Experimental Investigation on Behavior of Rectangular Concrete-Filled Tubular Columns Considering Diaphragms
Abstract
:1. Introduction
2. Experimental Program
2.1. Specimens
2.2. Material Properties
2.3. Test Setup and Instrumentation
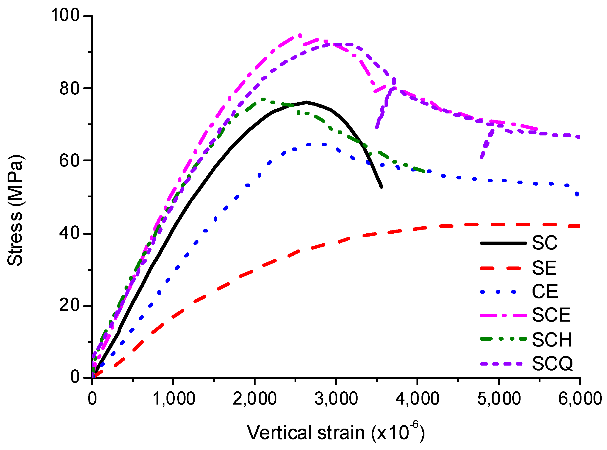
3. Results and Discussions
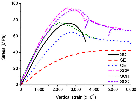
3.1. General Behavior
3.2. Loading Case SE
3.3. Loading Case CE
3.4. Loading Case SCE
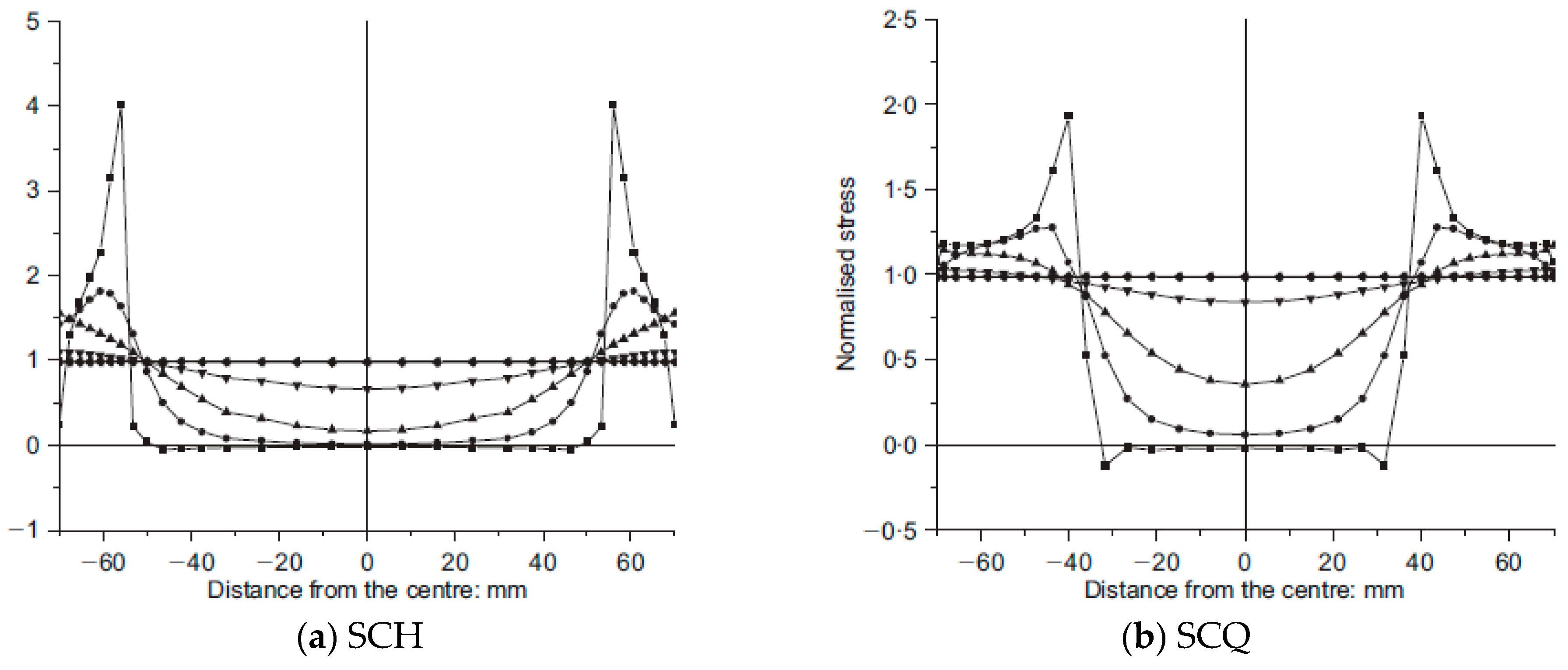
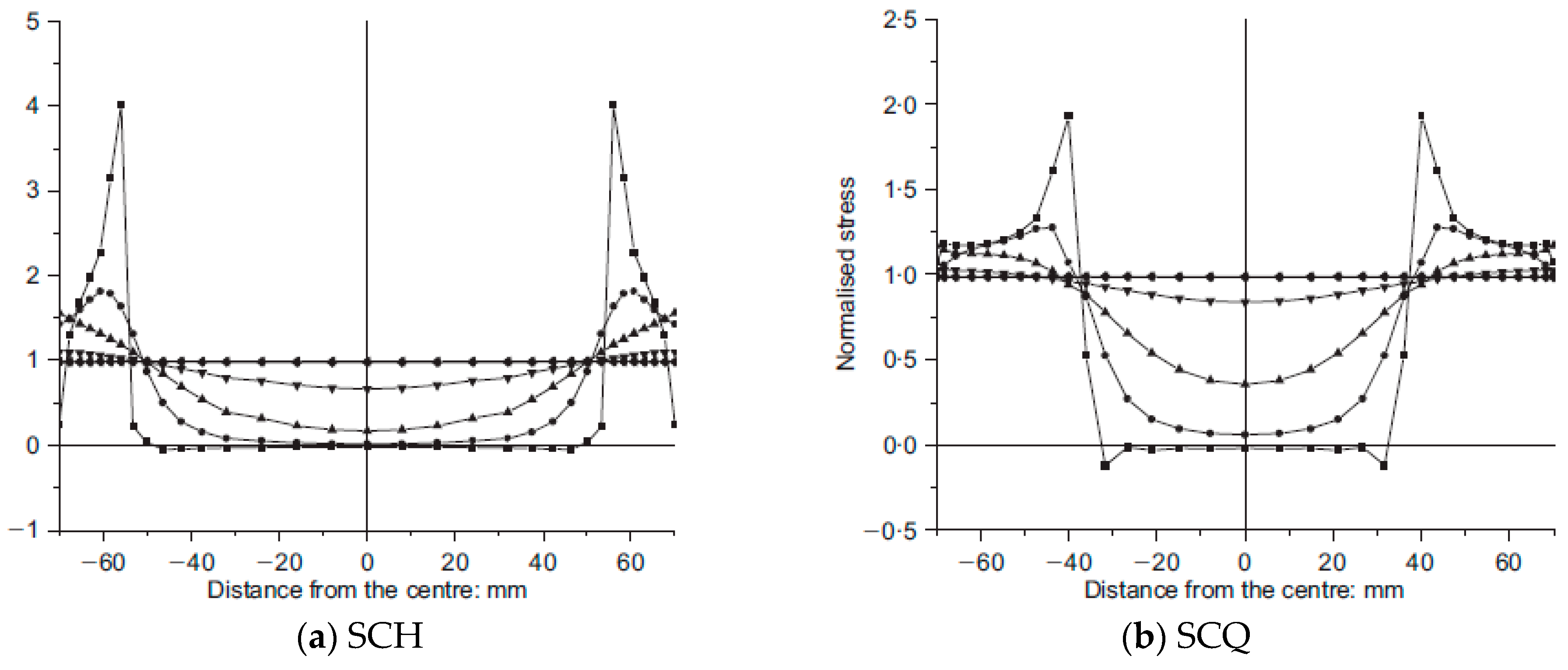
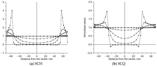
3.5. Loading Case SCH
3.6. Loading Case SCQ
3.7. The Effects of Diaphragms
3.7.1. Average of Experimental Results
3.7.2. Comparison of Experimental Results
4. Conclusions
- The size of the diaphragms has a significant effect on the strength of the CFT columns. The compressive strength of SCE was the highest, followed by SCQ, SCH, CE, and SE. In order to ensure the proper composite actions of steel and concrete, the size of a diaphragm has to be at least three-quarters of the cross-sectional area.
- The compressive strength and toughness of CE was greatly increased due to the confinement effects by the steel tube.
- When half of the cross-sectional area of the concrete was covered with the diaphragm (SCH), CFT columns failed due to the stress concentration resulting in compressive strength similar to the case when only concrete is loaded (CE).
- When three-quarters of the cross-sectional area of the concrete was covered with the diaphragm (SCQ), the compressive strength and toughness of the CFT columns were similar to those of the CFT columns whose the cross-sectional area was entirely covered by the diaphragm (SCE).
- There were no noticeable differences in the strength and toughness according to the length of the SCH because of the concrete failure near ends induced by stress concentration. On the other hand, the compressive strength of SCQ decreased as the length of the specimen increased due to global buckling at mid-height induced by manufacturing defects, residual stresses, and inaccurate test set-up etc.
