Giant Extensional Strain of Magnetoactive Elastomeric Cylinders in Uniform Magnetic Fields
Abstract
1. Introduction
2. Materials and Methods
3. Results and Discussion
3.1. General Behavior of MAE Strain Loops
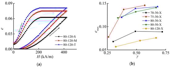
3.2. Effect of the Aspect Ratio on the Maximum Strain
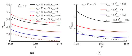
3.3. Effect of the MAE Shear Modulus on the Maximum Strain
3.4. Effect of the Magnetic Filler Concentration on the Maximum Strain
3.5. Dependence of the Threshold Field on MAE Sample Parameters
3.6. Dependence of the Field and the Remanent Strain on Parameters of MAE Samples
3.7. Magnetostriction of Isotropic Versus Anisotropic MAE
4. Conclusions
Author Contributions
Funding
Acknowledgments
Conflicts of Interest
References
- Böse, H.; Rabindranath, R.; Ehrlich, J. Soft magnetorheological elastomers as new actuators for valves. J. Intell. Mater. Syst. Struct. 2012. [Google Scholar] [CrossRef]
- Kashima, S.; Miyasaka, F.; Hirata, K. Novel Soft Actuator Using Magnetorheological Elastomer. IEEE Trans. Magn. 2012, 48, 1649–1652. [Google Scholar] [CrossRef]
- Maas, J.; Uhlenbusch, D. Experimental and theoretical analysis of the actuation behavior of magnetoactive elastomers. Smart Mater. Struct. 2016, 25, 104002. [Google Scholar] [CrossRef]
- Elhajjar, R.; Law, C.-T.; Pegoretti, A. Magnetostrictive polymer composites: Recent advances in materials, structures and properties. Prog. Mater. Sci. 2018, 97, 204–229. [Google Scholar] [CrossRef]
- Asaka, K.; Okuzaki, H. Soft Actuators: Materials, Modeling, Applications, and Future Perspectives; Springer Nature: Tokyo, Japan, 2019; ISBN 9789811368509. [Google Scholar]
- Boyraz, P.; Runge, G.; Raatz, A. An Overview of Novel Actuators for Soft Robotics. Actuators 2018, 7, 48. [Google Scholar] [CrossRef]
- Filipcsei, G.; Csetneki, I.; Szilágyi, A.; Zrínyi, M. Magnetic Field-Responsive Smart Polymer Composites. In Oligomers—Polymer Composites—Molecular Imprinting; Gong, B., Sanford, A.R., Ferguson, J.S., Eds.; Advances in Polymer Science; Springer: Berlin/Heidelberg, Germany, 2007; pp. 137–189. ISBN 978-3-540-46830-1. [Google Scholar]
- Li, Y.; Li, J.; Li, W.; Du, H. A state-of-the-art review on magnetorheological elastomer devices. Smart Mater. Struct. 2014, 23, 123001. [Google Scholar] [CrossRef]
- Menzel, A.M. Tuned, driven, and active soft matter. Phys. Rep. 2015, 554, 1–45. [Google Scholar] [CrossRef]
- Ubaidillah; Sutrisno, J.; Purwanto, A.; Mazlan, S.A. Recent Progress on Magnetorheological Solids: Materials, Fabrication, Testing, and Applications. Adv. Eng. Mater. 2015, 17, 563–597. [Google Scholar] [CrossRef]
- Odenbach, S. Microstructure and rheology of magnetic hybrid materials. Arch Appl. Mech. 2016, 86, 269–279. [Google Scholar] [CrossRef]
- López-López, M.; Durán, J.; Iskakova, L.; Zubarev, A. Mechanics of Magnetopolymer Composites: A Review. J. Nanofluids 2016, 5, 479–495. [Google Scholar] [CrossRef]
- Cantera, M.A.; Behrooz, M.; Gibson, R.F.; Gordaninejad, F. Modeling of magneto-mechanical response of magnetorheological elastomers (MRE) and MRE-based systems: A review. Smart Mater. Struct. 2017, 26, 023001. [Google Scholar] [CrossRef]
