, Figure S1: Dependance of photodegradation of MB dye on sintering temperature in Muffle furnace. (a) Degradation of MB in samples sintered at different temperatures; (b) The pseudo-first-order reaction kinetics for MB degradation with different samples, Figure S2: Degradation of MB with NiO/CuFe2O4 and Ag2O/CuFe2O4 under simulated solar irradiation. Experimental conditions: H2O2 100 uL, Catalyst 10 mg. The degradation rates of MB by NiO/CuFe2O4 and Ag2O/CuFe2O4 were 58.92% and 68.91% respectively, which are both higher than CuFe2O4(57.88%), Figure S3: Effect of H2O2 dosage on the degradation rate of MB. (a) MB degradation with different H2O2 dosage; (b) The pseudo-first-order reaction kinetics for MB degradation with different H2O2 dosage.
Author Contributions
Conceptualization, L.L. and N.H.; investigation, X.D., Y.A., Z.C., Y.L., Y.Z. and X.Z.; writing—review and editing, L.L. All authors have read and agreed to the published version of the manuscript.
Funding
This study was supported by “Thirteenth Five-Year” Science and Technology Research Project of Education Department in Jilin Province (JJKH20190130KJ) and the 2019 Technology Research Project of Jilin province (No. 20190303111SF).
Conflicts of Interest
The authors declare no conflict of interest.
References
- Arshad, H.; Imran, M.; Ashraf, M. Toxic effects of Red-S3B dye on soil microbial activities, wheat yield, and their alleviation by pressmud application. Ecotoxicol. Environ. Saf. 2020, 204, 111030. [Google Scholar] [CrossRef] [PubMed]
- Gebrezgiher, M.; Kiflie, Z. Utilization of cactus peel as biosorbent for the removal of reactive dyes from textile dye effluents. J. Environ. Public Health 2020, 2020, 5383842. [Google Scholar] [CrossRef] [PubMed]
- Al-Baldawi, I.A.; Abdullah, S.R.S.; Anuar, N.; Hasan, H.A. Phytotransformation of methylene blue from water using aquatic plant (Azolla pinnata). Environ. Technol. Innov. 2018, 11, 15–22. [Google Scholar] [CrossRef]
- Sargin, I.; Baran, T.; Arslan, G. Environmental remediation by chitosan-carbon nanotube supported palladium nanoparticles: Conversion of toxic nitroarenes into aromatic amines, degradation of dye pollutants and green synthesis of biaryls. Sep. Purif. Technol. 2020, 247, 116987. [Google Scholar] [CrossRef]
- Liu, L.; Li, S.; An, Y.; Sun, X.; Wu, H.; Li, J.; Chen, X.; Li, H. Hybridization of nanodiamond and CuFe-LDH as heterogeneous photoactivator for visible-light driven photo-fenton reaction: Photocatalytic activity and mechanism. Catalysts 2019, 9, 118. [Google Scholar] [CrossRef]
- Belghit, A.; Merouani, S.; Hamdaoui, O.; Alghyamah, A.; Bouhelassa, M. Influence of processing conditions on the synergism between UV irradiation and chlorine toward the degradation of refractory organic pollutants in UV/chlorine advanced oxidation system. Sci. Total Environ. 2020, 736, 139623. [Google Scholar] [CrossRef]
- Ali, A.; Ing, A.W.C.; Abdullah, W.R.W.; Hamzah, S.; Azaman, F. Preparation of high-performance adsorbent from low-cost agricultural waste (Peanut husk) using full factorial design: Application to dye removal. Biointerface Res. Appl. Chem. 2020, 10, 6619–6628. [Google Scholar]
- Thiruppathi, M.; Leeladevi, K.; Ramalingan, C.; Chen, K.-C.; Nagarajan, E.R. Construction of novel biochar supported copper tungstate nanocomposites: A fruitful divergent catalyst for photocatalysis and electrocatalysis. Mater. Sci. Semicond. Process. 2020, 106, 104766. [Google Scholar] [CrossRef]
- Liu, J.; Tao, Z.; Xie, H.; Zhang, X.; Wang, H.; Xiao, H.; Wang, L. Facial construction of defected NiO/TiO2 with Z-scheme charge transfer for enhanced photocatalytic performance. Catal. Today 2019, 335, 269–277. [Google Scholar] [CrossRef]