Author Contributions
Funding
Conflicts of Interest
References
- Shariati, M.; Naghipour, M.; Yousofizinsaz, G.; Toghroli, A.; Tabarestani, N.P. Numerical study on the axial compressive behavior of built-up CFT columns considering different welding lines. Steel Compos. Struct. 2020, 34, 377–391. [Google Scholar]
- Song, T.Y.; Xiang, K. Performance of axially-loaded concrete-filled steel tubular circular columns using ultra-high strength concrete. Structures 2020, 24, 163–176. [Google Scholar] [CrossRef]
- O’Shea, M.D.; Bridge, R.Q. Design of circular thin-walled concrete filled steel tubes. J. Struct. Eng. 2000, 126, 1295–1303. [Google Scholar] [CrossRef]
- Giakoumelis, G.; Lam, D. Axial capacity of circular concrete-filled tube columns. J. Constr. Steel Res. 2004, 60, 1049–1068. [Google Scholar] [CrossRef]
- Zeghiche, J.; Chaoui, K. An experimental behaviour of concrete-filled steel tubular columns. J. Constr. Steel Res. 2005, 61, 53–66. [Google Scholar] [CrossRef]
- Shosuke, M.; Keigo, T. Design and Construction of Concrete-Filled Steel Tube Column System in Japan. Earthq. Eng. Eng. Seismol. 2003, 4, 51–73. [Google Scholar]
- Kwon, S.H.; Kim, Y.Y.; Kim, J.K. Long-term behaviour under axial service loads of circular columns made from concrete filled steel tubes. Mag. Concr. Res. 2005, 57, 87–99. [Google Scholar] [CrossRef]
- Kwon, S.H.; Kim, T.H.; Kim, Y.Y.; Kim, J.K. Long-term behaviour of square concrete-filled steel tubular columns under axial service loads. Mag. Concr. Res. 2007, 59, 53–68. [Google Scholar] [CrossRef]
- Vulcu, C.; Stratan, A.; Ciutina, A.; Dubina, D. Beam-to-CFT High-Strength Joints with External Diaphragm. II: Numerical Simulation of Joint Behavior. J. Struct. Eng. 2017, 143, 04017002. [Google Scholar] [CrossRef]
- Vulcu, C.; Stratan, A.; Ciutina, A.; Dubina, D. Beam-to-CFT High-Strength Joints with External Diaphragm. I: Design and Experimental Validation. J. Struct. Eng. 2017, 143, 04017001. [Google Scholar] [CrossRef]
- Zhang, D.X.; Gao, S.B.; Gong, J.H. Seismic behaviour of steel beam to circular CFST column assemblies with external diaphragms. J. Constr. Steel Res. 2012, 76, 155–166. [Google Scholar] [CrossRef]
- Wang, N.; Lee, M.J. Structural behavior of beam-to-column connections of circular CFST columns by using mixed diaphragms. Int. J. Steel Struct. 2015, 15, 347–364. [Google Scholar] [CrossRef]
- Dong, H.Y.; Li, Y.N.; Cao, W.L.; Qiao, Q.Y.; Li, R.J. Uniaxial compression performance of rectangular CFST columns with different internal construction characteristics. Eng. Struct. 2018, 176, 763–775. [Google Scholar] [CrossRef]
- Choi, S.M.; Jung, D.S.; Kim, D.J.; Kim, J.H. An evaluation equation of load capacities for CFT square column-to-beam connections with combined diaphragm. Steel Compos. Struct. 2007, 7, 303–320. [Google Scholar] [CrossRef]
- Ichinose, L.H.; Watanabe, E.; Nakai, H. An experimental study on creep of concrete filled steel pipes. J. Constr. Steel Res. 2001, 57, 453–466. [Google Scholar] [CrossRef]
- Bardi, F.C.; Kyriakides, S. Plastic buckling of circular tubes under axial compression—Part I: Experiments. Int. J. Mech. Sci. 2006, 48, 830–841. [Google Scholar] [CrossRef]
- Tvergaard, V. Plastic Buckling of Axially Compressed Circular Cylindrical-Shells. Thin Wall Struct. 1983, 1, 139–163. [Google Scholar] [CrossRef]
- Gardner, L.; Nethercot, D.A. Experiments on stainless steel hollow sections—Part 1: Material and cross-sectional behaviour. J. Constr. Steel Res. 2004, 60, 1291–1318. [Google Scholar] [CrossRef]