- Weeber, R.; Hermes, M.; Schmidt, A.M.; Holm, C. Polymer architecture of magnetic gels: A review. J. Phys. Condens. Matter 2018, 30, 063002. [Google Scholar] [CrossRef] [PubMed]
- Shamonin, M.; Kramarenko, E.Y. Chapter 7—Highly Responsive Magnetoactive Elastomers. In Novel Magnetic Nanostructures; Domracheva, N., Caporali, M., Rentschler, E., Eds.; Elsevier: Amsterdam, The Netherlands, 2018; pp. 221–245. ISBN 978-0-12-813594-5. [Google Scholar]
- Kramarenko, E.Y.; Stepanov, G.V.; Khokhlov, A.R. Magnetically Active Silicone Elastomers: Twenty Years of Development. INEOS Open 2019, 2, 178–184. [Google Scholar] [CrossRef]
- Lanotte, L.; Ausanio, G.; Iannotti, V.; Pepe, G.; Carotenuto, G.; Netti, P.; Nicolais, L. Magnetic and magnetoelastic effects in a composite material of Ni microparticles in a silicone matrix. Phys. Rev. B 2001, 63, 054438. [Google Scholar] [CrossRef]
- Zrínyi, M.; Barsi, L.; Büki, A. Deformation of ferrogels induced by nonuniform magnetic fields. J. Chem. Phys. 1996, 104, 8750–8756. [Google Scholar] [CrossRef]
- Nikitin, L.V.; Stepanov, G.V.; Mironova, L.S.; Gorbunov, A.I. Magnetodeformational effect and effect of shape memory in magnetoelastics. J. Magn. Magn. Mater. 2004, 272–276, 2072–2073. [Google Scholar] [CrossRef]
- Abramchuk, S.; Kramarenko, E.; Grishin, D.; Stepanov, G.; Nikitin, L.V.; Filipcsei, G.; Khokhlov, A.R.; Zrínyi, M. Novel highly elastic magnetic materials for dampers and seals: Part II. Material behavior in a magnetic field. Polym. Adv. Technol. 2007, 18, 513–518. [Google Scholar] [CrossRef]
- Stepanov, G.V.; Kramarenko, E.Y.; Semerenko, D.A. Magnetodeformational effect of the magnetoactive elastomer and its possible applications. J. Phys. Conf. Ser. 2013, 412, 012031. [Google Scholar] [CrossRef]
- Sebald, G.; Nakano, M.; Lallart, M.; Tian, T.; Diguet, G.; Cavaille, J.-Y. Energy conversion in magneto-rheological elastomers. Sci. Technol. Adv. Mater. 2017, 18, 766–778. [Google Scholar] [CrossRef]
- Riesgo, G.; Elbaile, L.; Carrizo, J.; Crespo, R.D.; García, M.Á.; Torres, Y.; García, J.Á. Villari Effect at Low Strain in Magnetoactive Materials. Materials 2020, 13, 2472. [Google Scholar] [CrossRef]
- Saveliev, D.V.; Belyaeva, I.A.; Chashin, D.V.; Fetisov, L.Y.; Shamonin, M. Large Wiedemann effect in a magnetoactive elastomer. J. Magn. Magn. Mater. 2020, 511, 166969. [Google Scholar] [CrossRef]
- Takaki, H.; Tsuji, T. The Measurement of Magnetostriction by means of Strain Gauge. J. Phys. Soc. Jpn. 1956, 11, 1153–1157. [Google Scholar] [CrossRef]
- Greenough, R.D.; Underhill, C. Strain gauges for the measurement of magnetostriction in the range 4K to 300K. J. Phys. E Sci. Instrum. 1976, 9, 451–454. [Google Scholar] [CrossRef]
- Samata, H.; Nagata, Y.; Uchida, T.; Abe, S. New optical technique for bulk magnetostriction measurement. J. Magn. Magn. Mater. 2000, 212, 355–360. [Google Scholar] [CrossRef]
- de Manuel, V.; del Real, R.P.; Alonso, J.; Guerrero, H. Magnetostriction measuring device based on an optical fiber sensor with an annular photodiode. Rev. Sci. Instrum. 2007, 78, 095104. [Google Scholar] [CrossRef] [PubMed]
