Microstructure and Optical Properties of E-Beam Evaporated Zinc Oxide Films—Effects of Decomposition and Surface Desorption
Abstract
1. Introduction
2. Materials and Methods
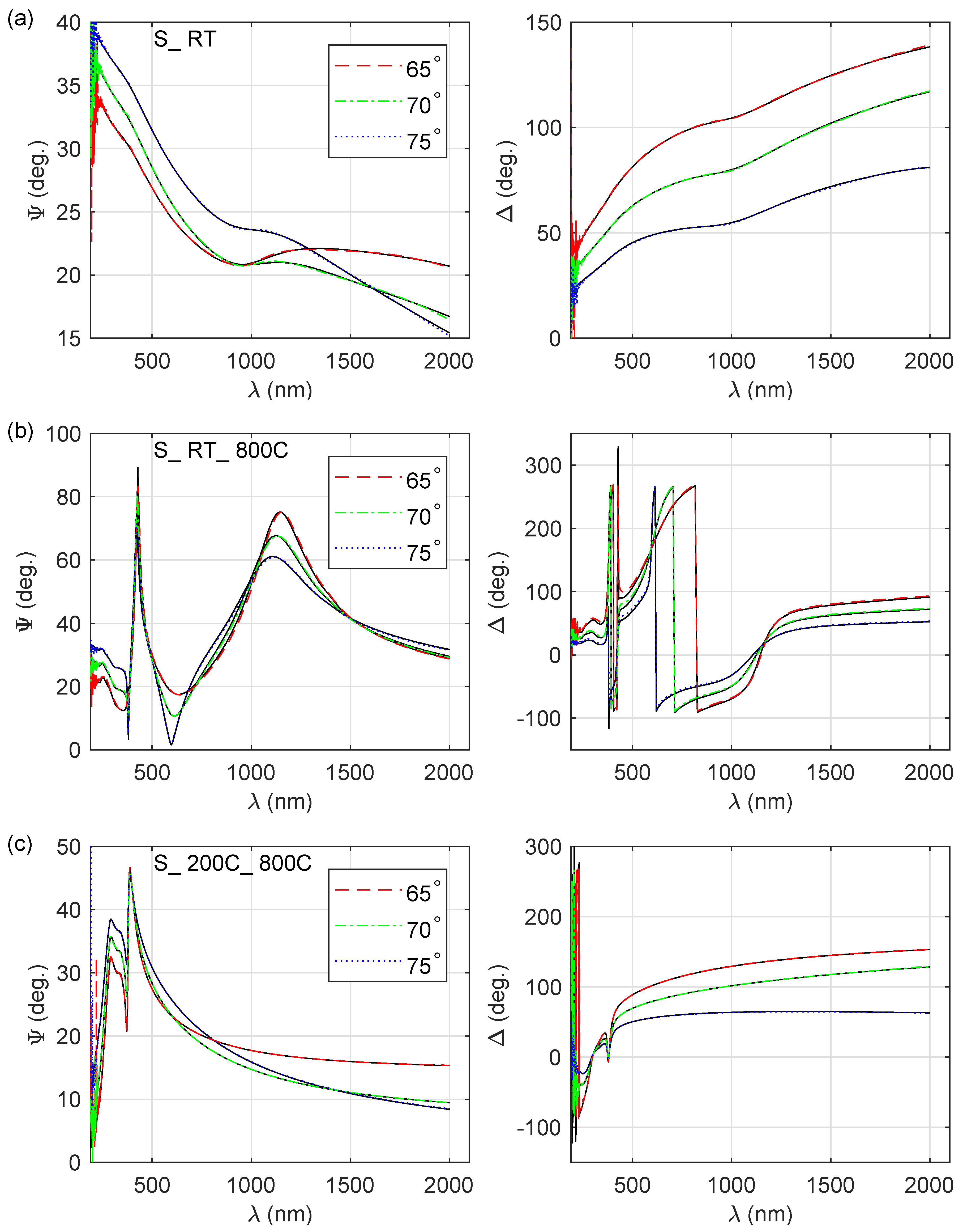
3. Results
- a Sellemeier-type dispersion relation (a Pole oscillator; ),
- a Drude term (; for the S_RT and S_ RT_ 300 samples) or a Tauc–Lorentz oscillator (; for the other specimens) and
- a sum of Gaussian oscillators ().