- Lyu, J.; Ge, M.; Hu, Z.; Guo, C. One-Pot synthesis of magnetic CuO/Fe2O3/CuFe2O4 nanocomposite to activate persulfate for levofloxacin removal: Investigation of efficiency, mechanism and degradation route. Chem. Eng. J. 2020, 389, 124456. [Google Scholar] [CrossRef]
- Ren, J.; Zhu, Y. Ag2O-decorated electrospun BiVO4 nanofibers with enhanced photocatalytic performance. RSC Adv. 2020, 10, 6114–6120. [Google Scholar] [CrossRef]
- Qin, Y.; Li, H.; Lu, J.; Feng, Y.; Meng, F.; Ma, C.; Yan, Y.; Meng, M. Synergy between van der waals heterojunction and vacancy in ZnIn2S4/g-C3N4 2D/2D photocatalysts for enhanced photocatalytic hydrogen evolution. Appl. Catal. B Environ. 2020, 277, 119254. [Google Scholar] [CrossRef]
- Du, X.; Liu, L.; Dong, Z.; Cui, Z.; Sun, X.; Wu, D.; Ma, Z.; Fang, Z.; Liu, Y.; An, Y. Accelerated redox cycles of Fe(III)/Fe(II) and Cu(III)/Cu(II) by photo-induced electron from N-CQDs for enhanced photo-fenton capability of CuFe-LDH. Catalysts 2020, 10, 960. [Google Scholar] [CrossRef]
- Samson, V.A.F.; Bernadsha, S.B.; Mahendiran, M.; Lawrence, K.L.; Madhavan, J.; Raj, M.V.A.; Prathap, S. Impact of calcination temperature on structural, optical, and magnetic properties of spinel CuFe2O4 for enhancing photocatalytic activity. J. Mater. Sci. Mater. Electron. 2020, 31, 6574–6585. [Google Scholar] [CrossRef]
- Li, Z.; Guo, C.; Lyu, J.; Hu, Z.; Ge, M. Tetracycline degradation by persulfate activated with magnetic Cu/CuFe2O4 composite: Efficiency, stability, mechanism and degradation pathway. J. Hazard. Mater. 2019, 373, 85–96. [Google Scholar] [CrossRef]
- Li, J.; Ren, Y.; Ji, F.; Lai, B. Heterogeneous catalytic oxidation for the degradation of p -nitrophenol in aqueous solution by persulfate activated with CuFe2O4 magnetic nano-particles. Chem. Eng. J. 2017, 324, 63–73. [Google Scholar] [CrossRef]
- Tarek, M.; Rezaul Karim, K.M.; Sarkar, S.M.; Deb, A.; Ong, H.R.; Abdullah, H.; Cheng, C.K.; Rahman Khan, M.M. Hetero-Structure CdS–CuFe2O4 as an efficient visible light active photocatalyst for photoelectrochemical reduction of CO2 to methanol. Int. J. Hydrogen Energy 2019, 44, 26271–26284. [Google Scholar] [CrossRef]
- Karunakaran, C.; Sakthiraadha, S.; Gomathisankar, P.; Vinayagamoorthy, P. Nanostructures and optical, electrical, magnetic, and photocatalytic properties of hydrothermally and sonochemically prepared CuFe2O4/SnO2. RSC Adv. 2013, 3, 16728. [Google Scholar] [CrossRef]
- Guo, Y.; Zhang, L.; Liu, X.; Li, B.; Tang, D.; Liu, W.; Qin, W. Synthesis of magnetic core-shell carbon dot@MFe2O4 (M = Mn, Zn and Cu) hybrid materials and their catalytic properties. J. Mater. Chem. A 2016, 4, 4044–4055. [Google Scholar] [CrossRef]
- Guo, W.; Zou, J.; Guo, B.; Xiong, J.; Liu, C.; Xie, Z.; Wu, L. Pd nanoclusters/TiO2(B) nanosheets with surface defects toward rapid photocatalytic dehalogenation of polyhalogenated biphenyls under visible light. Appl. Catal. B Environ. 2020, 277, 119255. [Google Scholar] [CrossRef]
- Bai, X.; Wang, X.; Lu, X.; Liang, Y.; Li, J.; Wu, L.; Li, H.; Hao, Q.; Ni, B.J.; Wang, C. Surface defective g-C3N4-xClx with unique spongy structure by polarization effect for enhanced photocatalytic removal of organic pollutants. J. Hazard. Mater. 2020, 398, 122897. [Google Scholar] [CrossRef] [PubMed]
- Su, J.; Yu, S.; Xu, M.; Guo, Y.; Sun, X.; Fan, Y.; Zhang, Z.; Yan, J.; Zhao, W. Enhanced visible light photocatalytic performances of few-layer MoS2@TiO2 hollow spheres heterostructures. Mater. Res. Bull. 2020, 130, 110936. [Google Scholar] [CrossRef]