- Birss, R.; Keeler, G.; Pearson, P.; Potton, R. A capacitive instrument for the measurement of a large range of magnetostriction at low temperatures and high magnetic fields. J. Phys. E Sci. Instrum. 2001, 11, 928. [Google Scholar] [CrossRef]
- Boley, M.S.; Shin, W.C.; Rigsbee, D.K.; Franklin, D.A. Capacitance bridge measurements of magnetostriction. J. Appl. Phys. 2002, 91, 8210–8212. [Google Scholar] [CrossRef]
- Gong, X.; Liao, G.; Xuan, S. Full-field deformation of magnetorheological elastomer under uniform magnetic field. Appl. Phys. Lett. 2012, 100, 211909. [Google Scholar] [CrossRef]
- Bednarek, S. The giant magnetostriction in ferromagnetic composites within an elastomer matrix. Appl. Phys. A 1999, 68, 63–67. [Google Scholar] [CrossRef]
- Bednarek, S. The giant linear magnetostriction in elastic ferromagnetic composites within a porous matrix. J. Magn. Magn. Mater. 2006, 301, 200–207. [Google Scholar] [CrossRef]
- Ginder, J.M.; Clark, S.M.; Schlotter, W.F.; Nichols, M.E. Magnetostrictive phenomena in magnetorheological elastomers. Int. J. Mod. Phys. B 2002, 16, 2412–2418. [Google Scholar] [CrossRef]
- Abramchuk, S.; Kramarenko, E.; Stepanov, G.; Nikitin, L.V.; Filipcsei, G.; Khokhlov, A.R.; Zrínyi, M. Novel highly elastic magnetic materials for dampers and seals: Part I. Preparation and characterization of the elastic materials. Polym. Adv. Technol. 2007, 18, 883–890. [Google Scholar] [CrossRef]
- Martin, J.E.; Anderson, R.A.; Read, D.; Gulley, G. Magnetostriction of field-structured magnetoelastomers. Phys. Rev. E 2006, 74, 051507. [Google Scholar] [CrossRef]
- Gollwitzer, C.; Turanov, A.; Krekhova, M.; Lattermann, G.; Rehberg, I.; Richter, R. Measuring the deformation of a ferrogel sphere in a homogeneous magnetic field. J. Chem. Phys. 2008, 128, 164709. [Google Scholar] [CrossRef]
- Guan, X.; Dong, X.; Ou, J. Magnetostrictive effect of magnetorheological elastomer. J. Magn. Magn. Mater. 2008, 320, 158–163. [Google Scholar] [CrossRef]
- Diguet, G.; Beaugnon, E.; Cavaillé, J.Y. Shape effect in the magnetostriction of ferromagnetic composite. J. Magn. Magn. Mater. 2010, 322, 3337–3341. [Google Scholar] [CrossRef]
- Diguet, G.; Beaugnon, E.; Cavaillé, J.Y. Dependence of the magnetostriction of magnetic rheological elastomers on temperature. Smart Mater. Struct. 2012, 21, 025016. [Google Scholar] [CrossRef]
- Raikher, Y.L.; Stolbov, O.V. Numerical modeling of large field-induced strains in ferroelastic bodies: A continuum approach. J. Phys. Condens. Matter 2008, 20, 204126. [Google Scholar] [CrossRef]
- Stolbov, O.V.; Raikher, Y.L.; Balasoiu, M. Modelling of magnetodipolar striction in soft magnetic elastomers. Soft Matter 2011, 7, 8484. [Google Scholar] [CrossRef]
- Morozov, K.; Shliomis, M.; Yamaguchi, H. Magnetic deformation of ferrogel bodies: Procrustes effect. Phys. Rev. Estat. Nonlinearand Soft Matter Phys. 2009, 79, 040801. [Google Scholar] [CrossRef]
- Galipeau, E.; Ponte Castañeda, P. Giant field-induced strains in magnetoactive elastomer composites. Proc. R. Soc. A 2013, 469, 20130385. [Google Scholar] [CrossRef]
- Han, Y.; Mohla, A.; Huang, X.; Hong, W.; Faidley, L.E. Magnetostriction and Field Stiffening of Magneto-Active Elastomers. Int. J. Appl. Mech. 2014, 7, 1550001. [Google Scholar] [CrossRef]