4. Discussion
5. Conclusions
Author Contributions
Funding
Conflicts of Interest
Appendix A. SEM Images

References
- Özgür, Ü.; Alivov, Y.I.; Liu, C.; Teke, A.; Reshchikov, M.A.; Doǧan, S.; Avrutin, V.; Cho, S.-J.; MorkoÇ, K. A comprehensive review of ZnO materials and devices. J. Appl. Phys. 2005, 98, 041301. [Google Scholar] [CrossRef]
- Djurišić, A.B.; Ng, A.M.C.; Chen, X.Y. ZnO nanostructures for optoelectronics: Material properties and device applications. Prog. Quantum Electron. 2010, 34, 191–259. [Google Scholar] [CrossRef]
- Pal, D.; Singhal, J.; Mathur, A.; Singh, A.; Dutta, S.; Zollner, S.; Chattopadhyay, S. Effect of substrates and thickness on optical properties in atomic layer deposition grown ZnO thin films. Appl. Surf. Sci. 2017, 421, 341–348. [Google Scholar] [CrossRef]
- Guziewicz, E.; Kowalik, I.A.; Godlewski, M.; Kopalko, K.; Osinniy, V.; Wójcik, A.; Yatsunenko, S.; usakowska, E.; Paszkowicz, W.; Guziewicz, M. Extremely low temperature growth of ZnO by atomic layer deposition. J. Appl. Phys. 2008, 103, 033515. [Google Scholar] [CrossRef]
- Muth, J.F.; Lee, J.H.; Shmagin, I.K.; Kolbas, R.M.; Casey, H.C., Jr.; Keller, B.P.; Mishra, U.K.; DenBaars, S.P. Absorption coefficient, energy gap, exciton binding energy, and recombination lifetime of GaN obtained from transmission measurements. Appl. Phys. Lett. 1997, 71, 2572–2574. [Google Scholar] [CrossRef]
- Tan, S.T.; Chen, B.J.; Sun, X.W.; Fan, W.J.; Kwok, H.S.; Zhang, X.H.; Chua, S.J. Blueshift of optical band gap in ZnO thin films grown by metal-organic chemical-vapor deposition. J. Appl. Phys. 2005, 98, 013505. [Google Scholar] [CrossRef]
- Peiró, A.M.; Ravirajan, P.; Govender, K.; Boyle, D.S.; O’Brien, P.; Bradley, D.D.; Nelson, J.; Durrant, J.R. Hybrid polymer/metal oxide solar cells based on ZnO columnar structures. J. Mater. Chem. 2006, 16, 2088–2096. [Google Scholar] [CrossRef]
- Huang, J.; Yin, Z.; Zheng, Q. Applications of ZnO in organic and hybrid solar cells. Energy Environ. Sci. 2011, 4, 3861–3877. [Google Scholar] [CrossRef]
- Carcia, P.F.; McLean, R.S.; Reilly, M.H. High-performance ZnO thin-film transistors on gate dielectrics grown by atomic layer deposition. Appl. Phys. Lett. 2006, 88, 123509. [Google Scholar] [CrossRef]
- Suchea, M.; Christoulakis, S.; Moschovis, K.; Katsarakis, N.; Kiriakidis, G. ZnO transparent thin films for gas sensor applications. Thin Solid Films 2006, 515, 551–554. [Google Scholar] [CrossRef]
- Kim, J.; Lee, J. Wet chemical etching of ZnO films using NHx-based (NH4)2CO3 and NH4OH alkaline solution. J. Mater. Sci. 2017, 52, 13054–13063. [Google Scholar] [CrossRef]
- Velayi, E.; Norouzbeigi, R. Synthesis of hierarchical superhydrophobic zinc oxide nano-structures for oil/water separation. Ceram. Int. 2018, 44, 14202–14208. [Google Scholar] [CrossRef]
- Nie, J.C.; Yang, J.Y.; Piao, Y.; Li, H.; Sun, Y.; Xue, Q.M.; Xiong, C.M.; Dou, R.F.; Tu, Q.Y. Quantum confinement effect in ZnO thin films grown by pulsed laser deposition. Appl. Phys. Lett. 2008, 93, 173104. [Google Scholar] [CrossRef]
- Mosquera, A.A.; Horwat, D.; Rashkovskiy, A.; Kovalev, A.; Miska, P.; Wainstein, D.; Albella, J.M.; Endrino, J.L. Exciton and core-level electron confinement effects in transparent ZnO thin films. Sci. Rep. 2013, 3, 1714. [Google Scholar] [CrossRef]
