Strengths, Microstructure and Nanomechanical Properties of Concrete Containing High Volume of Zeolite Powder
Abstract
1. Introduction
2. Experimental Section
2.1. Raw Materials
2.2. Mixture Proportions
2.3. Test Methods
3. Results and Discussion
3.1. Compressive Strength
3.2. SEM Analysis
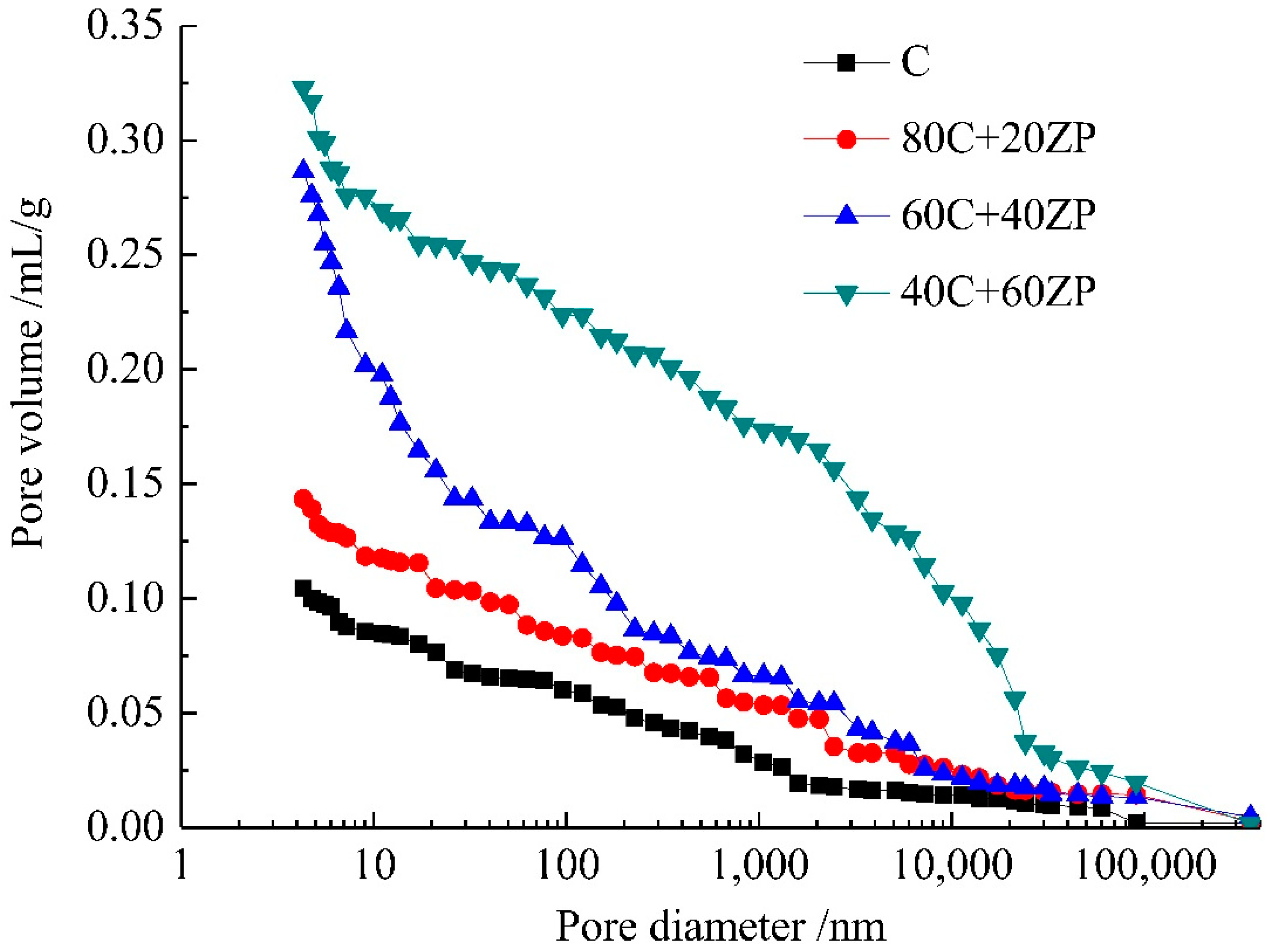
3.3. Pore Structure
3.4. Nanoindentation Investigation
4. Conclusions
Author Contributions
Funding
Conflicts of Interest
References
- McLellan, B.C.; Williams, R.P.; Lay, J.; Riessen, A.V.; Corder, G.D. Costs and carbon emissions forgeopolymer pastes in comparison to ordinary Portland cement. J. Clean. Prod. 2011, 19, 1080–1090. [Google Scholar] [CrossRef]
- Shi, C.; Qu, B.; Provis, J.L. Recent progress in low-carbon binders. Cem. Concr. Res. 2019, 122, 227–250. [Google Scholar] [CrossRef]
- Skibsted, J.; Snellings, R. Reactivity of supplementary cementitious materials (SCMs) in cement blends. Cem. Concr. Res. 2019, 124, 105799. [Google Scholar] [CrossRef]
- Dhandapani, Y.; Santhanam, M. Investigation on the microstructure-related characteristics to elucidate performance of composite cement with limestone-calcined clay combination. Cem. Concr. Res. 2020, 129, 105959. [Google Scholar] [CrossRef]
- Ramezanianpour, A.M.; Hooton, R.D. A study on hydration, compressive strength, and porosity of Portland-limestone cement mixes containing SCMs. Cem. Concr. Compos. 2014, 51, 1–13. [Google Scholar] [CrossRef]
- Dhandapani, Y.; Sakthivel, T.; Santhanam, M.; Gettu, R.; Pillai, R.G. Mechanical properties and durability performance of concretes with Limestone Calcined Clay Cement (LC3). Cem. Concr. Res. 2018, 107, 136–151. [Google Scholar] [CrossRef]
- Khosravani, M.R.; Nasiri, S.; Anders, D.; Weinberg, K. Prediction of dynamic properties of ultra-high performance concrete by an artificial intelligence approach. Adv. Eng. Softw. 2019, 127, 51–58. [Google Scholar] [CrossRef]
- Khosravani, M.R.; Wagner, P.; Fröhlich, D.; Weinberg, K. Dynamic fracture investigations of ultra-high performance concrete by spalling tests. Eng. Struct. 2019, 201, 109844. [Google Scholar] [CrossRef]
- Bentegri, I.; Boukendakdji, O.; Kadri, E.-H.; Ngo, T.T.; Soualhi, H. Rheological and tribological behaviors of polypropylene fiber reinforced concrete. Constr. Build. Mater. 2020, 261, 119962. [Google Scholar] [CrossRef]