- Kalita, V.M.; Snarskii, A.A.; Zorinets, D.; Shamonin, M. Single-particle mechanism of magnetostriction in magnetoactive elastomers. Phys. Rev. E 2016, 93, 062503. [Google Scholar] [CrossRef] [PubMed]
- Metsch, P.; Kalina, K.A.; Spieler, C.; Kästner, M. A numerical study on magnetostrictive phenomena in magnetorheological elastomers. Comput. Mater. Sci. 2016, 124, 364–374. [Google Scholar] [CrossRef]
- Zubarev, A.; Chirikov, D.; Stepanov, G.; Borin, D. Hysteresis of ferrogels magnetostriction. J. Magn. Magn. Mater. 2017, 431, 120–122. [Google Scholar] [CrossRef]
- Zubarev, A.; Chirikov, D.; Stepanov, G.; Borin, D.; Lopez-Lopez, M.T. On the theory of hysteretic magnetostriction of soft ferrogels. Phys. A Stat. Mech. Its Appl. 2018, 498, 86–95. [Google Scholar] [CrossRef]
- Sánchez, P.A.; Stolbov, O.V.; Kantorovich, S.S.; Raikher, Y.L. Modeling the magnetostriction effect in elastomers with magnetically soft and hard particles. Soft Matter 2019, 15, 7145–7158. [Google Scholar] [CrossRef]
- Fischer, L.; Menzel, A.M. Magnetostriction in magnetic gels and elastomers as a function of the internal structure and particle distribution. J. Chem. Phys. 2019, 151, 114906. [Google Scholar] [CrossRef]
- Stolbov, O.V.; Raikher, Y.L. Magnetostriction effect in soft magnetic elastomers. Arch Appl. Mech. 2019, 89, 63–76. [Google Scholar] [CrossRef]
- Romeis, D.; Toshchevikov, V.; Saphiannikova, M. Effects of local rearrangement of magnetic particles on deformation in magneto-sensitive elastomers. Soft Matter 2019, 15, 3552–3564. [Google Scholar] [CrossRef]
- Sorokin, V.V.; Belyaeva, I.A.; Shamonin, M.; Kramarenko, E.Y. Magnetorheological response of highly filled magnetoactive elastomers from perspective of mechanical energy density: Fractal aggregates above the nanometer scale? Phys. Rev. E 2017, 95, 062501. [Google Scholar] [CrossRef] [PubMed]
- Belyaeva, I.A.; Kramarenko, E.Y.; Shamonin, M. Magnetodielectric effect in magnetoactive elastomers: Transient response and hysteresis. Polymer 2017, 127, 119–128. [Google Scholar] [CrossRef]
- Semisalova, A.S.; Perov, N.S.; Stepanov, G.V.; Kramarenko, E.Y.; Khokhlov, A.R. Strong magnetodielectric effects in magnetorheological elastomers. Soft Matter 2013, 9, 11318–11324. [Google Scholar] [CrossRef]
- Krautz, M.; Werner, D.; Schrödner, M.; Funk, A.; Jantz, A.; Popp, J.; Eckert, J.; Waske, A. Hysteretic behavior of soft magnetic elastomer composites. J. Magn. Magn. Mater. 2017, 426, 60–63. [Google Scholar] [CrossRef]
- Bodnaruk, A.V.; Brunhuber, A.; Kalita, V.M.; Kulyk, M.M.; Kurzweil, P.; Snarskii, A.A.; Lozenko, A.F.; Ryabchenko, S.M.; Shamonin, M. Magnetic anisotropy in magnetoactive elastomers, enabled by matrix elasticity. Polymer 2019, 162, 63–72. [Google Scholar] [CrossRef]
- Abshinova, M.A.; Lopatin, A.V.; Kazantseva, N.E.; Vilčáková, J.; Sáha, P. Correlation between the microstructure and the electromagnetic properties of carbonyl iron filled polymer composites. Compos. Part A Appl. Sci. Manuf. 2007, 38, 2471–2485. [Google Scholar] [CrossRef]