- Li, X.D.; Chen, T.P.; Liu, P.; Liu, Y.; Liu, Z.; Leong, K.C. A study on the evolution of dielectric function of ZnO thin films with decreasing film thickness. J. Appl. Phys. 2014, 115, 103512. [Google Scholar] [CrossRef]
- Agarwal, D.C.; Chauhan, R.S.; Kumar, A.; Kabiraj, D.; Singh, F.; Khan, S.A.; Avasthi, D.K.; Pivin, J.C.; Kumar, M.; Ghatak, J.; et al. Synthesis and characterization of ZnO thin film grown by electron beam evaporation. J. Appl. Phys. 2006, 99, 123105. [Google Scholar] [CrossRef]
- Wu, H.Z.; He, K.M.; Qiu, D.J.; Huang, D.M. Low-temperature epitaxy of ZnO films on Si(001) and silica by reactive e-beam evaporation. J. Cryst. Growth 2017, 217, 131–137. [Google Scholar] [CrossRef]
- Varnamkhasti, M.G.; Fallah, H.R.; Zadsar, M. Effect of heat treatment on characteristics of nanocrystalline ZnO films by electron beam evaporation. Vacuum 2012, 86, 871–875. [Google Scholar] [CrossRef]
- Asmar, R.D.; Zaouk, D.; Bahouth, P.H.; Podleki, J.; Foucaran, A. Characterization of electron beam evaporated ZnO thin films and stacking ZnO fabricated by e-beam evaporation and rf magnetron sputtering for the realization of resonators. Microelectron. Eng. 2006, 83, 393–398. [Google Scholar] [CrossRef]
- Yun, E.-J.; Jung, J.W.; Han, Y.H.; Kim, M.-W.; Lee, B.C. Effect of high-energy electron beam irradiation on the properties of ZnO thin films prepared by magnetron sputtering. J. Appl. Phys. 2009, 105, 123509. [Google Scholar] [CrossRef]
- Chen, Y.; Nayak, J.; Ko, H.-U.; Kim, J. Effect of annealing temperature on the characteristics of ZnO thin films. J. Phys. Chem. Solids 2012, 73, 1259–1263. [Google Scholar] [CrossRef]
- Kaviyarasu, K.; Magdalane, C.M.; Kanimozhi, K.; Kennedy, J.; Siddhardha, B.; Reddy, E.S.; Rotte, N.K.; Sharma, C.S.; Thema, F.T.; Letsholathebe, D.; et al. Elucidation of photocatalysis, photoluminescence and antibacterial studies of ZnO thin films by spin coating method. J. Photochem. Photobiol. B 2017, 173, 466–475. [Google Scholar] [CrossRef] [PubMed]
- Kato, H.; Sano, M.; Miyamoto, K.; Yao, T. Effect of O/Zn flux ratio on crystalline quality of ZnO films grown by plasma-assisted molecular beam epitaxy. Jpn. J. Appl. Phys. 2003, 42, 2241–2244. [Google Scholar] [CrossRef]
- Ciesielski, A.; Skowronski, L.; Trzcinski, M.; Górecka, E.; Trautman, P.; Szoplik, T. Evidence of germanium segregation in gold thin films. Surf. Sci. 2018, 674, 73–78. [Google Scholar] [CrossRef]
- Ciesielski, A.; Skowronski, L.; Trzcinski, M.; Szoplik, T. Controlling the optical parameters of self-assembled silver films with wetting layers and annealing. Appl. Surf. Sci. 2017, 421, 349–356. [Google Scholar] [CrossRef]
- Ciesielski, A.; Trzcinski, M.; Szoplik, T. Inhibiting the segregation of germanium in silver nanolayers. Crystals 2020, 10, 262. [Google Scholar] [CrossRef]
- Garlisi, C.; Scandura, G.; Szlachetko, J.; Ahmadi, S.; Sa, J.; Palmisano, G. E-beam evaporated TiO2 and Cu-TiO2 on glass: Performance in the discoloration of methylene blue and 2-propanol oxidation. Appl. Catal. A 2016, 526, 191–199. [Google Scholar] [CrossRef]
- Material Deposition Chart. Available online: https://www.lesker.com/newweb/deposition_materials/materialdepositionchart.cfm?pgid=0 (accessed on 8 August 2020).