- Zhao, H.; Sun, Y.P.; Takeuchi, T.; Zhao, S.C. Comprehensive stress-strain model of square steel tube stub columns under compression. Eng. Struct. 2017, 131, 503–512. [Google Scholar] [CrossRef]
- Zhao, Z.F.; Kwon, S.H.; Shah, S.P. Effect of specimen size on fracture energy and softening curve of concrete: Part I. Experiments and fracture energy. Cem. Concr. Res. 2008, 38, 1049–1060. [Google Scholar] [CrossRef]
- Neville, A.M. Properties of Concrete, 5th ed.; Pearson: Harlow, UK; New York, NY, USA, 2011; 846p. [Google Scholar]
- Gere, J.M.; Goodno, B.J. Mechanics of Materials, 8th ed.; Cengage Learning: Stamford, CT, USA, 2013; 1130p. [Google Scholar]






















| Loading Case | CFT Column Length | ||
|---|---|---|---|
| 600 mm | 900 mm | 1200 mm | |
| SE | 2 | - | - |
| SCE | 2 | - | - |
| CE | 2 | - | - |
| SCQ | 2 | 2 | 2 |
| SCH | 2 | 2 | 2 |
| W/B | Unit Weight (kg/m3) | |||||
|---|---|---|---|---|---|---|
| W | C | FA 1 | S | G | SP 2 | |
| 0.32 | 172 | 480 | 60 | 780 | 1000 | 7.2 |
| Material | Elastic Modulus (GPa) | Strength (MPa) | Poisson’s Ratio |
|---|---|---|---|
| Concrete | 27.1 | 47.7 (28 days) | 0.18 |
| Steel | 196 | 284 (Yielding) | 0.30 |
| Title 1 | Compressive Strength (MPa) | Peak Strain (× 10−6) | Failure Mode |
|---|---|---|---|
| SE-1 | 42.3 | 5150 | Local buckling at multiple regions |
| SE-2 | 42.8 | 4970 | Local buckling in near mid-height |
| CE-1 | 63.1 | 2610 | Failure of concrete near bottom |
| CE-2 | 66.8 | 2950 | Failure of concrete near bottom |
| SCE-1 | 92.9 | 2390 | Local buckling near bottom |
| SCE-2 | 97.4 | 2740 | Local buckling at multiple regions |
| SCH-600–1 | 80.3 | 2110 | Local buckling near top |
| SCH-600–2 | 74.1 | 2140 | Local buckling near top |
| SCH-900–1 | 80.4 | 2170 | Local buckling near top |
| SCH-900–2 | 72.4 | 2460 | Local buckling near top |
| SCH-1200–1 | 76.1 | 1940 | Local buckling near top |
| SCH-1200–2 | 78.7 | 2000 | Local buckling near top |
| SCQ-600–1 | 92.5 | 3020 | Local buckling near mid-height |
| SCQ-600–2 | Data loss | Data loss | Local buckling near bottom |
| SCQ-900–1 | 91.1 | 2810 | Local buckling at multiple regions |
| SCQ-900–2 | Data loss | Data loss | Local buckling at multiple regions |
| SCQ-1200–1 | 89.8 | 2580 | Local and global buckling |
| SCQ-1200–2 | 86.3 | 2500 | Local and global buckling |
© 2020 by the authors. Licensee MDPI, Basel, Switzerland. This article is an open access article distributed under the terms and conditions of the Creative Commons Attribution (CC BY) license (http://creativecommons.org/licenses/by/4.0/).
Share and Cite
Cha, S.-L.; Lee, J.-S.; Park, C.-K.; Kim, J.-K.; Kwon, S.-H. Experimental Investigation on Behavior of Rectangular Concrete-Filled Tubular Columns Considering Diaphragms. Materials 2020, 13, 4412. https://doi.org/10.3390/ma13194412
Cha S-L, Lee J-S, Park C-K, Kim J-K, Kwon S-H. Experimental Investigation on Behavior of Rectangular Concrete-Filled Tubular Columns Considering Diaphragms. Materials. 2020; 13(19):4412. https://doi.org/10.3390/ma13194412
Chicago/Turabian StyleCha, Sang-Lyul, Jung-Soo Lee, Chan-Kyu Park, Jin-Keun Kim, and Seung-Hee Kwon. 2020. "Experimental Investigation on Behavior of Rectangular Concrete-Filled Tubular Columns Considering Diaphragms" Materials 13, no. 19: 4412. https://doi.org/10.3390/ma13194412
APA StyleCha, S.-L., Lee, J.-S., Park, C.-K., Kim, J.-K., & Kwon, S.-H. (2020). Experimental Investigation on Behavior of Rectangular Concrete-Filled Tubular Columns Considering Diaphragms. Materials, 13(19), 4412. https://doi.org/10.3390/ma13194412