- Yang, T.; Zhang, Z.; Zhu, H.; Gao, X.; Dai, C.; Wu, Q. Re-Examining the suitability of high magnesium nickel slag as precursors for alkali-activated materials. Constr. Build. Mater. 2019, 213, 109–120. [Google Scholar] [CrossRef]
- Yang, T.; Zhang, Z.; Zhu, H.; Zhang, W.; Gao, Y.; Zhang, X.; Wu, Q. Effects of calcined dolomite addition on reaction kinetics of one-part sodium carbonate-activated slag cements. Constr. Build. Mater. 2019, 211, 329–336. [Google Scholar] [CrossRef]
- Feng, Y.; Kero, J.; Yang, Q.; Chen, Q.; Engström, F.; Samuelsson, C.; Qi, C. Mechanical activation of granulated copper slag and its influence on hydration heat and compressive strength of blended cement. Materials 2019, 12, 772. [Google Scholar] [CrossRef] [PubMed]
- Lin, R.; Wang, X.; Lee, H.; Cho, H. Hydration and microstructure of cement pastes with calcined Hwangtoh clay. Materials 2019, 12, 458. [Google Scholar] [CrossRef] [PubMed]
- Zhang, Z.; Provis, J.L.; Zou, J.; Reid, A.; Wang, H. Toward an indexing approach to evaluate fly ashes for geopolymer manufacture. Cem. Concr. Res. 2016, 85, 163–173. [Google Scholar] [CrossRef]
- Makhloufi, Z.; Chettih, M.; Bederina, M.; Kadri, E.L.H.; Bouhicha, M. Effect of quaternary cementitous systems containing limestone, blast furnace slag and natural pozzolan on mechanical behavior of limestone mortars. Constr. Build. Mater. 2015, 95, 647–657. [Google Scholar] [CrossRef]
- Snellings, R.; Mertens, G.; Cizer, Ö.; Elsen, J. Early age hydration and pozzolanic reaction in natural zeolite blended cements: Reaction kinetics and products by in situ synchrotron X-ray powder diffraction. Cem. Concr. Res. 2010, 40, 1704–1713. [Google Scholar] [CrossRef]
- Sersale, R. Structure et caractérisation des pouzzolanes et des cendres volantes. In Proceedings of the 7th Symposium on the Chemistry of Cement, Paris, France, 30 June–4 July 1980; pp. 3–21. [Google Scholar]
- Chan, S.Y.; Ji, X. Comparative study of the initial surface absorption and chloride diffusion of high performance zeolite, silica fume and PFA concretes. Cem. Concr. Compos. 1999, 21, 293–300. [Google Scholar] [CrossRef]
- Blanco, R.; Lam, M. Non-Conventional aggregates and mineral admixtures in high-performance concrete. In Proceedings of the Seventh International Symposium on the Utilization of High Strength/High-Performance Concrete, Washington, WA, USA, 20–24 June 2005; pp. 123–143. [Google Scholar]