- Jiang, N. Electron beam damage in oxides: A review. Rep. Prog. Phys. 2016, 79, 016501. [Google Scholar] [CrossRef]
- Watanabe, H.; Fujita, S.; Maruno, S.; Fujita, K.; Ichikawa, M. Electron-beam-induced selective thermal decomposition of ultrathin SiO2 layers used in nanofabrication. Jpn. J. Appl. Phys. 1997, 36, 7777–7781. [Google Scholar] [CrossRef]
- Mens, A.J.M.; Gijzeman, O.L.J. AES study of electron beam induced damage on TiO2 surfaces. Appl. Surf. Sci. 1996, 99, 133–143. [Google Scholar] [CrossRef]
- Pinhas, H.; Malka, D.; Danan, Y.; Sinvani, M.; Zalevsky, Z. Design of fiber-integrated tunable thermo-optic C-band filter based on coated silicon slab. J. Eur. Opt. Soc. Rapid Publ. 2017, 13, 32. [Google Scholar] [CrossRef]
- Samoi, E.; Benezra, Y.; Malka, D. An ultracompact 3 × 1 MMI power-combiner based on Si slot-waveguide structures. Photonic. Nanostruct. 2020, 39, 100780. [Google Scholar] [CrossRef]
- Fujiwara, H. Spectroscopic Ellipsometry. In Principles and Applications; John Wiley & Sons Ltd.: Chichester, UK, 2009. [Google Scholar]
- J.A. Woollam Co., Inc. Guide to Using WVASE32®; Wextech Systems Inc.: New York, NY, USA, 2010. [Google Scholar]
- Rerek, T.; Skowronski, L.; Szczesny, R.; Naparty, M.K.; Derkowska-Zielinska, B. The effect of the deposition rate on microstructural and opto-electronic properties of β-Sn layers. Thin Solid Films 2019, 670, 86–92. [Google Scholar] [CrossRef]
- Mosteller, L.P.; Wooten, F. Optical Properties of Zn. Phys. Rev. 1968, 171, 743–749. [Google Scholar] [CrossRef]
- Yoshikawa, H.; Adachi, S. Optical Constants of ZnO. Jpn. J. Appl. Phys. 1997, 36, 6237–6243. [Google Scholar] [CrossRef]
- Hüfner, S. Photoelectron Spectroscopy: Principles and Applications; Springer: Berlin/Heidelberg, Germany, 2003. [Google Scholar]
- Nefedov, V.I. XPS of Solid Surfaces; VSP: Utrecht, The Netherlands, 1988. [Google Scholar]
- Mass, J.; Bhattacharya, P.; Katiyar, R.S. Effect of high substrate temperature on Al-doped ZnO thin films grown by pulsed laser deposition. Mater. Sci. Eng. B 2003, 103, 9–15. [Google Scholar] [CrossRef]