- Kabátová, M.; Dudrová, E.; Bruncková, H. The effect of calcination on morphology of phosphate coating and microstructure of sintered iron phosphated powder. Surf. Interface Anal. 2013, 45, 1166–1173. [Google Scholar] [CrossRef]
- Zhang, Y.; Bu, A.; Xiang, Y.; Yang, Y.; Chen, W.; Cheng, H.; Wang, L. Improving corrosion resistance of carbonyl iron powders by plasma electrolytic deposition. Mater. Des. 2020, 188, 108480. [Google Scholar] [CrossRef]
- Mazurek, P.; Vudayagiri, S.; Skov, A.L. How to tailor flexible silicone elastomers with mechanical integrity: A tutorial review. Chem. Soc. Rev. 2019, 48, 1448–1464. [Google Scholar] [CrossRef]
- Webster, W.L. Magneto-striction in iron crystals. Proc. Roy. Soc. Lond. A 1925, 9, 570–584. [Google Scholar] [CrossRef]
- Saveliev, D.V.; Fetisov, L.Y.; Chashin, D.V.; Shabin, P.A.; Vyunik, D.A.; Fedulov, F.A.; Kettl, W.; Shamonin, M. Method of Measuring Deformations of Magnetoactive Elastomers under the Action of Magnetic Fields. Russ. Technol. J. 2019, 7, 81–91. (In Russian) [Google Scholar] [CrossRef]
- Sato, M.; Ishii, Y. Simple and approximate expressions of demagnetizing factors of uniformly magnetized rectangular rod and cylinder. J. Appl. Phys. 1989, 66, 983–985. [Google Scholar] [CrossRef]
- Borin, D.Y.; Odenbach, S.; Stepanov, G.V. Stress induced by the striction of hybrid magnetoactive elastic composites. J. Magn. Magn. Mater. 2019, 470, 85–88. [Google Scholar] [CrossRef]
- Romeis, D.; Kostrov, S.A.; Kramarenko, E.; Stepanov, G.V.; Shamonin, M.; Saphiannikova, M. Magnetic-field-induced stress in confined magnetoactive elastomers. Soft Matter 2020. submitted. [Google Scholar]
- Ivaneyko, D.; Toshchevikov, V.; Saphiannikova, M.; Heinrich, G. Mechanical properties of magneto-sensitive elastomers: Unification of the continuum-mechanics and microscopic theoretical approaches. Soft Matter 2014, 10, 2213–2225. [Google Scholar] [CrossRef]
- Chen, D.-X.; Brug, J.A.; Goldfarb, R.B. Demagnetizing factors for cylinders. IEEE Trans. Magn. 1991, 27, 3601–3619. [Google Scholar] [CrossRef]
- Ivaneyko, D.; Toshchevikov, V.; Saphiannikova, M.; Heinrich, G. Effects of particle distribution on mechanical properties of magneto-sensitive elastomers in a homogeneous magnetic field. Condens. Matter Phys. 2012, 15, 33601. [Google Scholar] [CrossRef]
- Snarskii, A.A.; Zorinets, D.; Shamonin, M.; Kalita, V.M. Theoretical method for calculation of effective properties of composite materials with reconfigurable microstructure: Electric and magnetic phenomena. Phys. A Stat. Mech. Appl. 2019, 535, 122467. [Google Scholar] [CrossRef]
- Zubarev, A.Y.; Borin, D.Y. Effect of particle concentration on ferrogel magnetodeformation. J. Magn. Magn. Mater. 2015, 377, 373–377. [Google Scholar] [CrossRef]
- Romeis, D.; Toshchevikov, V.; Saphiannikova, M. Elongated micro-structures in magneto-sensitive elastomers: A dipolar mean field model. Soft Matter 2016, 12, 9364–9376. [Google Scholar] [CrossRef]









| Samples (Material) | CIP | AK 10 | VS 100000 | MV 2000 | Cross-linker 210 | Pt Catalyst | Inhibitor | Modifier |
|---|---|---|---|---|---|---|---|---|
| 70-30-X | 69.769 | 19.914 | 8.448 | 1.509 | 0.179 | 0.010 | 0.050 | 0.030 |
| 75-30-X | 74.801 | 16.606 | 7.045 | 1.258 | 0.141 | 0.083 | 0.042 | 0.025 |