- Uzal, B.; Turanlı, L. Blended cements containing high volume of natural zeolites: Properties, hydration and paste microstructure. Cem. Concr. Compos. 2012, 34, 101–109. [Google Scholar] [CrossRef]
- Perraki, T.; Kontori, E.; Tsivilis, S.; Kakali, G. The effect of zeolite on the properties and hydration of blended cements. Cem. Concr. Compos. 2010, 32, 128–133. [Google Scholar] [CrossRef]
- Sedić, K.; Ukrainczyk, N.; Mandić, V.; Gaurina-Međimurec, N.; Šipušić, J. Carbonation of Portland-Zeolite and geopolymer well-cement composites under geologic CO2 sequestration conditions. Cem. Concr. Compos. 2020, 111, 103615. [Google Scholar] [CrossRef]
- Xu, W.; Chen, J.J.; Wei, J.; Zhang, B.; Yuan, X.; Xu, P.; Yu, Q.; Ren, J. Evaluation of inherent factors on flowability, cohesiveness and strength of cementitious mortar in presence of zeolite powder. Constr. Build. Mater. 2019, 214, 61–73. [Google Scholar] [CrossRef]
- Hu, C.; Li, Z. A review on the mechanical properties of cement-based materials measured by nanoindetation. Constr. Build. Mater. 2015, 90, 80–90. [Google Scholar] [CrossRef]
- Lee, H.; Vimonsatit, V.; Chindaprasirt, P. Mechanical and micromechanical properties of alkali activated fly-ash cement based on nano-indentation. Constr. Build. Mater. 2016, 107, 95–102. [Google Scholar] [CrossRef]
- Luo, Z.; Li, W.; Wang, K.; Shah, S.P. Research progress in advanced nanomechanical characterization of cement based materials. Cem. Concr. Compos. 2018, 94, 277–295. [Google Scholar] [CrossRef]
- He, Z.; Zhan, P.; Du, S.; Liu, B.; Yuan, W. Creep behavior of concrete containing glass powder. Compos. Part B 2019, 166, 13–20. [Google Scholar] [CrossRef]
- He, Z.; Du, S.; Chen, D. Microstructure of ultra high performance concrete containing lithium slag. J. Hazard. Mater. 2018, 353, 35–43. [Google Scholar] [CrossRef]
- Wang, X.; Jacobsen, S.; He, J.; Zhang, Z.; Lee, S.F.; Lein, H.L. Application of nanoindentation testing to study of the interfacial transition zone in steel fiber reinforced mortar. Cem. Concr. Res. 2009, 39, 701–715. [Google Scholar] [CrossRef]
- He, Z.; Qian, C.; Zhang, Y.; Zhao, F.; Hu, Y. Nanoindentation characteristics of cement with different mineral admixtures. Sci. China Technol. Sci. 2013, 56, 1119–1123. [Google Scholar] [CrossRef]














| Materials | SO3 | SiO2 | Fe2O3 | Al2O3 | CaO | MgO | K2O | LOI |
|---|---|---|---|---|---|---|---|---|
| PC | 2.11 | 23.12 | 2.88 | 4.12 | 61.68 | 0.98 | 0.21 | 3.23 |