- Chen, T.; Liu, S.-Y.; Xie, Q.; Detavernier, C.; Van Meirhaeghe, R.L.; Qu, X.-P. The effects of deposition temperature and ambient on the physical and electrical performance of DC-sputtered n-ZnO/p-Si heterojunction. Appl. Phys. A 2010, 98, 357–365. [Google Scholar] [CrossRef]
- Lai, L.-W.; Lee, C.-T. Investigation of optical and electrical properties of ZnO thin films. Mater. Chem. Phys. 2008, 110, 393–396. [Google Scholar] [CrossRef]
- Paul, A.; Laurila, T.; Vuorinen, V.; Divinski, S.V. Thermodynamics, Diffusion and the Kirkendall Effect in Solids; Springer: Berlin/Heidelberg, Germany, 2014. [Google Scholar]
- Lejček, P. Grain Boundary Segregation in Metals; Springer: Berlin/Heidelberg, Germany, 2010. [Google Scholar]
- Wynblatt, P.; Ku, R.C. Surface energy and solute strain energy effects in surface segregation. Surf. Sci. 1977, 65, 511–531. [Google Scholar] [CrossRef]
- Rudawska, A.; Kuczmaszewski, J. Surface free energy of zinc coating after finishing treatment. MSP 2006, 24, 975–981. [Google Scholar]
- Maitland, A.H.; Chadwick, G.A. The cleavage surface energy of zinc. Philos. Mag. 1969, 19, 645–651. [Google Scholar] [CrossRef]
- Bilello, J.C.; DewHughes, D.; Pucino, A.T. The surface energy of zinc. J. Appl. Phys. 1983, 54, 1821–1826. [Google Scholar] [CrossRef]
- Mora Fonz, D.P. A Theoretical Study on the Surfaces of Zinc Oxide. Ph.D. Thesis, University College London, London, UK, 2016. [Google Scholar]
- Tang, C.; Spencer, M.J.S.; Barnard, A.S. Activity of ZnO polar surfaces: An insight from surface energies. Phys. Chem. Chem. Phys. 2014, 16, 22139–22144. [Google Scholar] [CrossRef] [PubMed]
- Wang, S.; Fan, Z.; Koster, R.S.; Fang, C.; van Huis, M.A.; Yalcin, A.O.; Tichelaar, F.D.; Zandbergen, H.W.; Vlugt, T.J.H. New Ab initio based pair potential for accurate simulation of phase transitions in ZnO. J. Phys. Chem. C 2014, 118, 11050–11061. [Google Scholar] [CrossRef]
- Flötotto, D.; Wang, Z.M.; Jeurgens, L.P.H.; Bischoff, E.; Mittemeijer, E.J. Effect of adatom surface diffusivity on microstructure and intrinsic stress evolutions during Ag film growth. J. Appl. Phys. 2012, 112, 043503. [Google Scholar] [CrossRef]