| 80-30-X | 79.835 | 13.292 | 5.639 | 1.007 | 0.106 | 0.067 | 0.033 | 0.020 |
| 80-50-X | 79.822 | 13.290 | 5.638 | 1.007 | 0.123 | 0.066 | 0.033 | 0.020 |
| 80-120-X | 79.806 | 11.386 | 7.246 | 1.294 | 0.143 | 0.067 | 0.033 | 0.026 |
| Sample | 70-30-S | 70-30-M | 70-30-T | 75-30-S | 75-30-M | 75-30-T | 80-30-S | 80-30-M | 80-30-T |
|---|---|---|---|---|---|---|---|---|---|
| wFe, mass% | 70 | 70 | 70 | 75 | 75 | 75 | 80 | 80 | 80 |
| d, mm | 14.9 | 15.2 | 14.8 | 14.8 | 14.9 | 14.5 | 14.5 | 14.7 | 14.7 |
| h0, mm | 4.4 | 7.4 | 10.7 | 3.8 | 5.8 | 8.2 | 5.4 | 7.2 | 10.0 |
| γ = h0/d | 0.30 | 0.49 | 0.72 | 0.26 | 0.39 | 0.57 | 0.37 | 0.49 | 0.68 |
| H0, kA/m | 88 | 64 | 32 | 103 | 72 | 56 | 56 | 48 | 40 |
| emax | 0.068 | 0.09 | 0.089 | 0.078 | 0.137 | 0.146 | 0.12 | 0.139 | 0.143 |
| Hr, kA/m | 231 | 239 | 271 | 127 | 159 | 179 | 119 | 111 | 151 |
| er | 0.010 | 0.013 | 0.010 | 0.012 | 0.014 | 0.013 | 0.013 | 0.014 | 0.0117 |
| Sample | 80-30-S | 80-30-M | 80-30-T | 80-50-S | 80-50-M | 80-50-T | 80-120-S | 80-120-M | 80-120-T |
|---|---|---|---|---|---|---|---|---|---|
| wFe, mass% | 80 | 80 | 80 | 80 | 80 | 80 | 80 | 80 | 80 |
| d, mm | 14.5 | 14.7 | 14.7 | 14.7 | 14.8 | 14.7 | 15.2 | 14.9 | 15.0 |
| h0, mm | 5.4 | 7.2 | 10.0 | 5.0 | 7.3 | 9.8 | 4.9 | 7.9 | 10.0 |
| γ = h0/d | 0.37 | 0.49 | 0.68 | 0.34 | 0.49 | 0.67 | 0.32 | 0.53 | 0.67 |
| H0, kA/m | 56 | 48 | 40 | 64 | 48 | 40 | 95 | 64 | 48 |
| emax | 0.120 | 0.139 | 0.143 | 0.119 | 0.132 | 0.141 | 0.057 | 0.070 | 0.076 |
| Hr, kA/m | 119 | 111 | 151 | 159 | 151 | 159 | 207 | 215 | 199 |
| er | 0.013 | 0.014 | 0.0117 | 0.011 | 0.011 | 0.011 | 0.009 | 0.012 | 0.012 |
© 2020 by the authors. Licensee MDPI, Basel, Switzerland. This article is an open access article distributed under the terms and conditions of the Creative Commons Attribution (CC BY) license (http://creativecommons.org/licenses/by/4.0/).
Share and Cite
Saveliev, D.V.; Belyaeva, I.A.; Chashin, D.V.; Fetisov, L.Y.; Romeis, D.; Kettl, W.; Kramarenko, E.Y.; Saphiannikova, M.; Stepanov, G.V.; Shamonin, M. Giant Extensional Strain of Magnetoactive Elastomeric Cylinders in Uniform Magnetic Fields. Materials 2020, 13, 3297. https://doi.org/10.3390/ma13153297
Saveliev DV, Belyaeva IA, Chashin DV, Fetisov LY, Romeis D, Kettl W, Kramarenko EY, Saphiannikova M, Stepanov GV, Shamonin M. Giant Extensional Strain of Magnetoactive Elastomeric Cylinders in Uniform Magnetic Fields. Materials. 2020; 13(15):3297. https://doi.org/10.3390/ma13153297
Chicago/Turabian StyleSaveliev, Dmitry V., Inna A. Belyaeva, Dmitry V. Chashin, Leonid Y. Fetisov, Dirk Romeis, Wolfgang Kettl, Elena Yu. Kramarenko, Marina Saphiannikova, Gennady V. Stepanov, and Mikhail Shamonin. 2020. "Giant Extensional Strain of Magnetoactive Elastomeric Cylinders in Uniform Magnetic Fields" Materials 13, no. 15: 3297. https://doi.org/10.3390/ma13153297
APA StyleSaveliev, D. V., Belyaeva, I. A., Chashin, D. V., Fetisov, L. Y., Romeis, D., Kettl, W., Kramarenko, E. Y., Saphiannikova, M., Stepanov, G. V., & Shamonin, M. (2020). Giant Extensional Strain of Magnetoactive Elastomeric Cylinders in Uniform Magnetic Fields. Materials, 13(15), 3297. https://doi.org/10.3390/ma13153297