- Yang, H.; Fan, J.; Zhou, C.; Luo, R.; Liu, H.; Wan, Y.; Zhang, J.; Chen, J.; Wang, G.; Wang, R.; et al. Co3O4@CdS hollow spheres derived from ZIF-67 with a high phenol and dye photodegradation activity. ACS Omega 2020, 5, 17160–17169. [Google Scholar] [CrossRef] [PubMed]
- Ma, Q.; Zhang, X.; Guo, R.; Zhang, H.; Cheng, Q.; Xie, M.; Cheng, X. Persulfate activation by magnetic γ-Fe2O3/Mn3O4 nanocomposites for degradation of organic pollutants. Sep. Purif. Technol. 2019, 210, 335–342. [Google Scholar] [CrossRef]
- Pakzad, K.; Alinezhad, H.; Nasrollahzadeh, M. Green synthesis of Ni@Fe3O4 and CuO nanoparticles using Euphorbia maculata extract as photocatalysts for the degradation of organic pollutants under UV-irradiation. Ceram. Int. 2019, 45, 17173–17182. [Google Scholar] [CrossRef]
- Zhang, X.; Lin, Q.; Luo, H.; Huang, R.; Xiao, R.; Liu, Q. Activation of persulfate with 3D urchin-like CoO-CuO microparticles for DBP degradation: A catalytic mechanism study. Sci. Total Environ. 2019, 655, 614–621. [Google Scholar] [CrossRef]
- Mohaghegh, N.; Kamrani, S.; Tasviri, M.; Elahifard, M.; Gholami, M. Nanoporous Ag2O photocatalysts based on copper terephthalate metal-organic frameworks. J. Mater. Sci. 2015, 50, 4536–4546. [Google Scholar] [CrossRef]
- Kannan, K.; Radhika, D.; Nikolova, M.P.; Sadasivuni, K.K.; Mahdizadeh, H.; Verma, U. Structural studies of bio-mediated NiO nanoparticles for photocatalytic and antibacterial activities. Inorg. Chem. Commun. 2020, 113, 107755. [Google Scholar] [CrossRef]
- Taheri-Ledari, R.; Valadi, K.; Gharibi, S.; Maleki, A. Synergistic photocatalytic effect between green LED light and Fe3O4/ZnO-modified natural pumice: A novel cleaner product for degradation of methylene blue. Mater. Res. Bull. 2020, 130, 110946. [Google Scholar] [CrossRef]
- Yang, S.; Xu, D.; Chen, B.; Luo, B.; Yan, X.; Xiao, L.; Shi, W. Synthesis and visible-light-driven photocatalytic activity of p–n heterojunction Ag2O/NaTaO3 nanocubes. Appl. Surf. Sci. 2016, 383, 214–221. [Google Scholar] [CrossRef]
- Cao, Y.; Fang, Y.; Lei, X.Y.; Tan, B.H.; Hu, X.; Liu, B.J.; Chen, Q.L. Fabrication of novel CuFe2O4/MXene hierarchical heterostructures for enhanced photocatalytic degradation of sulfonamides under visible light. J. Hazard. Mater. 2020, 387, 122021. [Google Scholar] [CrossRef] [PubMed]
- Ohtani, B. Revisiting the fundamental physical chemistry in heterogeneous photocatalysis: Its thermodynamics and kinetics. Phys. Chem. Chem. Phys. 2014, 16, 1788–1797. [Google Scholar] [CrossRef] [PubMed]
- Schneider, J.; Matsuoka, M.; Takeuchi, M.; Zhang, J.L.; Horiuchi, Y.; Anpo, M.; Bahnemann, D.W. Understanding TiO 2 photocatalysis: Mechanisms and materials. Chem. Rev. 2014, 114, 9919–9986. [Google Scholar] [CrossRef] [PubMed]
- Munawar, T.; Iqbal, F.; Yasmeen, S.; Mahmood, K.; Hussain, A. Multi metal oxide NiO-CdO-ZnO nanocomposite-synthesis, structural, optical, electrical properties and enhanced sunlight driven photocatalytic activity. Ceram. Int. 2020, 46, 2421–2437. [Google Scholar] [CrossRef]
- Puga, A.V. Photocatalytic production Photocatalytic production of hydrogen from biomass-derived feedstocks. Coord. Chem. Rev. 2016, 315, 1–66. [Google Scholar] [CrossRef]
Publisher’s Note: MDPI stays neutral with regard to jurisdictional claims in published maps and institutional affiliations. |
© 2020 by the authors. Licensee MDPI, Basel, Switzerland. This article is an open access article distributed under the terms and conditions of the Creative Commons Attribution (CC BY) license (http://creativecommons.org/licenses/by/4.0/).