- Mahieu, S.; Ghekiere, P.; Depla, D.; De Gryse, R. Biaxial alignment in sputter deposited thin films. Thin Solid Films 2006, 515, 1229–1249. [Google Scholar] [CrossRef]
- Ciesielski, A.; Skowroński;, Ł.; Górecka, E.; Kierdaszuk, J.; Szoplik, T. Growth model and structure evolution of Ag films deposited on Ge. Beilstein J. Nanotechnol. 2018, 9, 66–76. [Google Scholar] [CrossRef]
- Kitsyuk, E.P.; Gromov, D.G.; Redichev, E.N.; Sagunova, I.V. Specifics of low-temperature melting and disintegration in to drops of silver thin films. Prot. Metals Phys. Chem. 2012, 48, 304–309. [Google Scholar] [CrossRef]






| Sample id. | (C) | (C) |
|---|---|---|
| S_RT | RT | – |
| S_RT_300C | RT | 300 |
| S_RT_500C | RT | 500 |
| S_RT_800C | RT | 800 |
| S_100C | 100 | – |
| S_100C_300C | 100 | 300 |
| S_100C_500C | 100 | 500 |
| S_100C_800C | 100 | 800 |
| S_200C | 200 | – |
| S_200C_300C | 200 | 300 |
| S_200C_500C | 200 | 500 |
| S_200C_800C | 200 | 800 |
| Sample id. | Form of | (nm) | (nm) | (nm) | (nm) | (nm) |
|---|---|---|---|---|---|---|
| S_RT | Equation (3) | 325 ± 10 | 37.2 ± 1.3 | 20.7 | 16.6 | 150 |
| S_RT_300C | Equation (3) | 299 ± 20 | 41.3 ± 1.5 | 19.0 | 14.9 | 151 |
| S_RT_500C | Equation (4) | 266.0 ± 0.3 | 40.6 ± 0.2 | 19.4 | 15.4 | 147 |
| S_RT_800C | Equation (4) | 199.5 ± 0.5 | 28.3 ± 0.4 | 19.5 | 15.2 | 161 |
| S_100C | Equation (4) | 37.6 ± 0.1 | 7.5 ± 0.2 | 1.5 | 1.2 | 11.5 |
| S_100C_300C | Equation (4) | 38.5 ± 0.2 | 6.9 ± 0.3 | 2.3 | 1.7 | 18.7 |
| S_100C_500C | Equation (4) | 38.3 ± 0.2 | 7.5 ± 0.3 | 1.7 | 1.2 | 26.9 |
| S_100C_800C | Equation (4) | 38.2 ± 0.2 | 5.4 ± 0.3 | 2.6 | 1.9 | 32.4 |
| S_200C | Equation (4) | 36.5 ± 0.2 | 6.7 ± 0.2 | 1.5 | 1.2 | 11.3 |
| S_200C_300C | Equation (4) | 36.7 ± 0.3 | 5.9 ± 0.3 | 1.9 | 1.5 | 16.0 |
| S_200C_500C | Equation (4) | 37.1 ± 0.3 | 6.5 ± 0.4 | 2.1 | 1.7 | 15.6 |
| S_200C_800C | Equation (4) | 36.6 ± 0.2 | 5.8 ± 0.3 | 2.8 | 2.2 | 21.9 |
| Sample id. | (eV) | (nm) |