| ZP | 0.71 | 66.98 | 1.21 | 19.88 | 3.67 | 0.49 | 0.06 | 4.71 |
| Samples | Cement | ZP | River Sand | Crushed Granite | Water | Superplasticizer |
|---|---|---|---|---|---|---|
| C | 450 | 0 | 726 | 1089 | 135 | 3.05 |
| 80C + 20ZP | 360 | 90 | 726 | 1089 | 135 | 3.74 |
| 60C + 40ZP | 270 | 180 | 726 | 1089 | 135 | 4.32 |
| 40C + 60ZP | 180 | 270 | 726 | 1089 | 135 | 4.85 |
| Sample | <50 nm (mL/g) | 50~100 nm (mL/g) | >100 nm (mL/g) | Total Porosity (mL/g) |
|---|---|---|---|---|
| C | 0.039 | 0.005 | 0.060 | 0.104 |
| 80C + 20ZP | 0.046 | 0.014 | 0.084 | 0.143 |
| 60C + 40ZP | 0.153 | 0.007 | 0.126 | 0.286 |
| 40C + 60ZP | 0.080 | 0.020 | 0.224 | 0.323 |
| Sample | <50 nm (mL/g) | 50~100 nm (mL/g) | >100 nm (mL/g) | Total Porosity (mL/g) |
|---|---|---|---|---|
| C | 0.026 | 0.007 | 0.040 | 0.073 |
| 80C + 20ZP | 0.022 | 0.004 | 0.030 | 0.055 |
| 60C + 40ZP | 0.022 | 0.006 | 0.057 | 0.085 |
| 40C + 60ZP | 0.055 | 0.007 | 0.082 | 0.144 |
| Samples | Pore | LD C-S-H Gel | HD C-S-H Gel | CH | Unhydrated Particles |
|---|---|---|---|---|---|
| C | 4.21 | 51.14 | 23.42 | 12.25 | 7.21 |
| 80C + 20ZP | 3.34 | 23.41 | 53.25 | 8.31 | 8.95 |
| 60C + 40ZP | 5.21 | 18.32 | 50.21 | 7.12 | 15.42 |
| 40C + 60ZP | 6.54 | 16.54 | 41.45 | 4.52 | 23.12 |
© 2020 by the authors. Licensee MDPI, Basel, Switzerland. This article is an open access article distributed under the terms and conditions of the Creative Commons Attribution (CC BY) license (http://creativecommons.org/licenses/by/4.0/).
Share and Cite
Yu, Z.; Yang, W.; Zhan, P.; Liu, X.; Chen, D. Strengths, Microstructure and Nanomechanical Properties of Concrete Containing High Volume of Zeolite Powder. Materials 2020, 13, 4191. https://doi.org/10.3390/ma13184191
Yu Z, Yang W, Zhan P, Liu X, Chen D. Strengths, Microstructure and Nanomechanical Properties of Concrete Containing High Volume of Zeolite Powder. Materials. 2020; 13(18):4191. https://doi.org/10.3390/ma13184191
Chicago/Turabian StyleYu, Zhouping, Weijun Yang, Peimin Zhan, Xian Liu, and Deng Chen. 2020. "Strengths, Microstructure and Nanomechanical Properties of Concrete Containing High Volume of Zeolite Powder" Materials 13, no. 18: 4191. https://doi.org/10.3390/ma13184191
APA StyleYu, Z., Yang, W., Zhan, P., Liu, X., & Chen, D. (2020). Strengths, Microstructure and Nanomechanical Properties of Concrete Containing High Volume of Zeolite Powder. Materials, 13(18), 4191. https://doi.org/10.3390/ma13184191