|---|---|---|
| S_RT | - | - |
| S_RT_300C | - | - |
| S_RT_500C | 3.239 ± 0.002 | 382.8 ± 0.3 |
| S_RT_800C | 3.238 ± 0.003 | 382.9 ± 0.4 |
| S_100C | 3.191 ± 0.001 | 388.5 ± 0.2 |
| S_100C_300C | 3.194 ± 0.001 | 388.2 ± 0.2 |
| S_100C_500C | 3.206 ± 0.001 | 386.7 ± 0.2 |
| S_100C_800C | 3.219 ± 0.001 | 385.2 ± 0.2 |
| S_200C | 3.191 ± 0.002 | 388.5 ± 0.3 |
| S_200C_300C | 3.191 ± 0.002 | 388.5 ± 0.3 |
| S_200C_500C | 3.201 ± 0.002 | 387.2 ± 0.3 |
| S_200C_800C | 3.214 ± 0.002 | 385.8 ± 0.3 |
| the band-gap energy has not been determined. | ||
| (nm) | |||||||
|---|---|---|---|---|---|---|---|
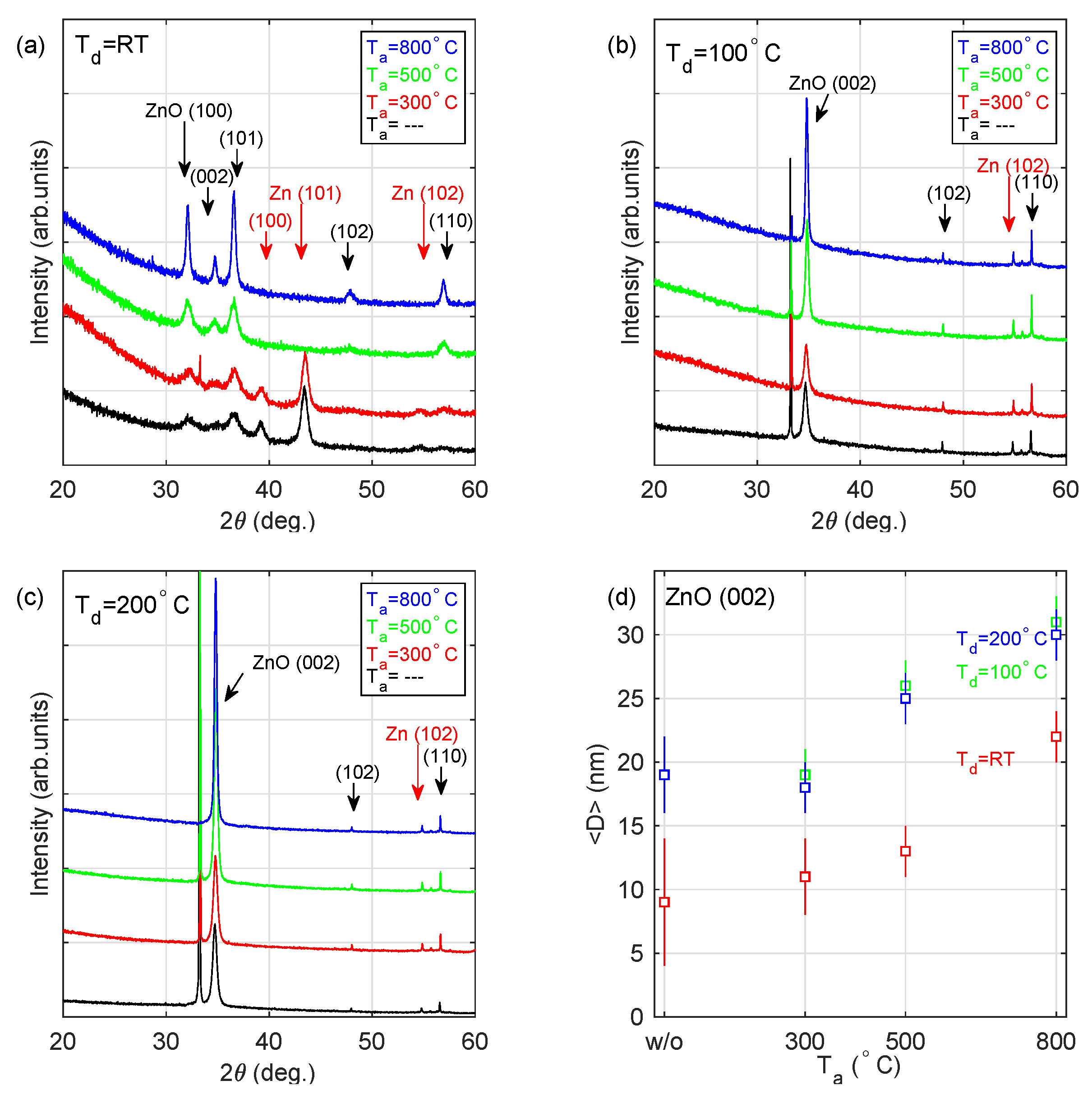
| Sample id. | Zn (100) | Zn (101) | Zn (102) | ZnO (100) | ZnO (002) | ZnO (101) | ZnO (110) |
| S_RT | 13 ± 2 | 13 ± 2 | 9 ± 3 | 6 ± 4 | 9 ± 5 | 9 ± 5 | 9 ± 3 |
| S_RT_300C | 13 ± 2 | 10 ± 3 | 9 ± 3 | 9 ± 5 | 11 ± 3 | 9 ± 5 | 9 ± 4 |
| S_RT_500C | - | - | - | 15 ± 3 | 13 ± 2 | 11 ± 2 | 12 ± 4 |
| S_RT_800C | - | - | - | 25 ± 3 | 22 ± 2 | 21 ± 2 | 12 ± 4 |
| S_100C | - | - | - | - | 19 ± 2 | - | - |
| S_100C_300C | - | - | - | - | 19 ± 2 | - | - |
| S_100C_500C | - | - | - | - | 26 ± 2 | - | - |
| S_100C_800C | - | - | - | - | 31 ± 2 | - | - |
| S_200C | - | - | - | - | 19 ± 3 | - | - |
| S_200C_300C | - | - | - | - | 18 ± 2 | - | - |
| S_200C_500C | - | - | - | - | 25 ± 2 | - | - |
| S_200C_800C | - | - | - | - | 30 ± 2 | - | - |
| not detected; negligible intensity. | |||||||
| Sample id. | C (%) | C (%) | C (%) | C (%) | C (%) | C (%) |
|---|---|---|---|---|---|---|
| S_RT | 44.23 | 25.28 | 16.16 | 1.84 | 43.28 | 12.49 |
| S_RT_300C | 48.19 | 29.15 | 9.67 | 2.65 | 41.47 | 10.34 |
| S_RT_500C | 51.78 | 33.89 | 4.35 | 0.70 | 38.94 | 9.28 |
| S_RT_800C | 59.43 | 37.64 | 1.72 | 0.79 | 40.15 | 0.42 |
| S_100C | 43.23 | 25.99 | 12.00 | 3.95 | 41.94 | 14.83 |
| S_100C_300C | 43.82 | 29.46 | 5.80 | 6.34 | 41.60 | 14.58 |
| S_100C_500C | 55.60 | 35.99 | 1.64 | 1.25 | 38.88 | 5.52 |
| S_100C_800C | 58.50 | 36.19 | 2.90 | 1.28 | 40.37 | 1.13 |
| S_200C | 46.98 | 28.09 | 9.93 | 3.16 | 41.18 | 11.84 |
| S_200C_300C | 48.08 | 30.30 | 8.26 | 1.70 | 40.26 | 11.66 |
| S_200C_500C | 56.41 | 34.67 | 2.04 | 0.24 | 36.95 | 6.64 |
| S_200C_800C | 60.45 | 33.64 | 4.82 | 0.48 | 38.94 | 0.61 |
| Sample id. | Zn:O (tot.) | Zn:O (Zn) |
|---|---|---|
| S_RT | 1.07 | 1.75 |
| S_RT_300C | 1.24 | 1.65 |
| S_RT_500C | 1.35 | 1.53 |
| S_RT_800C | 1.51 | 1.58 |
| S_100C | 1.14 | 1.66 |
| S_100C_300C | 1.24 | 1.49 |
| S_100C_500C | 1.48 | 1.54 |
| S_100C_800C | 1.50 | 1.62 |
| S_200C | 1.24 | 1.67 |
| S_200C_300C | 1.25 | 1.59 |
| S_200C_500C | 1.54 | 1.63 |
| S_200C_800C | 1.57 | 1.80 |
© 2020 by the authors. Licensee MDPI, Basel, Switzerland. This article is an open access article distributed under the terms and conditions of the Creative Commons Attribution (CC BY) license (http://creativecommons.org/licenses/by/4.0/).
Share and Cite
Skowronski, L.; Ciesielski, A.; Olszewska, A.; Szczesny, R.; Naparty, M.; Trzcinski, M.; Bukaluk, A. Microstructure and Optical Properties of E-Beam Evaporated Zinc Oxide Films—Effects of Decomposition and Surface Desorption. Materials 2020, 13, 3510. https://doi.org/10.3390/ma13163510
Skowronski L, Ciesielski A, Olszewska A, Szczesny R, Naparty M, Trzcinski M, Bukaluk A. Microstructure and Optical Properties of E-Beam Evaporated Zinc Oxide Films—Effects of Decomposition and Surface Desorption. Materials. 2020; 13(16):3510. https://doi.org/10.3390/ma13163510
Chicago/Turabian StyleSkowronski, Lukasz, Arkadiusz Ciesielski, Aleksandra Olszewska, Robert Szczesny, Mieczyslaw Naparty, Marek Trzcinski, and Antoni Bukaluk. 2020. "Microstructure and Optical Properties of E-Beam Evaporated Zinc Oxide Films—Effects of Decomposition and Surface Desorption" Materials 13, no. 16: 3510. https://doi.org/10.3390/ma13163510
APA StyleSkowronski, L., Ciesielski, A., Olszewska, A., Szczesny, R., Naparty, M., Trzcinski, M., & Bukaluk, A. (2020). Microstructure and Optical Properties of E-Beam Evaporated Zinc Oxide Films—Effects of Decomposition and Surface Desorption. Materials, 13(16), 3510. https://doi.org/10.3390/ma13163510

